Effect of Different Aqueous Solvents with and Without Solubilized Lignin on the Swelling Behavior of Holocellulose Fibers
Abstract
1. Introduction
2. Materials and Methods
2.1. Materials
2.2. Methods
2.2.1. Experimental Plan
2.2.2. Preparation of Holocellulose Pulp
2.2.3. Swelling (Different Aqueous Solutions)
2.2.4. Lignin Solutions (Supernatant)
2.2.5. Swelling with Impregnation
2.2.6. Chemical Characterization
2.2.7. Light Microscopy
2.2.8. Liquid Retention Value (LRV)
2.2.9. Paper Handsheets
2.2.10. Crystallinity Analysis
2.2.11. SEC Analysis
2.2.12. NMR Spectroscopy
2.2.13. Statistical Analysis
3. Results and Discussion
3.1. Part I—Swelling Agents
3.1.1. Chemical Analysis—Swelling Agents
3.1.2. Liquid Retention Value—Swelling Agents
3.1.3. Light Microscopy—Swelling Agents
3.1.4. Crystallinity
3.2. Part II—Impregnation
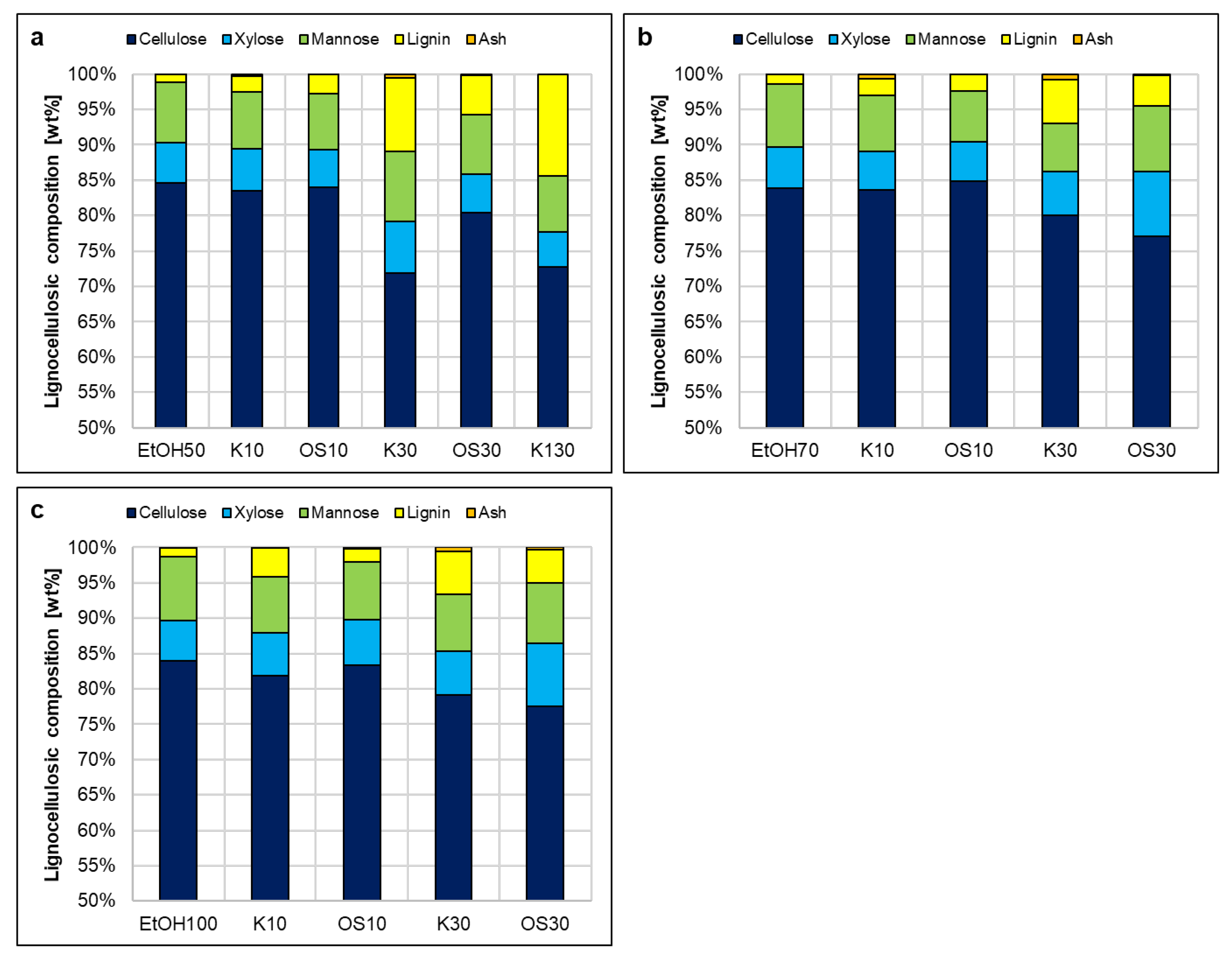
3.2.1. Chemical Analysis—Impregnation
3.2.2. Liquid Retention Value—Impregnation
3.2.3. Lignin Impregnation Value
3.2.4. Microscopy—Impregnation
4. Conclusions
Supplementary Materials
Author Contributions
Funding
Data Availability Statement
Acknowledgments
Conflicts of Interest
References
- United Nations Environment Programme. 2022 Global Status Report for Buildings and Construction: Towards a Zero-Emission, Efficient and Resilient Buildings and Construction Sector; Global ABC Report 2022; United Nations Environment Programme: Nairobi, Kenya, 2022; ISBN 978-92-807-3984-8. [Google Scholar]
- Azarmi, M.; Berg, A.; Geier, S.; Gerhardt, E.; Greimel, M.; Groiß-Fuertner, D.; Guzman, F.; Heräjärvi, H.; Laakkonen, A.; Lampela, J.; et al. Sustainable Use of Wood in Construction, Textile and Packaging Sector Towards a Carbon-Neutral Bioeconomy; BOKU: Vienna, Austria, 2024. [Google Scholar]
- Ye, H.; Wang, Y.; Yu, Q.; Ge, S.; Fan, W.; Zhang, M.; Huang, Z.; Manzo, M.; Cai, L.; Wang, L.; et al. Bio-Based Composites Fabricated from Wood Fibers through Self-Bonding Technology. Chemosphere 2022, 287, 132436. [Google Scholar] [CrossRef] [PubMed]
- Aguado, R.; Lourenço, A.F.; Ferreira, P.J.T.; Moral, A.; Tijero, A. The Relevance of the Pretreatment on the Chemical Modification of Cellulosic Fibers. Cellulose 2019, 26, 5925–5936. [Google Scholar] [CrossRef]
- Pere, J.; Pääkkönen, E.; Ji, Y.; Retulainen, E. Influence of the Hemicellulose Content on the Fiber Properties, Strength, and Formability of Handsheets. BioResources 2019, 14, 251–263. [Google Scholar] [CrossRef]
- Sharma, N.; Bhardwaj, N.K.; Singh, R.B.P. Environmental Issues of Pulp Bleaching and Prospects of Peracetic Acid Pulp Bleaching: A Review. J. Clean. Prod. 2020, 256, 120338. [Google Scholar] [CrossRef]
- Sharma, N.; Bhardwaj, N.K.; Singh, R.B.P. Environmental Aspects and Efficacy of Peracetic Acid Treatment to Improve Elemental Chlorine Free Bleaching Processes. Cellul. Chem. Technol. 2024, 58, 759–769. [Google Scholar] [CrossRef]
- Yang, X.; Berthold, F.; Berglund, L.A. Preserving Cellulose Structure: Delignified Wood Fibers for Paper Structures of High Strength and Transparency. Biomacromolecules 2018, 19, 3020–3029. [Google Scholar] [CrossRef]
- Westin, P.-O.; Yang, X.; Svedberg, A.; Grundberg, H.; Berglund, L.A. Single Step PAA Delignification of Wood Chips for High-Performance Holocellulose Fibers. Cellulose 2021, 28, 1873–1880. [Google Scholar] [CrossRef]
- Evstigneev, E.I. Factors Affecting Lignin Solubility. Russ. J. Appl. Chem. 2011, 84, 1040–1045. [Google Scholar] [CrossRef]
- Jiang, B.; Chen, C.; Liang, Z.; He, S.; Kuang, Y.; Song, J.; Mi, R.; Chen, G.; Jiao, M.; Hu, L. Lignin as a Wood-Inspired Binder Enabled Strong, Water Stable, and Biodegradable Paper for Plastic Replacement. Adv. Funct. Mater. 2020, 30, 1906307. [Google Scholar] [CrossRef]
- Gouveia, S.; Otero, L.A.; Fernández-Costas, C.; Filgueira, D.; Sanromán, Á.; Moldes, D. Green Binder Based on Enzymatically Polymerized Eucalypt Kraft Lignin for Fiberboard Manufacturing: A Preliminary Study. Polymers 2018, 10, 642. [Google Scholar] [CrossRef] [PubMed]
- Marcuello, C.; Bercu, N.; Foulon, L.; Chabbert, B.; Molinari, M.; Aguié-Béghin, V. Impact of Lignin Structuration on Its Chemical and Adhesive Properties at the Nanoscale: Involvement with Native and Polymer Matrices. Nanoscale 2025, 17, 24657–24668. [Google Scholar] [CrossRef]
- Yu, S.; Wang, M.; Xie, Y.; Qian, W.; Bai, Y.; Feng, Q. Lignin Self-Assembly and Auto-Adhesion for Hydrophobic Cellulose/Lignin Composite Film Fabrication. Int. J. Biol. Macromol. 2023, 233, 123598. [Google Scholar] [CrossRef]
- Hocking, M.B.; Crow, J.P. On the Mechanism of Alkaline Hydrogen Peroxide Oxidation of the Lignin Model p-Hydroxyacetophenone. Can. J. Chem. 1994, 72, 1137–1142. [Google Scholar] [CrossRef]
- Martinsson, A.; Hasani, M.; Theliander, H. Hardwood Kraft Pulp Fibre Oxidation Using Acidic Hydrogen Peroxide. Nord. Pulp Pap. Res. J. 2021, 36, 166–176. [Google Scholar] [CrossRef]
- Vera-Loor, A.; Rigou, P.; Mortha, G.; Marlin, N. Oxidation Treatments Using Hydrogen Peroxide to Convert Paper-Grade Eucalyptus Kraft Pulp into Dissolving-Grade Pulp. Molecules 2023, 28, 7927. [Google Scholar] [CrossRef] [PubMed]
- Kitaoka, T.; Isogai, A.; Onabe, F. Chemical Modification of Pulp Fibers by TEMPO-Mediated Oxidation. Nord. Pulp Pap. Res. J. 1999, 14, 279–284. [Google Scholar] [CrossRef]
- Chen, H.; Jiang, J.; Zhang, S.; Yu, J.; Liu, L.; Fan, Y. Surface Modification of Cellulose Originated from Different Plant Sources through TEMPO/Laccase/O2 Oxidation. Ind. Crops Prod. 2022, 176, 114295. [Google Scholar] [CrossRef]
- Widsten, P.; Qvintus-Leino, P.; Tuominen, S.; Laine, J.E. Manufacture of Fiberboard from Wood Fibers Activated with Fentons Reagent (H2O2/FeSO4). Holzforschung 2003, 57, 447–452. [Google Scholar] [CrossRef]
- Naderi, A.; Lindström, T.; Sundström, J.; Pettersson, T.; Flodberg, G.; Erlandsson, J. Microfluidized Carboxymethyl Cellulose Modified Pulp: A Nanofibrillated Cellulose System with Some Attractive Properties. Cellulose 2015, 22, 1159–1173. [Google Scholar] [CrossRef]
- Kim, Y.; McCoy, L.T.; Feit, C.; Mubarak, S.A.; Sharma, S.; Minko, S. Carboxymethyl Cellulose Enhanced Production of Cellulose Nanofibrils. Fibers 2021, 9, 57. [Google Scholar] [CrossRef]
- Ma, H.; Zhang, Z.; Wang, Y.; Wang, J.; Chen, H.; Jiang, S.; Han, X. Technology of Lignin Modification: Progress in Specialty and Green Adhesives’ Mechanical Properties. Green Chem. 2025, 27, 13577–13606. [Google Scholar] [CrossRef]
- Hubbe, M.A.; Pizzi, A.; Zhang, H.; Halis, R. Critical Links Governing Performance of Self-Binding and Natural Binders for Hot-Pressed Reconstituted Lignocellulosic Board without Added Formaldehyde: A Review. BioResources 2018, 13, 2049–2115. [Google Scholar] [CrossRef]
- Gamstedt, E.K. Moisture Induced Softening and Swelling of Natural Cellulose Fibres in Composite Applications. IOP Conf. Ser. Mater. Sci. Eng. 2016, 139, 012003. [Google Scholar] [CrossRef]
- Persson, B.N.J.; Ganser, C.; Schmied, F.; Teichert, C.; Schennach, R.; Gilli, E.; Hirn, U. Adhesion of Cellulose Fibers in Paper. J. Phys. Condens. Matter 2013, 25, 045002. [Google Scholar] [CrossRef]
- Hirn, U.; Schennach, R. Fiber-Fiber Bond Formation and Failure: Mechanisms and Analytical Techniques. In Proceedings of the XVI Fundamental Research Symposium, Oxford, UK, 4–8 September 2017; Batchelor, W., Söderberg, D., Eds.; Fundamental Research Committee (FRC): Manchester, UK, 2017; pp. 839–863. [Google Scholar]
- You, X.; Chen, F.; Ma, Y.; Roselli, A.; Enqvist, E.; Hassi, H. Single Fiber Swelling Behavior for Natural and Man-Made Cellulose Fibers under Alkaline Treatment. Cellulose 2021, 28, 11287–11298. [Google Scholar] [CrossRef]
- Okugawa, A.; Sakaino, M.; Yuguchi, Y.; Yamane, C. Relaxation Phenomenon and Swelling Behavior of Regenerated Cellulose Fibers Affected by Water. Carbohydrate Polymers 2020, 231, 115663. [Google Scholar] [CrossRef]
- Hubbe, M.; Sjöstrand, B.; Lestelius, M.; Håkansson, H.; Swerin, A.; Henriksson, G. Swelling of Cellulosic Fibers in Aqueous Systems: A Review of Chemical and Mechanistic Factors. BioResources 2024, 19, 6859–6945. [Google Scholar] [CrossRef]
- Melro, E.; Alves, L.; Antunes, F.E.; Medronho, B. A Brief Overview on Lignin Dissolution. J. Mol. Liq. 2018, 265, 578–584. [Google Scholar] [CrossRef]
- Budtova, T.; Navard, P. Cellulose in NaOH–Water Based Solvents: A Review. Cellulose 2016, 23, 5–55. [Google Scholar] [CrossRef]
- Zhang, S.; Wang, W.C.; Li, F.X.; Yu, J.Y. Swelling and Dissolution of Cellulose in NaOH Aqueous Solvent Systems. Cellul. Chem. Technol. 2013, 47, 671–679. [Google Scholar]
- Goldmann, W.M.; Ahola, J.; Mikola, M.; Tanskanen, J. Solubility and Fractionation of Indulin AT Kraft Lignin in Ethanol-Water Media. Sep. Purif. Technol. 2019, 209, 826–832. [Google Scholar] [CrossRef]
- Schulze, P.; Seidel-Morgenstern, A.; Lorenz, H.; Leschinsky, M.; Unkelbach, G. Advanced Process for Precipitation of Lignin from Ethanol Organosolv Spent Liquors. Bioresour. Technol. 2016, 199, 128–134. [Google Scholar] [CrossRef]
- Poschner, R.; Czibula, C.; Bakhshi, A.; Harter, T.; Eckhart, R.; Hirn, U. Fractionation of Wood Due to Industrial Chipping: Effects and Potential for Kraft Pulping of European Spruce. Cellulose 2024, 31, 3129–3142. [Google Scholar] [CrossRef]
- Sluiter, A.; Hames, B.; Ruiz, R.; Scarlata, C.; Sluiter, J.; Templeton, D. Technical Report NREL/TP-510-42618: Determination of Structural Carbohydrates and Lignin in Biomass; National Renewable Energy Laboratory: Denver, CO, USA, 2012; p. 15.
- Sluiter, A.; Hames, B.; Ruiz, R.; Scarlata, C.; Sluiter, J.; Templeton, D. Technical Report NREL/TP-510-42622: Determination of Ash in Biomass; National Renewable Energy Laboratory: Denver, CO, USA, 2008; p. 8.
- Harter, T.; Steiner, H.; Hirn, U. Investigating Mechanisms Deteriorating the Dispersibility of Biodegradable and Flushable Wet Wipes. Cellulose 2022, 29, 8827–8842. [Google Scholar] [CrossRef]
- ISO 23714:2014; Pulps-Determination of Water Retention Value (WRV). International Organization for Standardization: Geneva, Switzerland, 2014.
- DIN EN ISO5263-1; Faserstoffe–Nassaufschlagen im Labor–Teil 1: Aufschlagen von Chemiezellstoff (ISO 5263-1:2004), Deutsche Fassung EN ISO 5263-1:2004. DIN Deutsches Institut für Normung: Berlin, Germany, 2004.
- Sluiter, A.; Ruiz, R.; Scarlata, C.; Sluiter, J.; Templeton, D. Determination of Extractives in Biomass; Technical Report NREL/TP-510-42619; National Renewable Energy Laboratory: Denver, CO, USA, 2008; p. 12.
- EN ISO 5269-2:2004; Pulps—Preparation of Laboratory Sheets for Physical Testing—Part 2: Rapid-Köthen Method. International Organization for Standardization: Geneva, Switzerland, 2004.
- Sun, L.; Chen, J.Y.; Jiang, W.; Lynch, V. Crystalline Characteristics of Cellulose Fiber and Film Regenerated from Ionic Liquid Solution. Carbohydr. Polym. 2015, 118, 150–155. [Google Scholar] [CrossRef]
- Argyropoulos, D. Quantitative Phosphorus-31 NMR Analysis of Lignins, a New Tool for the Lignin Chemist. J. Wood Chem. Technol. 1994, 14, 45–63. [Google Scholar] [CrossRef]
- Granata, A.; Argyropoulos, D.S. 2-Chloro-4,4,5,5-Tetramethyl-1,3,2-Dioxaphospholane, a Reagent for the Accurate Determination of the Uncondensed and Condensed Phenolic Moieties in Lignins. J. Agric. Food Chem. 1995, 43, 1538–1544. [Google Scholar] [CrossRef]
- Argyropoulos, D.S.; Pajer, N.; Crestini, C. Quantitative31P NMR Analysis of Lignins and Tannins. J. Vis. Exp. 2021. [Google Scholar] [CrossRef] [PubMed]
- Sthle, L.; Wold, S. Analysis of Variance (ANOVA). Chemom. Intell. Lab. Syst. 1989, 6, 259–272. [Google Scholar] [CrossRef]
- Shapiro, S.S.; Wilk, M.B. An Analysis of Variance Test for Normality (Complete Samples). Biometrika 1965, 52, 591–611. [Google Scholar] [CrossRef]
- Modenbach, A.A.; Nokes, S.E. Effects of Sodium Hydroxide Pretreatment on Structural Components of Biomass. Trans. ASABE 2014, 57, 1187–1198. [Google Scholar] [CrossRef]
- Choi, K.-H.; Kim, A.R.; Cho, B.-U. Effects of Alkali Swelling and Beating Treatments on Properties of Kraft Pulp Fibers. BioResources 2016, 11, 3769–3782. [Google Scholar] [CrossRef]
- Bossu, J.; Le Moigne, N.; Corn, S.; Trens, P.; Di Renzo, F. Sorption of Water–Ethanol Mixtures by Poplar Wood: Swelling and Viscoelastic Behaviour. Wood Sci. Technol. 2018, 52, 987–1008. [Google Scholar] [CrossRef]
- Tan, X.; Chen, L.; Li, X.; Xie, F. Effect of Anti-Solvents on the Characteristics of Regenerated Cellulose from 1-Ethyl-3-Methylimidazolium Acetate Ionic Liquid. Int. J. Biol. Macromol. 2019, 124, 314–320. [Google Scholar] [CrossRef] [PubMed]
- Maršík, D.; Thoresen, P.P.; Maťátková, O.; Masák, J.; Sialini, P.; Rova, U.; Tsikourkitoudi, V.; Christakopoulos, P.; Matsakas, L.; Jarošová Kolouchová, I. Synthesis and Characterization of Lignin-Silver Nanoparticles. Molecules 2024, 29, 2360. [Google Scholar] [CrossRef]
- Adamcyk, J.; Serna-Loaiza, S.; Beisl, S.; Miltner, M.; Friedl, A. Influence of Temperature and Lignin Concentration on Formation of Colloidal Lignin Particles in Solvent-Shifting Precipitation. Sustainability 2022, 14, 1219. [Google Scholar] [CrossRef]














| Solvent | Supernatant Concentration | ||||
|---|---|---|---|---|---|
| K10 | K30 | K130 | OS10 | OS30 | |
| g/L | g/L | g/L | g/L | g/L | |
| EtOH50 | 9.88 | 30.00 b | 130.00 b | 9.74 | 30.00 b |
| EtOH70 | 9.14 | 30.00 b | 10.09 | 29.21 | |
| EtOH100 | 9.45 | 30.00 b | 9.55 | 30.00 b | |
| NaOH2 a | 10.00 | 30.00 | 10.00 | 30.00 | |
| NaOH4 a | 10.00 | 30.00 | 10.00 | 30.00 | |
Disclaimer/Publisher’s Note: The statements, opinions and data contained in all publications are solely those of the individual author(s) and contributor(s) and not of MDPI and/or the editor(s). MDPI and/or the editor(s) disclaim responsibility for any injury to people or property resulting from any ideas, methods, instructions or products referred to in the content. |
© 2025 by the authors. Licensee MDPI, Basel, Switzerland. This article is an open access article distributed under the terms and conditions of the Creative Commons Attribution (CC BY) license (https://creativecommons.org/licenses/by/4.0/).
Share and Cite
Hofbauer, C.; Harter, T.; Hirn, U.; Harasek, M.; Zelaya-Lainez, L.; Füssl, J.; Lukacevic, M.; Serna-Loaiza, S. Effect of Different Aqueous Solvents with and Without Solubilized Lignin on the Swelling Behavior of Holocellulose Fibers. Polymers 2025, 17, 3103. https://doi.org/10.3390/polym17233103
Hofbauer C, Harter T, Hirn U, Harasek M, Zelaya-Lainez L, Füssl J, Lukacevic M, Serna-Loaiza S. Effect of Different Aqueous Solvents with and Without Solubilized Lignin on the Swelling Behavior of Holocellulose Fibers. Polymers. 2025; 17(23):3103. https://doi.org/10.3390/polym17233103
Chicago/Turabian StyleHofbauer, Cornelia, Thomas Harter, Ulrich Hirn, Michael Harasek, Luis Zelaya-Lainez, Josef Füssl, Markus Lukacevic, and Sebastian Serna-Loaiza. 2025. "Effect of Different Aqueous Solvents with and Without Solubilized Lignin on the Swelling Behavior of Holocellulose Fibers" Polymers 17, no. 23: 3103. https://doi.org/10.3390/polym17233103
APA StyleHofbauer, C., Harter, T., Hirn, U., Harasek, M., Zelaya-Lainez, L., Füssl, J., Lukacevic, M., & Serna-Loaiza, S. (2025). Effect of Different Aqueous Solvents with and Without Solubilized Lignin on the Swelling Behavior of Holocellulose Fibers. Polymers, 17(23), 3103. https://doi.org/10.3390/polym17233103

