The Synthesis of Zinc Complex of Salicylaldehyde Serine Schiff Base and Assessment of Its Efficiency as a Heat Stabilizer for Poly(Vinyl Chloride)
Abstract
1. Introduction
2. Experiment
2.1. Materials
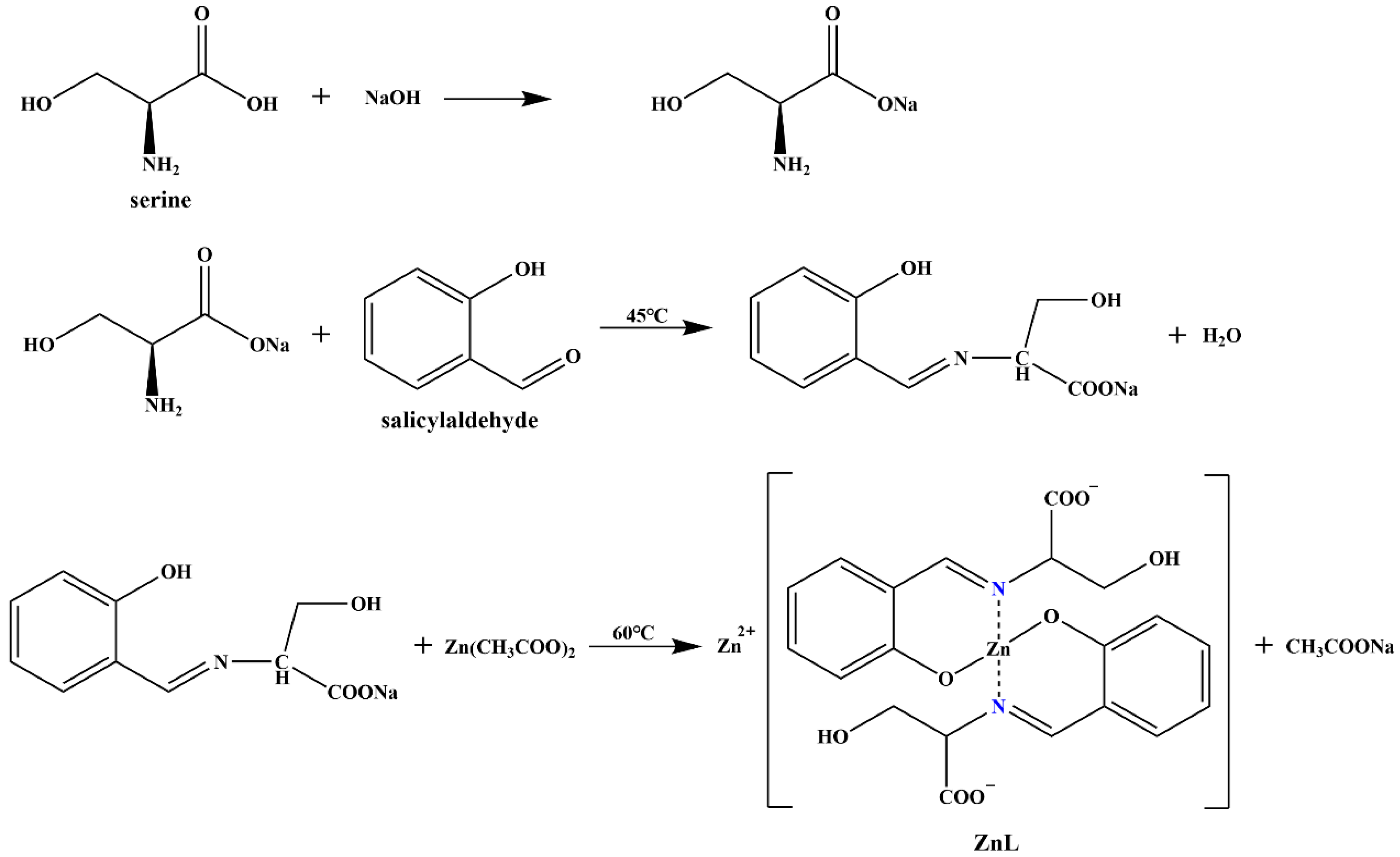
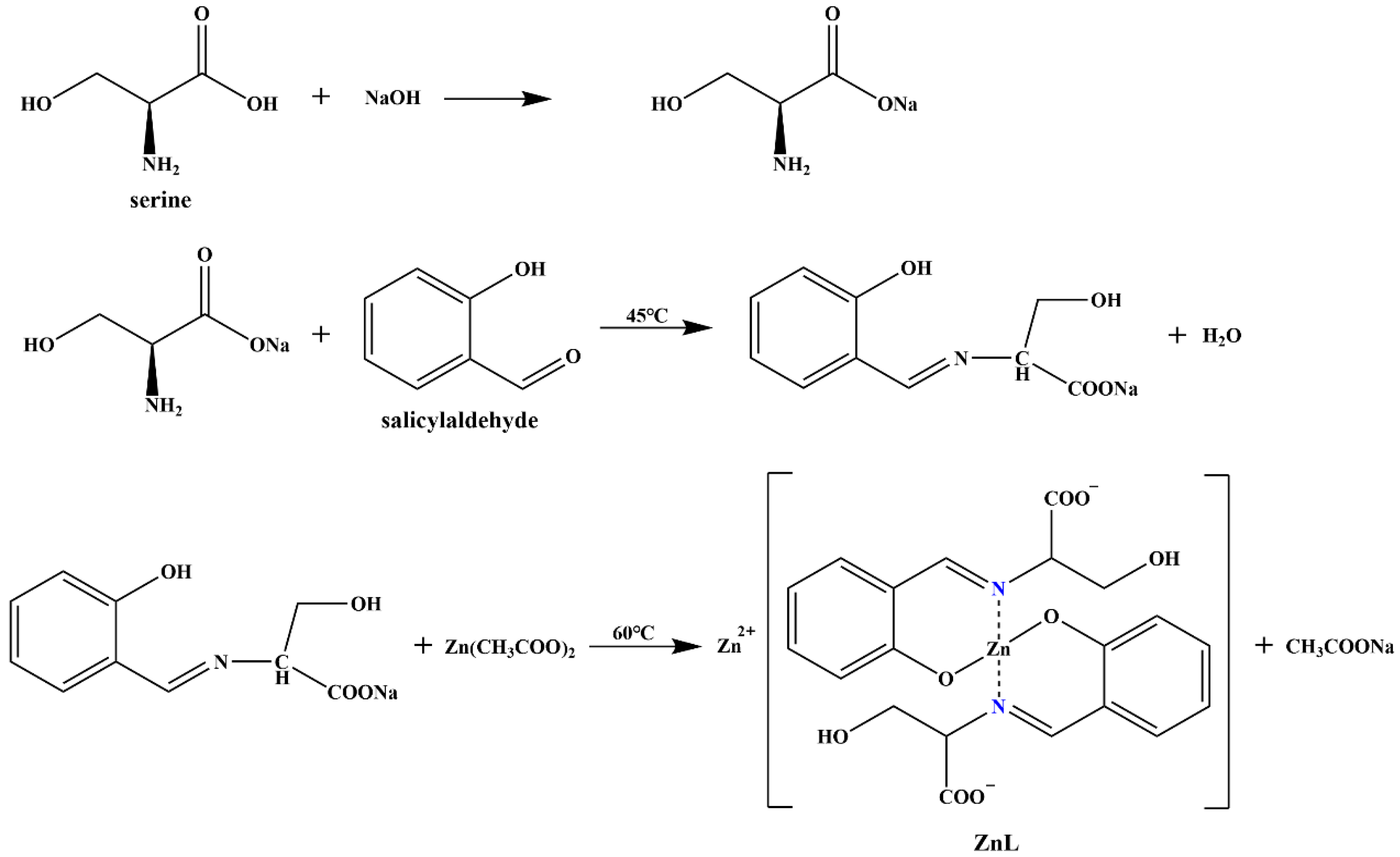
2.2. Synthesis and Characterization of ZnL
2.3. Preparation of PVC Film
2.4. Evaluation of Thermal Stability Performance
2.4.1. Static Congo Red Method
2.4.2. Oven Discoloration Method
2.4.3. Research on the Mechanism of ZnL Stabilizing PVC
3. Results and Discussion
3.1. Characterization of ZnL
3.2. The Heat Stability Effect of ZnL for PVC
3.2.1. Static Congo Red Test
3.2.2. Oven Discoloration Test
3.3. Thermal Stabilization Mechanism of PVC by ZnL
3.4. Compounding Study of ZnL with Other Thermal Stabilizers
4. Conclusions
Author Contributions
Funding
Data Availability Statement
Conflicts of Interest
References
- Vikhareva, I.N.; Abramian, A.; Manojlović, D.; Bol’shakov, O. Features of Thermal Stabilization of PVC Modified with Microstructured Titanium Phosphate. Polymers 2025, 17, 2140. [Google Scholar] [CrossRef]
- Pok, Š.; Kralj Cigić, I.; Strlič, M.; Rijavec, T. Poly (vinyl chloride) degradation: Identification of acidic degradation products, their emission rates, and implications for heritage collections. npj Herit. Sci. 2025, 13, 382. [Google Scholar] [CrossRef]
- Shi, Y.; Mei, J.; Yao, Y.; Zhang, J.; Chen, S.; Ma, M.; He, H.; Zhu, Y.; Wang, X. A new insight into the synergetic thermal stability effect of acetylacetone derivatives and zinc arginine on polyvinyl chlorine under static and dynamic thermal aging conditions. J. Vinyl Addit. Technol. 2025, 31, 792–809. [Google Scholar] [CrossRef]
- Gao, X.; Jiang, P.; Zhang, Z.; Li, Z.; Li, Y.; Leng, Y.; Zhang, P. Synthesis of bismaleate pentaerythritol ester and its application as PVC auxiliary heat stabilizer. J. Appl. Polym. Sci. 2022, 139, 51820. [Google Scholar] [CrossRef]
- Wang, Q.; Cheng, Y.; Jiao, Y.; Li, Q.; Lu, Q.; Gao, X.; Yang, J.; He, X.; Qu, H. Modification of halloysite nanotube using chitosan/zinc hydroxystannate to mimic coral for excellent flame retardancy and mechanical properties of PVC. Int. J. Biol. Macromol. 2025, 325, 147112. [Google Scholar] [CrossRef]
- Ipakchi, H.; Panchal, K.; Mafi, R.; Xi, L. Surface-functionalized layered double hydroxides (LDHs) nanoplatelets for enhanced thermal stability of plasticized polyvinyl chloride (PVC) films. Chem. Eng. J. 2025, 510, 161430. [Google Scholar] [CrossRef]
- Han, Y.; Luo, W.; Sun, S.; Weng, Y.; Zhang, C. Synergistic effects of epoxidized isosorbide linolenate (EGLA-ISB): A novel bio-based heat stabilizer for enhanced mechanical and thermal performance of PVC. J. Vinyl Addit. Technol. 2025, 31, 133–145. [Google Scholar] [CrossRef]
- Duan, J.; Liu, Z.; Li, Y.; Jia, P.; Hu, Y.; Wu, J. The Effect of Diphenylphosphate Intercalated Magnesium Aluminum Lanthanum Hydrotalcite on the Thermal Stability and Mechanical Properties of Poly (Vinyl Chloride). J. Inorg. Organomet. Polym. Mater. 2025, 35, 206–215. [Google Scholar] [CrossRef]
- Wang, X.; Guo, L.; Pan, K.; Yang, S. Mechanism for NiAl-LDH/Graphene Oxide Heterojunctions Absorbing HCl: A First-Principles Study. ChemistrySelect 2025, 10, e06183. [Google Scholar] [CrossRef]
- Sun, J.; Zhao, X.; Dong, M.; Wang, Y.; Chen, W.; Yu, J. The pyrolysis of polyvinyl chloride: Kinetic study and product evolution. Polym. Degrad. Stab. 2025, 241, 111577. [Google Scholar] [CrossRef]
- Chen, M.G.; Yu, C.; Yu, X.L.; Cao, H.Z.; Li, D.G.; Liu, Z.G.; Luo, G.P. Design and Synthesis of a Novel Mannitol Fumarate Ester-Based Lanthanum Alkoxide as Multifunctional Additive for Polyvinyl Chloride. ChemistrySelect 2025, 10, e202404655. [Google Scholar] [CrossRef]
- Ye, Q.F.; Ma, X.T.; Li, B.B.; Jin, Z.; Xu, Y.Y.; Fang, C.; Zhou, X.Y.; Ge, Y.Q.; Ye, F. Development and Investigation of Lanthanum Sulfadiazine with Calcium Stearate and Epoxidised Soyabean Oil as Complex Thermal Stabilizers for Stabilizing Poly(vinyl chloride). Polymers 2019, 11, 531. [Google Scholar] [CrossRef]
- Ye, F.; Ye, Q.F.; Guo, X.J.; Zhan, H.H.; Fang, C.; Hu, D.F.; Mao, Q.J. Investigation of lanthanum trioxypurine with zinc stearate and pentaerythritol as complex thermal stabilizers for poly(vinyl chloride). J. Vinyl Addit. Technol. 2019, 25, 347–358. [Google Scholar] [CrossRef]
- Jia, P.; Duan, J.; Liu, Z.; Li, Y.; Du, G.; Hu, Y.; Wu, J. Preparation of rare-earth LDHs stabilizers and their effects on the thermal stability of poly (vinyl chloride). Iran. Polym. J. 2025, 34, 99–109. [Google Scholar] [CrossRef]
- Ma, T.; Liu, W.; Bi, M.; Chen, Z.; Luan, X.; Zhang, M.; Cui, Z. Revealing the long way towards lead-free plastic in China through dynamic material flow analysis of lead salt heat stabilizers in PVC products. Resour. Conserv. Recycl. 2024, 203, 107409. [Google Scholar] [CrossRef]
- Putrawan, I.D.G.A.; Azharuddin, A. Valorization of palm oil refining by-product for organotin mercaptide as a polyvinyl chloride thermal stabilizer: Synthesis, efficacy and comparison to mixed metal stearate. J. Bioresour. Bioprod. 2024, 9, 565–576. [Google Scholar] [CrossRef]
- Putrawan, I.D.G.A.; Indarto, A.; Octavia, Y. Thermal stabilization of polyvinyl chloride by calcium and zinc carboxylates derived from byproduct of palm oil refining. Heliyon 2022, 8, e10079. [Google Scholar] [CrossRef] [PubMed]
- Huang, X.; Fan, J.; Liu, Z.; Zhao, J.; Chen, M.; Hu, Y.; Wu, J. Study on lanthanum cerium 6-methyluracil as heat stabilizer of polyvinyl chloride. Polym. Sci. Ser. B 2022, 64, 402–410. [Google Scholar] [CrossRef]
- Zhang, W.; Xia, H.; Song, L.; Huo, H.; Lu, C.; Sun, Y.; Niu, Y. Preparation and performance of PVC long-term heat stabilizer based on the synergistic effect of uracil and metal complexes. J. Vinyl Addit. Technol. 2023, 29, 343–355. [Google Scholar] [CrossRef]
- Ravi, N.; Teotia, M.; Soni, R.K. Para-aminobenzoate ester zinc complexes as multifunctional additives for improvement of physico-chemical properties of PVC. J. Polym. Res. 2024, 31, 164. [Google Scholar] [CrossRef]
- Zhuang, X.; Zhang, S. Synthesis and Performance Evaluation of Novel Nitrogen-Containing PVC Heat Stabilizer Oligo-Uracil. J. Chem. 2025, 2025, 4561804. [Google Scholar] [CrossRef]
- Ahmed, D.S.; El-Hiti, G.A.; Hameed, A.S.; Yousif, E.; Ahmed, A. New tetra-Schiff bases as efficient photostabilizers for poly (vinyl chloride). Molecules 2017, 22, 1506. [Google Scholar] [CrossRef]
- Mohamed, E.A.; Altalhi, A.A.; Ahmed, H.M.; Negm, N.A. Synergistic effects and comprehensive analysis of photodegradability inhibition of PVC plastics film by novel Schiff base metal complex additives: Performance and Dechlorination mechanism. J. Organomet. Chem. 2025, 1032, 123626. [Google Scholar] [CrossRef]
- Kumar, R.; Seema, K.; Singh, D.K.; Jain, P.; Manav, N.; Gautam, B.; Kumar, S.N. Synthesis, antibacterial and antifungal activities of Schiff base rare earth metal complexes: A review of recent work. J. Coord. Chem. 2023, 76, 1065–1093. [Google Scholar] [CrossRef]
- Fu, Z.; Yang, Z.; Rong, Y.; Deng, L.; Wu, J. A zinc Schiff base complex as high-efficiency stabilizer for flexible poly (vinyl chloride) against thermal degradation. J. Vinyl Addit. Technol. 2021, 27, 367–375. [Google Scholar] [CrossRef]
- Cui, Z.; Jiang, P.; Leng, Y.; Feng, S.; Lu, M.; Chen, S.; Sheng, X. Synthesis of zinc Schiff base complex and its application as highly efficient thermal stabilizer for flexible poly (vinyl chloride). Polym. Degrad. Stab. 2023, 211, 110317. [Google Scholar] [CrossRef]
- Wang, N.; Jiang, P.; Zhang, P.; Mei, X.; Zhu, X.; Chen, S.; Sheng, X.; Gao, J.; Gao, H. Development and synthesis of anti-zinc burn and antibacterial Schiff base zinc complexes as multi-functional thermal stabilizers for PVC formulations. J. Vinyl Addit. Technol. 2025, 31, 589–603. [Google Scholar] [CrossRef]
- Cui, Z.; Jiang, P.; Leng, Y.; Zhihao, L.; Feng, S.; Mei, X.; Chen, S.; Sheng, X. A “one-pot” method for synthesizing zinc tryptophan and its derivatives as highly efficient PVC thermal stabilizer with excellent mechanical properties. J. Appl. Polym. Sci. 2024, 141, e55394. [Google Scholar] [CrossRef]
- Dutta, N.; Nath, S.S.; Dutta, R.; Baishya, J.; Borah, N.; Maji, T.K. A Sustainable Approach to Improve Properties of PVC-CNT Nanocomposites Using Waste Eggshell as Biofiller and Heat Stabilizer. ChemistrySelect 2025, 10, e202405963. [Google Scholar] [CrossRef]
- Ye, F.; Guo, X.J.; Zhan, H.H.; Lin, J.X.; Lou, W.C.; Ma, X.T.; Wang, X. The synergistic effect of zinc urate with calcium stearate and commercial assistant stabilizers for stabilizing poly(vinyl chloride). Polym. Degrad. Stab. 2018, 156, 193–201. [Google Scholar] [CrossRef]
- Feng, X.; Li, S.; Yao, N.; Yang, X.; Lin, M.; Wang, H.; Ding, H.; Xu, L.; Li, M.; Deng, T. Preparation and properties of two types of tung oil-based liquid auxiliary heat stabilizer for polyvinyl chloride processing. J. Vinyl Addit. Technol. 2024, 30, 1599–1608. [Google Scholar] [CrossRef]
- Ye, F.; Ye, Q.F.; Zhan, H.H.; Ge, Y.Q.; Ma, X.T.; Xu, Y.Y.; Wang, X. Synthesis and Study of Zinc Orotate and Its Synergistic Effect with Commercial Stabilizers for Stabilizing Poly(Vinyl Chloride). Polymers 2019, 11, 194. [Google Scholar] [CrossRef]
- Duan, J.; Liu, Z.; Du, G.; Feng, J.; Zhao, J.; Jia, P.; Hu, Y.; Wu, J. Preparation of rare-earth terephthalic acid stabilizer and its effect on thermal stability of polyvinyl chloride. Iran. Polym. J. 2023, 32, 991–1000. [Google Scholar] [CrossRef]
- Khaleghi, M. Investigation of thermal and mechanical properties of new nitrogen-rich organic based heat stabilizers for poly (vinyl chloride). J. Thermoplast. Compos. Mater. 2024, 37, 1480–1498. [Google Scholar] [CrossRef]
- Cui, Z.; Gao, X.; Jiang, P.; Leng, Y.; Li, Z.; Li, Y.; Zhang, P. Design of nitrogen-containing organic thermal stabilizer with resistance to “zinc burning” and its application. J. Vinyl Addit. Technol. 2023, 29, 66–75. [Google Scholar] [CrossRef]
- Shariatmadari, R.; Kalaee, M.; Khajavi, R.; Shariatinia, Z. Novel polyvinyl chloride composite via hybrid metal-organic framework grafted polyethyleneimine and layered double hydroxide incorporation: Thermal, rheological, and electrical properties. Alex. Eng. J. 2023, 72, 225–236. [Google Scholar] [CrossRef]
- Luo, W.; Yang, Y.; Han, Y.; Weng, Y.; Zhang, C. Synergistic effect of thermal stabilization and plasticization of epoxidized cardanol esters on PVC. J. Polym. Environ. 2023, 31, 5126–5136. [Google Scholar] [CrossRef]
- Li, D.; Liu, S.; Gu, L.; Li, G.; Ding, Y.; Dong, L. Preparation of rare earth complexes with curcumin and their stabilization for PVC. Polym. Degrad. Stab. 2021, 184, 109480. [Google Scholar] [CrossRef]
- Wang, M.; Fan, X.; Bu, Q.; Jia, P.; Yuan, S. Synergistic modification of PVC with nitrogen-containing heterocycle and tung-oil based derivative for enhanced heat stabilization and plasticization behavior. J. Renew. Mater. 2023, 11, 2015–2031. [Google Scholar] [CrossRef]
- Liu, L.-J.; Chen, F.-Y.; Zhu, S.; Yan, L.; Zhao, R.-X.; Chen, P.-Y.; Wang, B. Multi-functional polyvinyl chloride plastic additive based on epoxidized linseed oil-polycaprolactone: Preparation and application performance study. React. Funct. Polym. 2025, 213, 106270. [Google Scholar] [CrossRef]
- Shi, Y.; Yao, Y.; Lu, S.; Chen, L.; Chen, S.; He, H.; Ma, M.; Wang, X. Synergistic effect of two plasticizers on thermal stability, transparency, and migration resistance of zinc arginine stabilized PVC. Polymers 2022, 14, 4560. [Google Scholar] [CrossRef]
- Gao, L.; Jin, D.; Lu, Y.; Xu, S. Effects of TiO2@ ZnAlSn/PETMP on the properties of plasticized polyvinyl chloride composites. J. Vinyl Addit. Technol. 2022, 28, 762–774. [Google Scholar] [CrossRef]
- Wan, Y.; Wu, R.; Sui, J.; Bao, L.; Wang, J. Exploring the Mechanism of Bis-Maleate Organotin Thermal Stabilizers via Dynamic Raman Spectroscopic Technique. J. Vinyl Addit. Technol. 2025, 31, 1540–1553. [Google Scholar] [CrossRef]
- Wang, N.; Jiang, P.; Zhang, P.; Qi, S.; Xu, J.; Chen, S.; Sheng, X.; Gao, J.; Gao, H. Synthesis of Multifunctional Heat Stabilizer Bio-Based Ade-Zn and Its Application in PVC. Macromol. Rapid Commun. 2025, 46, e00487. [Google Scholar] [CrossRef] [PubMed]
- Zhu, X.; Jiang, P.; Leng, Y.; Lu, M.; Lv, Z.; Li, Y.; Li, Z. Synthesis and application of environmental plasticizers based on benzene polyacid ester. J. Vinyl Addit. Technol. 2024, 30, 1066–1079. [Google Scholar] [CrossRef]
- Wang, X.; Di, C.; Wang, T. Effect of different tin neodecanoate and calcium–zinc heat stabilizers on the thermal stability of PVC. e-Polymers 2023, 23, 20230029. [Google Scholar] [CrossRef]



















| Formula | Value of Calculation (%) | |||
|---|---|---|---|---|
| Zn | C | H | N | |
| ZnL | 23.90 | 44.12 | 3.31 | 5.15 |
| Zn2(C10H9NO4)2·H2O | 23.13 | 42.70 | 3.56 | 4.98 |
| Zn2(C10H9NO4)2·2H2O | 22.41 | 41.38 | 3.79 | 4.83 |
| Zn2(C10H9NO4)2·5/2H2O | 22.07 | 40.75 | 3.90 | 4.75 |
| Zn2(C10H9NO4)2·3H2O | 21.74 | 40.13 | 4.01 | 4.68 |
| Zn2(C10H9NO4)2·4H2O | 21.10 | 38.96 | 4.22 | 4.55 |
| Experimental value (%) | ||||
| Reality | 22.33 | 39.78 | 4.18 | 4.51 |
Disclaimer/Publisher’s Note: The statements, opinions and data contained in all publications are solely those of the individual author(s) and contributor(s) and not of MDPI and/or the editor(s). MDPI and/or the editor(s) disclaim responsibility for any injury to people or property resulting from any ideas, methods, instructions or products referred to in the content. |
© 2025 by the authors. Licensee MDPI, Basel, Switzerland. This article is an open access article distributed under the terms and conditions of the Creative Commons Attribution (CC BY) license (https://creativecommons.org/licenses/by/4.0/).
Share and Cite
Ye, F.; Yan, Z.; Ma, H.; Guo, K.; You, C.; Zheng, Q.; Lv, S.; Wang, X.; Ye, Q.; Ge, Y.; et al. The Synthesis of Zinc Complex of Salicylaldehyde Serine Schiff Base and Assessment of Its Efficiency as a Heat Stabilizer for Poly(Vinyl Chloride). Polymers 2025, 17, 3119. https://doi.org/10.3390/polym17233119
Ye F, Yan Z, Ma H, Guo K, You C, Zheng Q, Lv S, Wang X, Ye Q, Ge Y, et al. The Synthesis of Zinc Complex of Salicylaldehyde Serine Schiff Base and Assessment of Its Efficiency as a Heat Stabilizer for Poly(Vinyl Chloride). Polymers. 2025; 17(23):3119. https://doi.org/10.3390/polym17233119
Chicago/Turabian StyleYe, Feng, Zhihao Yan, Haoran Ma, Kangjie Guo, Cheng You, Qingsong Zheng, Shafeng Lv, Xiaodong Wang, Qiufeng Ye, Yeqian Ge, and et al. 2025. "The Synthesis of Zinc Complex of Salicylaldehyde Serine Schiff Base and Assessment of Its Efficiency as a Heat Stabilizer for Poly(Vinyl Chloride)" Polymers 17, no. 23: 3119. https://doi.org/10.3390/polym17233119
APA StyleYe, F., Yan, Z., Ma, H., Guo, K., You, C., Zheng, Q., Lv, S., Wang, X., Ye, Q., Ge, Y., Zou, Z., & Shen, C. (2025). The Synthesis of Zinc Complex of Salicylaldehyde Serine Schiff Base and Assessment of Its Efficiency as a Heat Stabilizer for Poly(Vinyl Chloride). Polymers, 17(23), 3119. https://doi.org/10.3390/polym17233119
