Effect of the Crosslinker Introduction Stage on the Structure and Properties of Xanthan Gum–Acrylamide Graft Copolymer
Abstract
1. Introduction
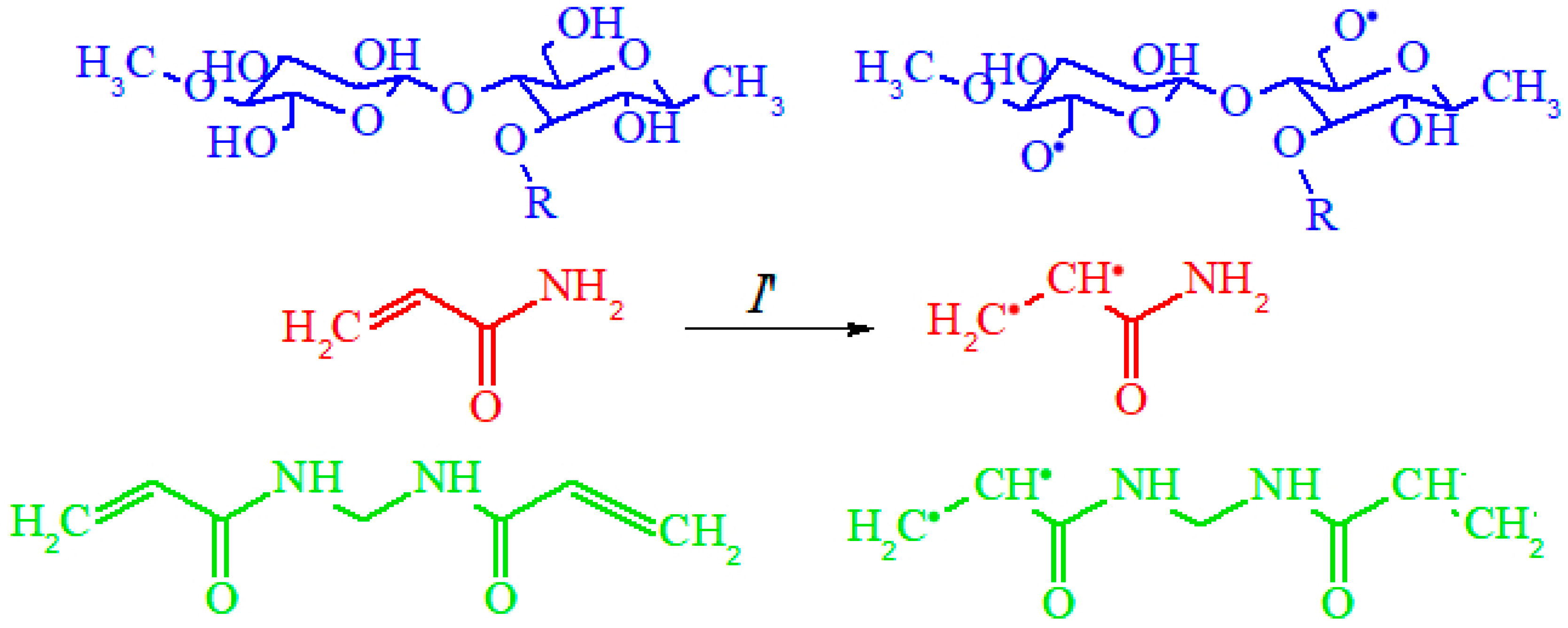
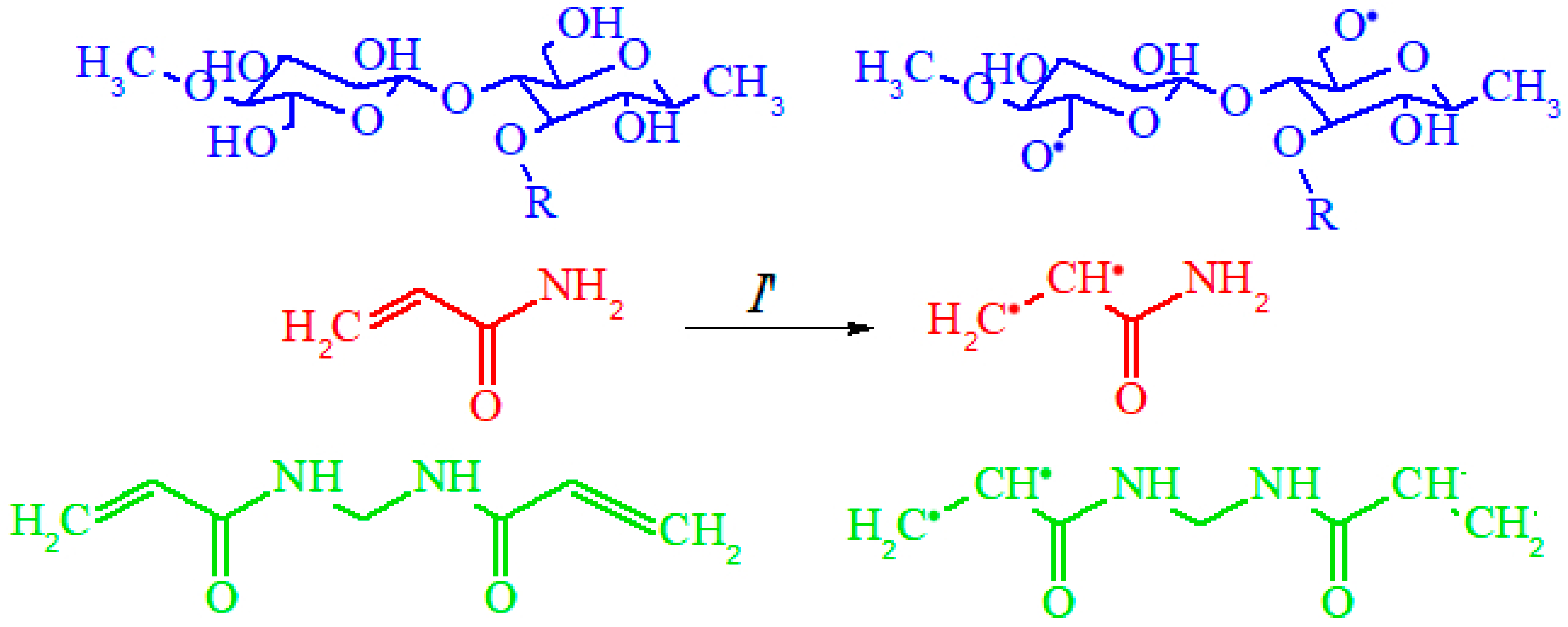
of the main chain, but also by means of a crosslinking bridge from MBA [10,20,31]. Thus, the activation of additional reaction centers leads to a statistical nature of crosslinking and, consequently, to the formation of a spatial network with an uncontrolled architecture.2. Materials and Methods
2.1. Materials
2.2. Preparation of Solutions
2.3. Microwave-Assisted Synthesis of Graft Copolymer
2.4. Research Methods
2.5. Physicochemical Characterization of the Graft Copolymer
3. Results and Discussion
3.1. Parameters of the Synthesized Graft Copolymer
3.2. Characterization of Samples
3.2.1. FTIR Spectroscopy
3.2.2. X-Ray Diffractometry (XRD)
3.2.3. Scanning Electron Microscopy (SEM)
3.3. Sorption Properties
3.3.1. Water Sorption
3.3.2. Methylene Blue Sorption
3.4. Model of the Spatial Architecture of the Graft Copolymer
4. Conclusions
Supplementary Materials
Author Contributions
Funding
Institutional Review Board Statement
Data Availability Statement
Conflicts of Interest
Abbreviations
| XG | Xanthan gum |
| AAm | Acrylamide |
| MBA | N,N-methylenebisacrylamide |
| XG-g-PAAm | Graft-copolymer of xanthan gum with acrylamide |
| MW | Microwave |
References
- Kumar, R.; Sharma, R.K.; Singh, A.P. Grafted cellulose: A bio-based polymer for durable application. Polym. Bull. 2018, 75, 2213–2242. [Google Scholar] [CrossRef]
- Korzhikov-Vlakh, V.; Teterina, P.; Gubina, N.; Dzhuzha, A.; Tennikova, T.; Korzhikova-Vlakh, E. Hyaluronic Acid-Graft-Poly(L-Lysine): Synthesis and Evaluation as a Gene Delivery System. Polysaccharides 2025, 6, 60. [Google Scholar] [CrossRef]
- Sarder, R.; Piner, E.; Rios, D.C.; Chacon, L.; Artner, M.A.; Barrios, N.; Argyropoulos, D. Copolymers of starch, a sustainable template for biomedical applications: A review. Carbohydr. Polym. 2022, 278, 118973. [Google Scholar] [CrossRef] [PubMed]
- Lavlinskaya, M.S.; Mikhaylova, A.A.; Kuznetsov, E.I.; Zhuravlev, I.A.; Balbekov, N.A.; Saranov, I.A.; Sorokin, A.V. Graft Copolymers of Carboxymethyl Cellulose and Poly(N-vinylimidazole) as Promising Carriers for Metronidazole. Polysaccharides 2024, 5, 198–211. [Google Scholar] [CrossRef]
- Sorokin, A.V.; Olshannikova, S.S.; Lavlinskaya, M.S.; Holyavka, M.G.; Faizullin, D.A.; Zuev, Y.F.; Artukhov, V.G. Chitosan Graft Copolymers with N-Vinylimidazole as Promising Matrices for Immobilization of Bromelain, Ficin, and Papain. Polymers 2022, 14, 2279. [Google Scholar] [CrossRef]
- Singh, B.; Sharma, V. Designing galacturonic acid/arabinogalactan crosslinked poly (vinyl pyrrolidone)-co-poly (2-acrylamido-2-methylpropane sulfonic acid) polymers: Synthesis, characterization and drug delivery application. Polymer 2016, 91, 50–61. [Google Scholar] [CrossRef]
- Gohari, R.M.; Safarnia, M.; Koohi, A.D.; Salehi, M.B. Adsorptive removal of cationic dye by synthesized sustainable xanthan gum-g p (AMPS-co-AAm) hydrogel from aqueous media: Optimization by RSM-CCD model. Chem. Eng. Res. Des. 2022, 188, 714–728. [Google Scholar] [CrossRef]
- Kaur, A.; Singh, D.; Sud, D. A review on grafted, crosslinked and composites of biopolymer Xanthan gum for phasing out synthetic dyes and toxic metal ions from aqueous solutions. J. Polym. Res. 2020, 27, 297. [Google Scholar] [CrossRef]
- Kadajji, V.G.; Betageri, G.V. Water soluble polymers for pharmaceutical applications. Polymer 2011, 3, 1972–2009. [Google Scholar] [CrossRef]
- Wang, W.; Wang, A. Synthesis and swelling properties of pH-sensitive semi-IPN superabsorbent hydrogels based on sodium alginate-g-poly (sodium acrylate) and polyvinylpyrrolidone. Carbohydr. Polym. 2010, 80, 1028–1036. [Google Scholar] [CrossRef]
- Chen, X.; Li, P.; Kang, Y.; Zeng, X.; Xie, Y.; Zhang, Y.; Xie, T. Preparation of temperature-sensitive Xanthan/NIPA hydrogel using citric acid as crosslinking agent for bisphenol A adsorption. Carbohydr. Polym. 2019, 206, 94–101. [Google Scholar] [CrossRef] [PubMed]
- Chaudhary, S.; Sharma, J.; Kaith, B.S.; Yadav, S.; Sharma, A.K.; Goel, A. Gum xanthan-psyllium-cl-poly (acrylic acid-co-itaconic acid) based adsorbent for effective removal of cationic and anionic dyes: Adsorption isotherms, kinetics and thermodynamic studies. Ecotoxicol. Environ. Saf. 2018, 149, 150–158. [Google Scholar] [CrossRef] [PubMed]
- Pal, A.; Majumder, K.; Bandyopadhyay, A. Surfactant mediated synthesis of poly (acrylic acid) grafted xanthan gum and its efficient role in adsorption of soluble inorganic mercury from water. Carbohydr. Polym. 2016, 152, 41–50. [Google Scholar] [CrossRef] [PubMed]
- Maji, B.; Maiti, S. Chemical modification of xanthan gum through graft copolymerization: Tailored properties and potential applications in drug delivery and wastewater treatment. Carbohydr. Polym. 2021, 251, 117095. [Google Scholar] [CrossRef]
- Athawale, V.D.; Lele, V. Graft copolymerization onto starch. II. Grafting of acrylic acid and preparation of it’s hydrogels. Carbohydr. Polym. 1998, 35, 21–27. [Google Scholar] [CrossRef]
- Jindal, R.; Kaith, B.S.; Mittal, H. Rapid synthesis of acrylamide onto xanthan gum based hydrogels under microwave radiations for enhanced thermal and chemical modifications. Polym. Renew. Resour. 2011, 2, 105–116. [Google Scholar] [CrossRef]
- Zheng, M.; Lian, F.; Xiong, Y.; Liu, B.; Zhu, Y.; Miao, S.; Zheng, B. The synthesis and characterization of a xanthan gum-acrylamide-trimethylolpropane triglycidyl ether hydrogel. Food Chem. 2019, 272, 574–579. [Google Scholar] [CrossRef]
- Singh, J.; Dhaliwal, A.S. Water retention and controlled release of KCl by using microwave-assisted green synthesis of xanthan gum-cl-poly (acrylic acid)/AgNPs hydrogel nanocomposite. Polym. Bull. 2020, 77, 4867–4893. [Google Scholar] [CrossRef]
- Makhado, E.; Pandey, S.; Ramontja, J. Microwave assisted synthesis of xanthan gum-cl-poly (acrylic acid) based-reduced graphene oxide hydrogel composite for adsorption of methylene blue and methyl violet from aqueous solution. Int. J. Biol. Macromol. 2018, 119, 255–269. [Google Scholar] [CrossRef]
- Jalali, M.A.; Koohi, A.D.; Sheykhan, M. Experimental study of the removal of copper ions using hydrogels of xanthan, 2-acrylamido-2-methyl-1-propane sulfonic acid, montmorillonite: Kinetic and equilibrium study. Carbohydr. Polym. 2016, 142, 124–132. [Google Scholar] [CrossRef]
- Mittal, H.; Jindal, R.; Kaith, B.S.; Berry, S. In vacuo synthesis of xanthan-gum-based hydrogels with different vinyl monomer mixtures and their swelling behaviour in response to external environmental conditions. Polym. Renew. Resour. 2013, 4, 19–34. [Google Scholar] [CrossRef]
- Bhattacharya, S.S.; Mishra, A.; Pal, D.; Ghosh, A.K.; Ghosh, A.; Banerjee, S.; Sen, K.K. Synthesis and characterization of poly (acrylic acid)/poly (vinyl alcohol)-xanthan gum interpenetrating network (IPN) superabsorbent polymeric composites. Polym.-Plast. Technol. Eng. 2012, 51, 878–884. [Google Scholar] [CrossRef]
- Zheng, M.; Lian, F.; Zhu, Y.; Zhang, Y.; Liu, B.; Zhang, L.; Zheng, B. pH-responsive poly (xanthan gum-g-acrylamide-g-acrylic acid) hydrogel: Preparation; characterization; application. Carbohydr. Polym. 2019, 210, 38–46. [Google Scholar] [CrossRef] [PubMed]
- Tang, S.; Gong, Z.; Wang, Z.; Gao, X.; Zhang, X. Multifunctional hydrogels for wound dressings using xanthan gum and polyacrylamide. Int. J. Biol. Macromol. 2022, 217, 944–955. [Google Scholar] [CrossRef]
- Makhado, E.; Pandey, S.; Ramontja, J. Microwave-assisted green synthesis of xanthan gum grafted diethylamino ethyl methacrylate: An efficient adsorption of hexavalent chromium. Carbohydr. Polym. 2019, 222, 114989. [Google Scholar] [CrossRef]
- Anjum, F.; Bukhari, S.A.; Siddique, M.; Shahid, M.; Potgieter, J.H.; Jaafar, H.Z.; Zia-Ul-Haq, M. Microwave Irradiated Copolymerization of Xanthan Gum with Acrylamide for Colonic Drug Delivery. BioResources 2015, 10, 1434–1451. [Google Scholar] [CrossRef]
- Mundargi, R.C.; Patil, S.A.; Aminabhavi, T.M. Evaluation of acrylamide-grafted-xanthan gum copolymer matrix tablets for oral controlled delivery of antihypertensive drugs. Carbohydr. Polym. 2007, 69, 130–141. [Google Scholar] [CrossRef]
- Feng, E.; Ma, G.; Wu, Y.; Wang, H.; Lei, Z. Preparation and properties of organic–inorganic composite superabsorbent based on xanthan gum and loess. Carbohydr. Polym. 2014, 111, 463–468. [Google Scholar] [CrossRef]
- Patel, A. Synthesis of acrylamide grafted xanthan gum by microwave assisted method: Ftir characteristics and acute oral toxicity study. Int. J. Pharm. Sci. 2016, 7, 129–145. [Google Scholar]
- Singh, V.; Kumar, P.; Sanghi, R. Use of microwave irradiation in the grafting modification of the polysaccharides–A review. Prog. Polym. Sci. 2012, 37, 340–364. [Google Scholar] [CrossRef]
- Gils, P.S.; Ray, D.; Sahoo, P.K. Characteristics of xanthan gum-based biodegradable superporous hydrogel. Int. J. Biol. Macromol. 2009, 45, 364–371. [Google Scholar] [CrossRef]
- Pretsch, E.; Bühlmann, P.; Affolter, C.; Pretsch, E.; Bhuhlmann, P.; Affolter, C. Structure Determination of Organic Compounds; Springer: Berlin/Heidelberg, Germany, 2000. [Google Scholar]
- Shipovskaya, A.B.; Shmakov, S.L.; Gegel, N.O. Optical activity anisotropy of chitosan-based films. Carbohydr. Polym. 2019, 206, 476–486. [Google Scholar] [CrossRef]
- Chalykh, A.E.; Petrova, T.F.; Khasbiullin, R.R.; Ozerin, A.N. Water sorption on and water diffusion in chitin and chitosan. Polym. Sci. Ser. A 2014, 56, 614–622. [Google Scholar] [CrossRef]
- Safronov, A.P.; Adamova, L.V.; Kurlyandskaya, G.V. Flory–huggins parameters of guar gum, xanthan gum, agarose, and gellan gum in aqueous solutions. Polym. Sci. Ser. A 2019, 61, 29–38. [Google Scholar] [CrossRef]
- Baker, J.P.; Hong, L.H.; Blanch, H.W.; Prausnitz, J.M. Effect of initial total monomer concentration on the swelling behavior of cationic acrylamide-based hydrogels. Macromolecules 1994, 27, 1446–1454. [Google Scholar] [CrossRef]
- Harrou, A.; Gharibi, E.; Nasri, H.; El Ouahabi, M. Thermodynamics and kinetics of the removal of methylene blue from aqueous solution by raw kaolin. SN Appl. Sci. 2020, 2, 277. [Google Scholar] [CrossRef]
- Ho, Y.S.; McKay, G. Pseudo-second order model for sorption processes. Process Biochem. 1999, 34, 451–465. [Google Scholar] [CrossRef]
- Ho, Y.S.; McKay, G. The kinetics of sorption of basic dyes from aqueous solution by sphagnum moss peat. Can. J. Chem. Eng. 1998, 76, 822–827. [Google Scholar] [CrossRef]
- Khamizov, R.K. A pseudo-second order kinetic equation for sorption processes. Rus. J. Phys. Chem. A 2020, 94, 171–176. [Google Scholar] [CrossRef]
- Schroeder, P.V. Über Erstarrungs-und Quellugserscheinungen von Gelatine. Z. Für Phys. Chem. 1903, 45, 75–117. [Google Scholar] [CrossRef]
- Roldughin, V.I.; Karpenko-Jereb, L.V. On the Schroeder paradox for ion-exchange polymers. Colloid J. 2016, 78, 795–799. [Google Scholar] [CrossRef]










| Sample No. XG-g-PAAm | Volume of AAm Solution, mL | Mass Ratio mXG:mAAm | MBA Introduction Stage | Degree of Grafting G, % |
|---|---|---|---|---|
| 1 | 2 | 0.12:0.8 | ti | 790 ± 40 |
| 2 | tp | 735 ± 70 | ||
| 3 | tf | 610 ± 55 | ||
| 4 | 4 | 0.12:1.6 | ti | 1800 ± 175 |
| 5 | tp | 1690 ± 195 | ||
| 6 | tf | 1655 ± 210 | ||
| 7 | 8 | 0.12:3.2 | ti | 3590 ± 260 |
| 8 | tp | 3350 ± 300 | ||
| 9 | tf | 2880 ± 330 |
| Sample No. XG-g-PAAm | Degree of Crystallinity χ, % | Degree of H2O Sorption | Physical Parameters of Graft Copolymer | |||
|---|---|---|---|---|---|---|
| Liquid Wim, g/g | Vapor Wvap, g/g | ρc, g/cm3 | f | Mc, g/mol | ||
| 1 | 26.5 | 8.14 ± 0.31 | 0.29 | 1.2298 | 0.351 | 700 |
| 2 | 30.5 | 9.45 ± 0.58 | 0.19 | 1.1775 | 0.302 | 1130 |
| 3 | 26.7 | 10.31 ± 0.46 | 0.04 | 1.1039 | 0.277 | 1430 |
| 4 | 29.1 | 10.23 ± 0.69 | 0.20 | 1.2722 | 0.279 | 1320 |
| 5 | 47.9 | 10.71 ± 0.52 | 0.09 | 1.1530 | 0.267 | 1380 |
| 6 | 39.4 | 12.26 ± 0.33 | 0.19 | 1.1588 | 0.233 | 2115 |
| 7 | 24.2 | 12.96 ± 0.67 | 0.18 | 1.1530 | 0.220 | 2230 |
| 8 | 27.7 | 13.17 ± 0.57 | 0.11 | 1.1180 | 0.217 | 2265 |
| 9 | 27.9 | 17.16 ± 0.93 | 0.22 | 1.1131 | 0.167 | 4830 |
| Sample XG-g-PAAm | Qemax *, mg/g | Pseudo-First Order | Pseudo-Second Order | Combined Model | Pseudo-nth Order | QeXG, mg/g | ||||||
|---|---|---|---|---|---|---|---|---|---|---|---|---|
| Qe′max, mg/g | K1∙102, min−1 | R2 | Qe′max, mg/g | K2, g/(mg·min) | R2 | K1∙102, min−1 | K2∙101, g/(mg·min) | K∙102 | n | |||
| 1 | 1.3 | 1.4 | 0.6 | 0.9879 | 1.5 | 0.01 | 0.9962 | 0.6 | ~0 | 0.6 | 0.9 | 11.7 |
| 2 | 1.7 | 1.5 | 0.7 | 0.9487 | 1.8 | 0.01 | 0.9991 | 0.8 | 0.01 | 8.9 | 1.2 | 14.2 |
| 3 | 1.2 | 0.5 | 0.9 | 0.9764 | 1.2 | 0.03 | 0.9995 | 0.2 | 0.30 | 2.6 | 2.0 | 8.5 |
| 4 | 1.5 | 1.4 | 0.8 | 0.9652 | 1.6 | 0.01 | 0.9992 | 0.6 | 0.03 | 0.9 | 1.2 | 29.5 |
| 5 | 1.6 | 1.2 | 0.9 | 0.9709 | 1.6 | 0.02 | 0.9998 | 0.7 | 0.10 | 1.4 | 1.3 | 28.5 |
| 6 | 0.8 | 0.9 | 0.8 | 0.9827 | 1.2 | 0.01 | 0.9524 | 0.6 | ~0 | 0.6 | 0.9 | 14.9 |
| 7 | 1.2 | 0.9 | 0.5 | 0.9517 | 1.2 | 0.01 | 0.9992 | 0.2 | 0.10 | 1.0 | 1.8 | 44.3 |
| 8 | 1.2 | 0.7 | 0.3 | 0.9905 | 1.3 | 0.01 | 0.9992 | 0.2 | 0.04 | 0.6 | 1.4 | 41.4 |
| 9 | 0.6 | 0.8 | 1.0 | 0.9726 | 0.8 | 0.01 | 0.9664 | 0.7 | ~0 | 0.4 | 0.6 | 16.4 |
Disclaimer/Publisher’s Note: The statements, opinions and data contained in all publications are solely those of the individual author(s) and contributor(s) and not of MDPI and/or the editor(s). MDPI and/or the editor(s) disclaim responsibility for any injury to people or property resulting from any ideas, methods, instructions or products referred to in the content. |
© 2025 by the authors. Licensee MDPI, Basel, Switzerland. This article is an open access article distributed under the terms and conditions of the Creative Commons Attribution (CC BY) license (https://creativecommons.org/licenses/by/4.0/).
Share and Cite
Smirnov, A.K.; Pelipenko, D.F.; Shmakov, S.L.; Zakharevich, A.M.; Shipovskaya, A.B. Effect of the Crosslinker Introduction Stage on the Structure and Properties of Xanthan Gum–Acrylamide Graft Copolymer. Polymers 2025, 17, 2841. https://doi.org/10.3390/polym17212841
Smirnov AK, Pelipenko DF, Shmakov SL, Zakharevich AM, Shipovskaya AB. Effect of the Crosslinker Introduction Stage on the Structure and Properties of Xanthan Gum–Acrylamide Graft Copolymer. Polymers. 2025; 17(21):2841. https://doi.org/10.3390/polym17212841
Chicago/Turabian StyleSmirnov, Anton K., Diana F. Pelipenko, Sergei L. Shmakov, Andrey M. Zakharevich, and Anna B. Shipovskaya. 2025. "Effect of the Crosslinker Introduction Stage on the Structure and Properties of Xanthan Gum–Acrylamide Graft Copolymer" Polymers 17, no. 21: 2841. https://doi.org/10.3390/polym17212841
APA StyleSmirnov, A. K., Pelipenko, D. F., Shmakov, S. L., Zakharevich, A. M., & Shipovskaya, A. B. (2025). Effect of the Crosslinker Introduction Stage on the Structure and Properties of Xanthan Gum–Acrylamide Graft Copolymer. Polymers, 17(21), 2841. https://doi.org/10.3390/polym17212841

