Study on the Lost Circulation Mechanism of Polymer-Based Drilling Fluid Systems in Deep Fractured Shale
Abstract
1. Introduction
2. Analysis of the Mechanical Properties of Maokou Formation Shale
3. Calculation Model of Lost Circulation Pressure in Natural Fractures
3.1. Model Establishment
3.2. Model Validation
3.2.1. Initial and Boundary Conditions of the Model
- (1)
- Initial Conditions
- (2)
- Boundary Conditions
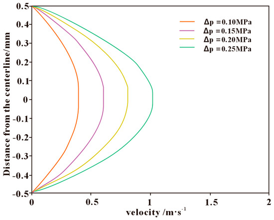
3.2.2. Model Verification
3.2.3. Initial Parameters of the Maokou Formation Shale Model
3.3. Analysis of Drilling Fluid Loss Patterns in Fractured Formations
3.3.1. Influence of Fracture Characteristic Parameters on Lost Circulation
3.3.2. Influence of Drilling Fluid Properties on Lost Circulation
3.3.3. Influence of Fracture Stress State on Lost Circulation
3.3.4. Influence of Wellbore–Formation Pressure Differential on Loss Rate
3.4. Application of Polymer-Based Drilling Fluids
4. Conclusions
- (1)
- Contact between drilling fluid and shale reduces the uniaxial compressive strength and elastic modulus of the rock, potentially leading to wellbore instability and related incidents. Although the Maokou Formation shale is dominated by illite, which has weak hydration and swelling potential, drilling fluid still significantly weakens the mechanical strength of the rock.
- (2)
- The drilling fluid loss rate increases with increasing initial fracture width and fracture deformation index, and decreases with increasing fracture radial extension length and fracture roughness. Among these factors, the fracture deformation index has a relatively small impact on the loss pattern and is not a controlling factor for fracture-induced loss.
- (3)
- The drilling fluid loss rate increases with increasing consistency coefficient and yield stress, and decreases with increasing drilling fluid density. Among these factors, the yield stress has a relatively small influence on the loss rate.
- (4)
- The drilling fluid loss rate decreases with increasing fracture normal stress and increases with increasing wellbore–formation pressure differential.
Author Contributions
Funding
Institutional Review Board Statement
Data Availability Statement
Conflicts of Interest
References
- Zhu, G.; Jin, J.; Xiao, Q.; Xiao, Q.; Wang, L.; Sheng, G.; Tang, J.; Meng, J.; Lu, Z.; Cheng, C. Key geological and engineering technologies and research directions for shale gas exploration and development in western Hubei Province, China. Energy Geosci. 2025, 6, 4. [Google Scholar] [CrossRef]
- He, X.; Chen, G.; Wu, J.; Liu, Y.; Wu, S.; Zhang, J.; Zhang, X. Deep shale gas exploration and development in the southern Sichuan Basin: New progress and challenges. Nat. Gas Ind. B 2023, 10, 32–43. [Google Scholar] [CrossRef]
- He, X.; He, G.; Gao, Y.; Zhang, L.; He, Q.; Zhang, P.; Wang, W.; Huang, X. Progress in and research direction of key technologies for normal-pressure shale gas exploration and development. Nat. Gas Ind. B 2023, 10, 555–569. [Google Scholar] [CrossRef]
- Zhang, L.; He, X.; Li, X.; Li, K.; He, J.; Zhang, Z.; Guo, J.; Chen, Y.; Liu, W. Shale gas exploration and development in the Sichuan Basin: Progress, challenge and countermeasures. Nat. Gas Ind. B 2022, 9, 176–186. [Google Scholar] [CrossRef]
- Zhang, T.; Sun, J.; Liu, J.; Lv, K.; Sun, Y.; Xu, Z.; Huang, N.; Yan, H. High-temperature and high-salinity resistance hydrophobic association zwitterionic filtrate loss reducer for water-based drilling fluids. Pet. Sci. 2025, 22, 2851–2867. [Google Scholar] [CrossRef]
- Chen, H.; Kuru, E.; Hu, K. A comparative study of the water-based drilling fluid viscoelasticity versus shear viscosity effects on the filtration loss control. Geoenergy Sci. Eng. 2024, 241, 213117. [Google Scholar] [CrossRef]
- Li, J.; Ji, Y.; Ni, X.; Lv, K.; Huang, X.; Sun, J. A micro-crosslinked amphoteric hydrophobic association copolymer as high temperature- and salt-resistance fluid loss reducer for water-based drilling fluids. Pet. Sci. 2024, 24, 1980–1991. [Google Scholar] [CrossRef]
- Zhang, Z.; Wei, Y.; Xiong, Y.; Peng, G.; Wang, G.; Lu, J.; Zhong, L.; Wang, J. Influence of the location of drilling fluid loss on wellbore temperature distribution during drilling. Energy 2022, 244, 123031. [Google Scholar] [CrossRef]
- Yu, X.; Gao, Y.; Wang, X.; Zhao, X.; Yin, B.; Sun, B. Study on the formation-wellbore coupling flow law during the drilling process of an oil-based drilling fluid system in deepwater fractured formations. Geoenergy Sci. Eng. 2025, 251, 213899. [Google Scholar] [CrossRef]
- Li, Q.; Zhu, D.; Zhuang, G.; Li, X. Advanced development of chemical inhibitors in water-based drilling fluids to improve shale stability: A review. Pet. Sci. 2025, 22, 1977–1996. [Google Scholar] [CrossRef]
- Yasiri, A. Eco-friendly drilling fluid: A study on the use of broad bean peels as a natural additive. Geoenergy Sci. Eng. 2023, 231, 212267. [Google Scholar] [CrossRef]
- Antia, M.; Ezejiofor, A.; Obasi, C.; Orisakwe, O. Environmental and public health effects of spent drilling fluid: An updated systematic review. J. Hazard. Mater. Adv. 2022, 7, 100120. [Google Scholar] [CrossRef]
- Li, K.; Jia, J.; Yu, L.; Li, H. Mechanisms of Lost Circulation and Technologies for Mud Loss Prevention and Control in Shale Oil Drilling. Drill. Fluid Complet. Fluid 2022, 39, 446–450. [Google Scholar]
- Wang, G.; Wei, C. Research on the Calculation Method of Loss Pressure. Oil Gas Field Surf. Eng. 2003, 22, 11. [Google Scholar]
- Li, W.; Yu, X.; Lai, Y.; Liu, H.; Wen, W.; Zhang, Z.; Wu, S. Lost Circulation Mechanism and Main Controlling Factors in Deep Brittle Shale Wells. Spec. Oil Gas Reserv. 2022, 29, 162–169. [Google Scholar] [CrossRef]
- Majidi, R.; Miska, S.; Thompson, L.; Yu, M.J. Quantitative analysis of mud losses in naturally fractured reservoirs: The effect of rheology. SPE Drill. Complet. 2010, 25, 509–517. [Google Scholar] [CrossRef]
- Zhai, X.; Ju, P.; Xie, Z.; Lou, Y.; Zhang, Y. A dynamic model for the leakage pressure of induced fractures in shale reservoirs. Drill. Eng. 2018, 38, 81–86. [Google Scholar] [CrossRef]
- Li, D.; Liu, S.; Kang, Y.; Zhang, H. Dynamic Behavior of Drilling Fluid Leakage in Naturally Fractured Formations. J. Southwest Pet. Univ. (Sci. Technol. Ed.) 2016, 38, 101–106. [Google Scholar] [CrossRef]
- Pan, S.; Zhang, Y.; Lu, P.; Yang, D.; Huang, Y.; Wu, X.; He, P.; Guo, D. Environmental Impacts of Shale Gas Development on Groundwater, and Flowback and Produced Water Treatment Management: A Review. Sustainability 2025, 17, 5209. [Google Scholar] [CrossRef]
- Zhang, Y.; Zhang, T.; Liu, X.; Zhang, S.; Liang, L.; Xiong, J. Intrinsic mechanisms of shale hydration-induced structural changes. J. Hydrol. 2024, 637, 131433. [Google Scholar] [CrossRef]
- Jiang, X.; Chen, M.; Li, Q.; Liang, L.; Zhong, Z.; Yu, B.; Wen, H. Study on the feasibility of the heat treatment after shale gas reservoir hydration fracturing. Energy 2022, 254, 124422. [Google Scholar] [CrossRef]
- Yang, L.; Ge, H.; Shen, Y.; Zhang, J.; Yan, W.; Wu, S.; Tang, X. Imbibition inducing tensile fractures and its influence on in-situ stress analyses: A case study of shale gas drilling. J. Nat. Gas Sci. Eng. 2015, 26, 927–939. [Google Scholar] [CrossRef]
- Ling, F.; Kong, L.; Yang, S.; Shang, Y. Reactivation of heterogeneous shear veins during reservoir stimulation: Fracture interaction, stress perturbation, and induced seismicity. Comput. Geotech. 2025, 188, 107576. [Google Scholar] [CrossRef]
- Mugisha, J.; Shchipanov, A. A new interpretation approach to detect induced fracture opening with pressure transient analysis of step-rate tests. Geoenergy Sci. Eng. 2025, 249, 213759. [Google Scholar] [CrossRef]
- Zhou, Z.; Wen, H.; Pang, H.; Liang, L.; Jiang, X.; Song, J. Energy evolution analysis of heat-treated hydrated shale. Energy 2024, 289, 130093. [Google Scholar] [CrossRef]
- Zhao, J.; Yu, Z.; Ren, L.; Lin, R.; Wu, J.; Song, Y.; Shen, C.; Sun, Y. Effects of hydration on the mechanical properties of deep shale under true triaxial stress: A case study of Fuling shale gas in Sichuan Basin, SW China. Pet. Explor. Dev. 2025, 52, 795–806. [Google Scholar] [CrossRef]
- He, Z.; Xu, H.; Wang, J.; Sun, J.; Liu, L.; Li, W.; Cai, W.; Zhao, K.; Li, Y.; Bai, B.; et al. Molecular dynamics study on the Micro-Mechanism of modified nano-silica for inhibiting shale surface hydration. Fuel 2025, 393, 134967. [Google Scholar] [CrossRef]
- Ding, Y.; Yu, X.; Liu, X.; Gan, R.; Liang, L.; Xiong, J. Investigating dynamic spontaneous imbibition and hydration damage in shale. Fuel 2025, 386, 134243. [Google Scholar] [CrossRef]
- Xu, J.; Wang, L.; Hu, H.; Cao, D.; Li, S. Improving shale hydration inhibition with hydrophobically modified graphene oxide in water-based drilling fluids. J. Mol. Liq. 2024, 413, 125908. [Google Scholar] [CrossRef]
- Li, X.; Yang, H.; Wei, Y.; Feng, Y.; Yang, H.; Yan, W.; Fu, L. Wellbore instability in naturally fractured formations: Experimental study and 3D numerical investigation. Gas Sci. Eng. 2024, 124, 205265. [Google Scholar] [CrossRef]
- Du, H.; Lv, K.; Sun, J.; Li, M.; Geng, Y.; Huang, X.; Shen, H.; Khan, M. Mesoporous SiO2 nanoparticles with low surface energy and multi-level roughness as shale wellbore stabilizers in oil-based drilling fluid, Petroleum Science. Pet. Sci. 2025, 22, 384–397. [Google Scholar] [CrossRef]
- Zhang, L.; Wang, Z.; Du, K.; Xiao, B.; Chen, W. A new analytical model of wellbore strengthening for fracture network loss of drilling fluid considering fracture roughness. J. Nat. Gas Sci. Eng. 2020, 77, 103093. [Google Scholar] [CrossRef]
- Zhu, B.; Tang, H.; Yin, S.; Chen, G.; Zhao, F.; Xu, S. Effect of fracture roughness on transport of suspended particles in fracture during drilling. J. Pet. Sci. Eng. 2021, 207, 109080. [Google Scholar] [CrossRef]
- Torkan, M.; Uotinen, L.; Baghbanan, A.; Rinne, M. Experimental and numerical characterization of hydro-mechanical properties of rock fractures: The effect of the sample size on roughness and hydraulic aperture. Int. J. Rock Mech. Min. Sci. 2025, 186, 106009. [Google Scholar] [CrossRef]
- Zhang, L.; Xu, J.; Xie, T.; Lin, H.; Liu, H. Comparison of Several Calculation Models for Loss Pressure of Fractured Formation. Chin. Pet. Mach. 2018, 46, 13–17. [Google Scholar]
- Zhang, X.; Jeffrey, R.; Thiercelin, M. Mechanics of fluid-driven fracture growth in naturally fractured reservoirs with simple network geometries. JGR Solid Earth 2019, 114, B12406. [Google Scholar] [CrossRef]
- Yu, J.; Xu, T.; Wang, K. Evaluation of fracture toughness index and crack initiation stress modified with directional boreholes and slits in deep rock mass. Eng. Geol. 2025, 356, 108282. [Google Scholar] [CrossRef]
- Gao, Z.; Chai, S.; Li, E.; Meng, X.; Zhang, N.; Luo, S. Analysis of Fracture Stress State and Prediction of Opening State in Jinzhou X Qianshan Reservoir. Pet. Geol. Eng. 2013, 27, 83–86. [Google Scholar]
- Jia, L.; Chen, M.; Hou, B.; Sun, Z.; Jin, Y. Drilling fluid loss model and loss dynamic behavior in fractured formations. Pet. Explor. Dev. 2014, 41, 105–112. [Google Scholar] [CrossRef]
- Mou, Y.; Tan, X.; Luo, B.; Li, M.; Xu, F.; Yi, J.; Wu, Y.; Yang, W.; Guo, J.; Xiao, D. Sedimentary evolution and hydrocarbon exploration potential of platform-marginzones in the upper sub-member of the 2nd member of the Middle Permian Maokou Formation, eastern Sichuan Basin. Oil Gas Geol. 2025, 46, 211–229. [Google Scholar] [CrossRef]
- Ni, C.; Zhang, B.; Chu, C.; Hao, Y.; Gu, M.; Pan, L.; Li, M.; Yao, Q.; Zhu, K. Sedimentary and reservoir characteristics and exploration field of Qixia Formation-Maokou Formation in the Sichuan Basin. Mar. Orig. Pet. Geol. 2024, 29, 303–315. [Google Scholar] [CrossRef]
- Liu, J.; Xue, F.; Dai, J.; Yang, J.; Wang, L.; Shi, X.; Dai, S.; Hu, J.; Liu, C. Waveform features and automatic discrimination of deep and shallow microearthquakes in the Changning shale gas field, Southern Sichuan Basin, China. J. Appl. Geophys. 2025, 241, 105850. [Google Scholar] [CrossRef]
- Cao, H.; Shan, S.; Tian, C.; Zhang, X.; Peng, H.; Liu, P.; Chen, C.; Gao, Z.; Hu, L.; Xie, J.; et al. Sedimentary Evolution and Petroleum Geological Significance of the Permian Maokou Formation in the Eastern and Northern Sichuan Basin. Pet. Geol. Exp. 2024, 46, 460–471. [Google Scholar] [CrossRef]
- Zhang, P.; He, X.; Gao, Q.; Gao, Y.; Sun, B.; Cai, X.; He, G.; Zhang, Z.; Liu, N. Geological characteristics and enrichment pattern of Permian Mao 1Member shale gas reservoirs at the southeastern margin of Sichuan Basin. Oil Gas Geol. 2021, 42, 146–157. [Google Scholar] [CrossRef]
- Pang, S.; Xuan, Y.; Zhu, L.; An, Y. Zwitterionic polymer grafted nano-SiO2 as fluid loss agent for high temperature water-based drilling fluids. J. Mol. Liq. 2025, 417, 126542. [Google Scholar] [CrossRef]
- Othman, A.; Aljawad, M.S.; Kalgaonkar, R.; Kamal, M.S. Application of Polymers in Hydraulic Fracturing Fluids: A Review. Polymers 2025, 17, 2562. [Google Scholar] [CrossRef]
- Liu, X.; Wen, Y.; Qu, J.; Geng, B.; Chen, B.; Wei, B.; Wu, B.; Yang, S.; Zhang, H.; Ni, Y. Improving salt tolerance and thermal stability of cellulose nanofibrils by grafting modification. Carbohydr. Polym. 2019, 211, 257–265. [Google Scholar] [CrossRef]
- Jia, X.; Zhao, X.; Chen, B.; Egwu, S.; Huang, Z. Polyanionic cellulose/hydrophilic monomer copolymer grafted silica nanocomposites as HTHP drilling fluid-loss control agent for water-based drilling fluids. Appl. Surf. Sci. 2022, 578, 152089. [Google Scholar] [CrossRef]
- Fakher, S.; Khlaifat, A.L. Experimental Investigation of Polymer Injection in High Permeability Conduits for Material Sustainability and Behavior in Oil Reservoirs. Polymers 2023, 15, 2950. [Google Scholar] [CrossRef]








| Mineral Component | Relative Clay Mineral Contents | Ratio of Mixed-Layer | ||
|---|---|---|---|---|
| I/S | It | C | I/S | |
| Mean value | 30.9% | 47.3% | 21.8% | 6.1% |
| Range | 29–36% | 40–68% | 19–23% | 5–8% |
| Numbering | D (mm) | H (mm) | Porosity (%) | Permeability (×10−3 μm2) |
|---|---|---|---|---|
| C1 | 25.12 | 25.08 | 1.38 | 0.01778 |
| C2 | 25.55 | 24.93 | 1.27 | 0.01693 |
| C3 | 24.62 | 25.02 | 1.34 | 0.01916 |
| Loss Pressure Differential (MPa) | Lost Circulation Rate m3/h | Error% | ||
|---|---|---|---|---|
| Actual | Simulation | Single-Point Error | Total Error | |
| 28.43 | 15.8 | 16.45 | 5.1 | 8.5% |
| 26.84 | 12.6 | 13.48 | 11.3 | |
| 29.02 | 17.04 | 16.45 | 6 | |
| 29.37 | 12.8 | 14.9 | 17.2 | |
| 29.45 | 18.3 | 19.91 | 9.3 | |
| 30.23 | 18.8 | 19.89 | 5.3 | |
| 30.54 | 21.5 | 19.83 | 8.1 | |
| 27.35 | 15.8 | 14.32 | 5.6 | |
| Parameter | Taking Values | Parameter | Taking Values | ||
|---|---|---|---|---|---|
| Formation pressure | p0/MPa | 80 | Porosity | 1 | |
| Wellbore pressure | pw/MPa | 95 | Crack index deformation coefficient | 9 × 10−8 | |
| Normal stress | 170 | Crack tortuosity | 1.5 | ||
| Plastic viscosity | /Pa·s | 40 | Initial crack width | /m | 0.5 × 10−4 |
| Dynamic shear force | /Pa | 10 | Radial length of crack | r/m | 10 |
| Consistency coefficient | /Pa·sn | 0.1 | Time step | Δt/s | 0.01 |
| Permeability | Km/10−3 μm2 | 0.5 | Simulation time | t/s | 30 |
| flow behavior index | n | 1 |
Disclaimer/Publisher’s Note: The statements, opinions and data contained in all publications are solely those of the individual author(s) and contributor(s) and not of MDPI and/or the editor(s). MDPI and/or the editor(s) disclaim responsibility for any injury to people or property resulting from any ideas, methods, instructions or products referred to in the content. |
© 2025 by the authors. Licensee MDPI, Basel, Switzerland. This article is an open access article distributed under the terms and conditions of the Creative Commons Attribution (CC BY) license (https://creativecommons.org/licenses/by/4.0/).
Share and Cite
Zang, Y.; Chen, Z.; Wang, Y.; Zhang, Y.; Xu, S.; Xie, J.; Chen, W. Study on the Lost Circulation Mechanism of Polymer-Based Drilling Fluid Systems in Deep Fractured Shale. Polymers 2025, 17, 2929. https://doi.org/10.3390/polym17212929
Zang Y, Chen Z, Wang Y, Zhang Y, Xu S, Xie J, Chen W. Study on the Lost Circulation Mechanism of Polymer-Based Drilling Fluid Systems in Deep Fractured Shale. Polymers. 2025; 17(21):2929. https://doi.org/10.3390/polym17212929
Chicago/Turabian StyleZang, Yanbin, Zengwei Chen, Yi Wang, Yan Zhang, Shengchi Xu, Junyu Xie, and Wei Chen. 2025. "Study on the Lost Circulation Mechanism of Polymer-Based Drilling Fluid Systems in Deep Fractured Shale" Polymers 17, no. 21: 2929. https://doi.org/10.3390/polym17212929
APA StyleZang, Y., Chen, Z., Wang, Y., Zhang, Y., Xu, S., Xie, J., & Chen, W. (2025). Study on the Lost Circulation Mechanism of Polymer-Based Drilling Fluid Systems in Deep Fractured Shale. Polymers, 17(21), 2929. https://doi.org/10.3390/polym17212929

