Assessing Lemon Peel Waste as a Solid Biofuel: A Study of Its Combustion Behaviour, Kinetics, and Thermodynamics
Abstract
1. Introduction
2. Materials and Methods
2.1. Lemon Peel Collection and Sample Preparation
2.2. Physico-Chemical Characterization
2.2.1. Proximate Analysis
2.2.2. Ultimate Analysis
2.2.3. Fiber Analysis
2.2.4. Higher Heating Value (HHV)
2.3. Structural, Elemental, and Morphological Characterization
2.3.1. Fourier Transform Infrared (FTIR) Spectroscopy
2.3.2. X-Ray Diffraction (XRD) Analysis
2.3.3. X-Ray Fluorescence (XRF) Analysis
2.3.4. Scanning Electron Microscopy (SEM)
2.4. Thermogravimetric Analysis (TGA)
2.5. Kinetic and Thermodynamic Modelling
2.5.1. Kinetic Analysis
2.5.2. Thermodynamic Parameters
3. Results and Discussion
3.1. Fundamental Properties of Lemon Peel
3.2. Structural, Elemental, and Morphological Insights
3.2.1. FTIR Spectroscopy: Functional Group Identification
3.2.2. XRD Analysis: Crystallinity and Mineral Phases
3.2.3. X-Ray Fluorescence (XRF) of Ash
3.2.4. SEM Analysis: Heterogeneous Surface Morphology
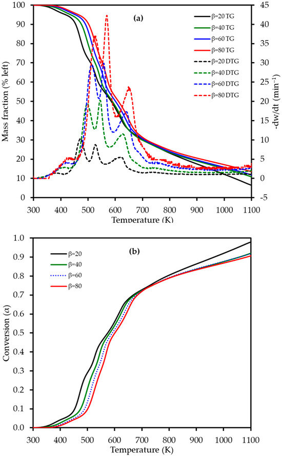
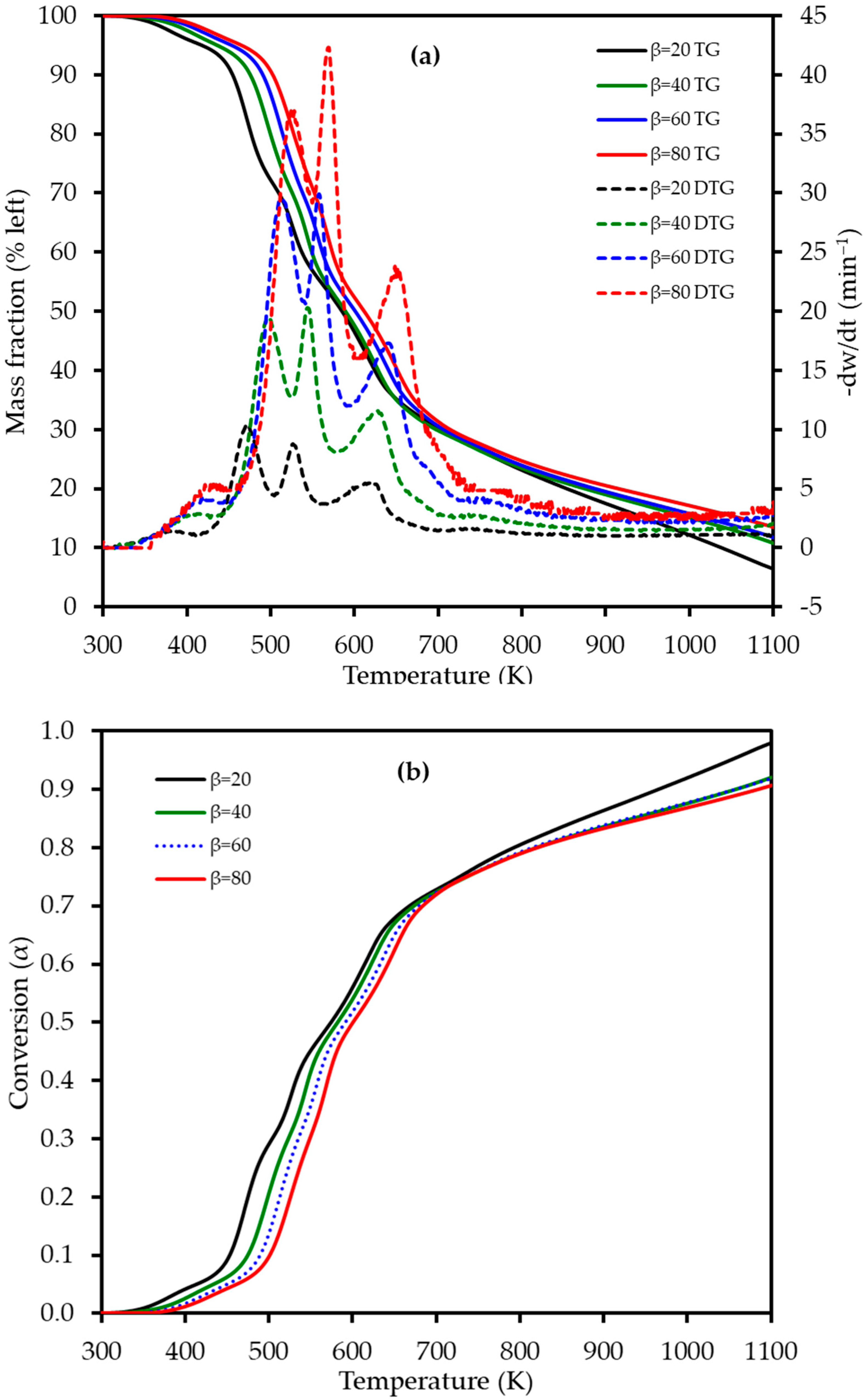
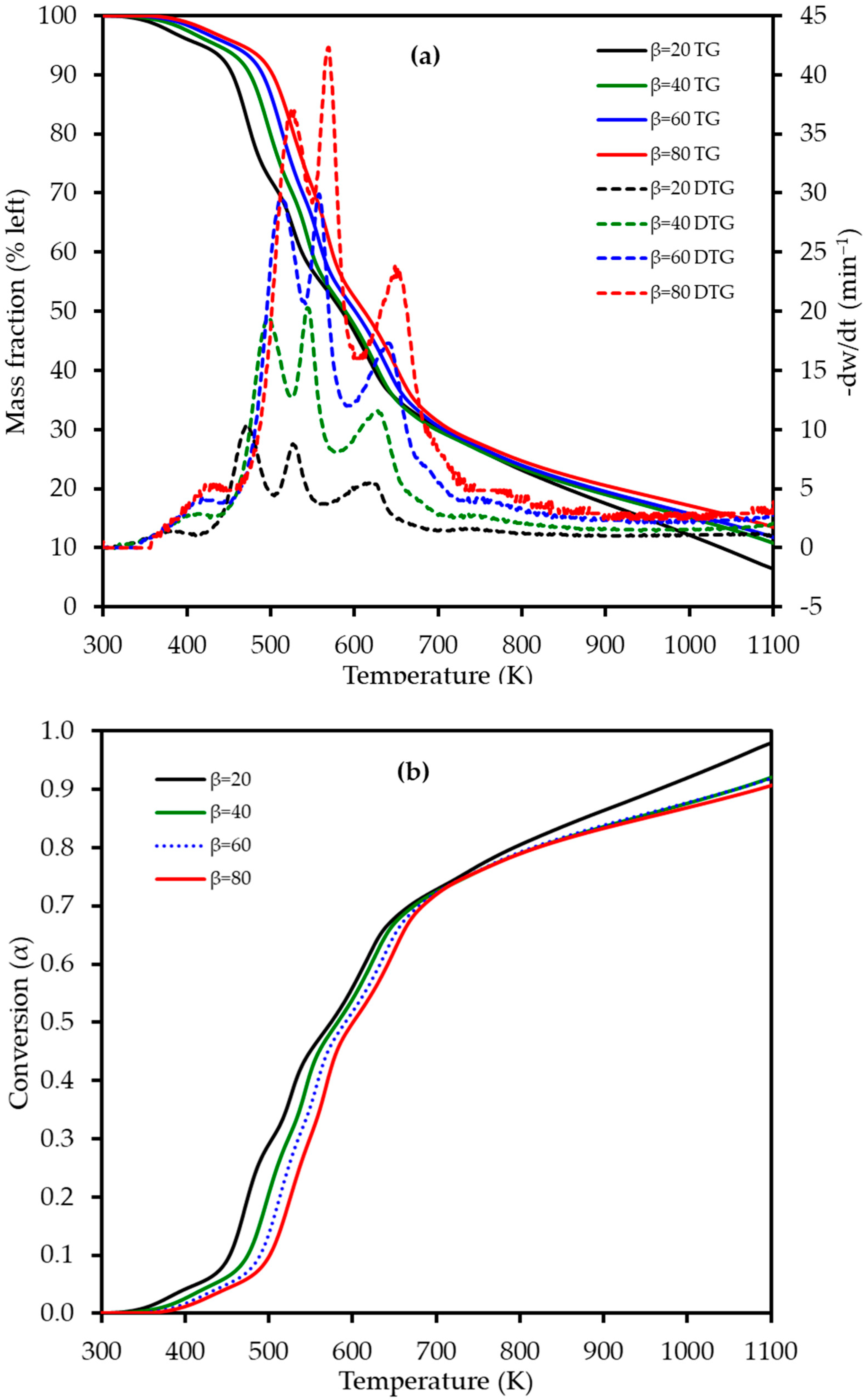
3.3. Combustion Characteristics via TGA
3.4. Kinetic Modelling of Lemon Peel Combustion
3.4.1. Activation Energies from Model-Free Methods
3.4.2. Reaction Mechanism and Kinetic Parameters from CR Method
3.5. Thermodynamic Assessment of Combustion
3.6. Integrated Analysis and Implications for Biofuel Applications
4. Conclusions
Supplementary Materials
Author Contributions
Funding
Institutional Review Board Statement
Data Availability Statement
Conflicts of Interest
References
- Jie, H.; Khan, I.; Alharthi, M.; Zafar, M.W.; Saeed, A. Sustainable Energy Policy, Socio-Economic Development, and Ecological Footprint: The Economic Significance of Natural Resources, Population Growth, and Industrial Development. Util. Policy 2023, 81, 101490. [Google Scholar] [CrossRef]
- Demirbaş, A. Biomass Resource Facilities and Biomass Conversion Processing for Fuels and Chemicals. Energy Convers. Manag. 2001, 42, 1357–1378. [Google Scholar] [CrossRef]
- Sharma, A.; Jyoti, A.; More, A.; Gunjal, M.; Rasane, P.; Kumar, M.; Kaur, S.; Ercisli, S.; Gurumayum, S.; Singh, J. Harnessing Fruit and Vegetable Waste for Biofuel Production: Advances and Scope for Future Development. eFood 2025, 6, e70051. [Google Scholar] [CrossRef]
- Canché-Escamilla, G.; Guin-Aguillón, L.; Duarte-Aranda, S.; Barahona-Pérez, F. Characterization of Bio-Oil and Biochar Obtained by Pyrolysis at High Temperatures from the Lignocellulosic Biomass of the Henequen Plant. J. Mater. Cycles Waste Manag. 2022, 24, 751–762. [Google Scholar] [CrossRef]
- Kumar, H.; Guleria, S.; Kimta, N.; Nepovimova, E.; Dhanjal, D.S.; Sethi, N.; Suthar, T.; Shaikh, A.M.; Bela, K.; Harsányi, E. Applications of Citrus Peels Valorisation in Circular Bioeconomy. J. Agric. Food Res. 2025, 20, 101780. [Google Scholar] [CrossRef]
- Suri, S.; Singh, A.; Nema, P.K. Current Applications of Citrus Fruit Processing Waste: A Scientific Outlook. Appl. Food Res. 2022, 2, 100050. [Google Scholar] [CrossRef]
- Mahato, N.; Sharma, K.; Sinha, M.; Baral, E.R.; Koteswararao, R.; Dhyani, A.; Hwan Cho, M.; Cho, S. Bio-Sorbents, Industrially Important Chemicals and Novel Materials from Citrus Processing Waste as a Sustainable and Renewable Bioresource: A Review. J. Adv. Res. 2020, 23, 61–82. [Google Scholar] [CrossRef] [PubMed]
- Meydanju, N.; Pirsa, S.; Farzi, J. Biodegradable Film Based on Lemon Peel Powder Containing Xanthan Gum and TiO2–Ag Nanoparticles: Investigation of Physicochemical and Antibacterial Properties. Polym. Test. 2022, 106, 107445. [Google Scholar] [CrossRef]
- Sivalingam, A.; Perumal Venkatesan, E.; Roberts, K.L.; Asif, M. Potential Effect of Lemon Peel Oil with Novel Eco-Friendly and Biodegradable Emulsion in Un-Modified Diesel Engine. ACS Omega 2023, 8, 18566–18581. [Google Scholar] [CrossRef]
- Zema, D.A.; Calabrò, P.S.; Folino, A.; Tamburino, V.; Zappia, G.; Zimbone, S.M. Valorisation of Citrus Processing Waste: A Review. Waste Manage. 2018, 80, 252–273. [Google Scholar] [CrossRef]
- Negro, V.; Ruggeri, B.; Fino, D. Recovery of Energy from Orange Peels Through Anaerobic Digestion and Pyrolysis Processes after D-Limonene Extraction. Waste Biomass Valor. 2018, 9, 1331–1337. [Google Scholar] [CrossRef]
- Sharma, K.; Mahato, N.; Lee, Y.R. Extraction, Characterization and Biological Activity of Citrus Flavonoids. Rev. Chem. Eng. 2019, 35, 265–284. [Google Scholar] [CrossRef]
- Alvarez, J.; Hooshdaran, B.; Cortazar, M.; Amutio, M.; Lopez, G.; Freire, F.B.; Haghshenasfard, M.; Hosseini, S.H.; Olazar, M. Valorization of Citrus Wastes by Fast Pyrolysis in a Conical Spouted Bed Reactor. Fuel 2018, 224, 111–120. [Google Scholar] [CrossRef]
- Pathak, P.D.; Mandavgane, S.A.; Kulkarni, B.D. Fruit Peel Waste:Characterization and Its Potential Uses. Curr. Sci. 2017, 113, 444. [Google Scholar] [CrossRef]
- Siles, J.A.; Vargas, F.; Gutiérrez, M.C.; Chica, A.F.; Martín, M.A. Integral Valorisation of Waste Orange Peel Using Combustion, Biomethanisation and Co-Composting Technologies. Bioresour. Technol. 2016, 211, 173–182. [Google Scholar] [CrossRef]
- Abidi, S.; Trabelsi, A.B.H.; Boudhrioua, N. Pyrolysis of Lemon Peel Waste in a Fixed-Bed Reactor and Characterization of Innovative Pyrolytic Products. J. Mater. Cycles Waste Manag. 2023, 25, 235–248. [Google Scholar] [CrossRef]
- Yaradoddi, J.S.; Banapurmath, N.R.; Ganachari, S.V.; Soudagar, M.E.M.; Sajjan, A.M.; Kamat, S.; Mujtaba, M.A.; Shettar, A.S.; Anqi, A.E.; Safaei, M.R.; et al. Bio-Based Material from Fruit Waste of Orange Peel for Industrial Applications. J. Mater. Res. Technol. 2022, 17, 3186–3197. [Google Scholar] [CrossRef]
- Selvarajoo, A.; Wong, Y.L.; Khoo, K.S.; Chen, W.-H.; Show, P.L. Biochar Production via Pyrolysis of Citrus Peel Fruit Waste as a Potential Usage as Solid Biofuel. Chemosphere 2022, 294, 133671. [Google Scholar] [CrossRef] [PubMed]
- Daffalla, S.; Da’na, E.; Taha, A.; El-Aassar, M.R. Synthesis of a Novel Magnetic Biochar from Lemon Peels via Impregnation-Pyrolysis for the Removal of Methyl Orange from Wastewater. Magnetochemistry 2024, 10, 95. [Google Scholar] [CrossRef]
- Consoli, S.; Caggia, C.; Russo, N.; Randazzo, C.L.; Continella, A.; Modica, G.; Cacciola, S.O.; Faino, L.; Reverberi, M.; Baglieri, A.; et al. Sustainable Use of Citrus Waste as Organic Amendment in Orange Orchards. Sustainability 2023, 15, 2482. [Google Scholar] [CrossRef]
- Muhammad, F.; Nisar, J.; Ali, G.; Anwar, F.; Hussain, S.T.; Khan, S.W. Improved Bio-Oil Yield from Thermo-Catalytic Pyrolysis of Citrus Limetta Waste over Pumice: Determination of Kinetic Parameters Using Kissinger Method. Bioresour. Technol. Rep. 2023, 24, 101635. [Google Scholar] [CrossRef]
- Ismail, M.A.; Dubdub, I.; Mousa, S.; Albin Zaid, Z.A.A.; Alfaiad, M.A. Characterization, Combustion Behaviour, and Kinetic and Thermodynamic Modelling of Mango Peel as a Potential Biomass Feedstock. Polymers 2025, 17, 1799. [Google Scholar] [CrossRef]
- Mousa, S.; Dubdub, I.; Alfaiad, M.A.; Younes, M.Y.; Ismail, M.A. Characterization and Kinetic Study of Agricultural Biomass Orange Peel Waste Combustion Using TGA Data. Polymers 2025, 17, 1113. [Google Scholar] [CrossRef]
- Vyazovkin, S.; Chrissafis, K.; Di Lorenzo, M.L.; Koga, N.; Pijolat, M.; Roduit, B.; Sbirrazzuoli, N.; Suñol, J.J. ICTAC Kinetics Committee Recommendations for Collecting Experimental Thermal Analysis Data for Kinetic Computations. Thermochim. Acta 2014, 590, 1–23. [Google Scholar] [CrossRef]
- Racero-Galaraga, D.; Rhenals-Julio, J.D.; Sofan-German, S.; Mendoza, J.M.; Bula-Silvera, A. Proximate Analysis in Biomass: Standards, Applications and Key Characteristics. Results Chem. 2024, 12, 101886. [Google Scholar] [CrossRef]
- Alhulaybi, Z.A.; Dubdub, I. Kinetics Study of PVA Polymer by Model-Free and Model-Fitting Methods Using TGA. Polymers 2024, 16, 629. [Google Scholar] [CrossRef] [PubMed]
- Drozin, D.; Sozykin, S.; Ivanova, N.; Olenchikova, T.; Krupnova, T.; Krupina, N.; Avdin, V. Kinetic Calculation: Software Tool for Determining the Kinetic Parameters of the Thermal Decomposition Process Using the Vyazovkin Method. SoftwareX 2020, 11, 100359. [Google Scholar] [CrossRef]
- García, R.; Pizarro, C.; Lavín, A.G.; Bueno, J.L. Biomass Proximate Analysis Using Thermogravimetry. Bioresour. Technol. 2013, 139, 1–4. [Google Scholar] [CrossRef]
- Obernberger, I.; Brunner, T.; Bärnthaler, G. Chemical Properties of Solid Biofuels—Significance and Impact. Biomass Bioenergy 2006, 30, 973–982. [Google Scholar] [CrossRef]
- Vassilev, S.V.; Baxter, D.; Vassileva, C.G. An Overview of the Behaviour of Biomass during Combustion: Part I. Phase-Mineral Transformations of Organic and Inorganic Matter. Fuel 2013, 112, 391–449. [Google Scholar] [CrossRef]
- Vassilev, S.V.; Baxter, D.; Andersen, L.K.; Vassileva, C.G. An Overview of the Chemical Composition of Biomass. Fuel 2010, 89, 913–933. [Google Scholar] [CrossRef]
- Boluda-Aguilar, M.; López-Gómez, A. Production of Bioethanol by Fermentation of Lemon (Citrus limon L.) Peel Wastes Pretreated with Steam Explosion. Ind. Crops Prod. 2013, 41, 188–197. [Google Scholar] [CrossRef]
- Yousef, S.; Eimontas, J.; Striūgas, N.; Mohamed, A.; Ali Abdelnaby, M. Pyrolysis Kinetic Behavior and Thermodynamic Analysis of PET Nonwoven Fabric. Materials 2023, 16, 6079. [Google Scholar] [CrossRef] [PubMed]
- Tariq, R.; Mohd Zaifullizan, Y.; Salema, A.A.; Abdulatif, A.; Ken, L.S. Co-Pyrolysis and Co-Combustion of Orange Peel and Biomass Blends: Kinetics, Thermodynamic, and ANN Application. Renew. Energy 2022, 198, 399–414. [Google Scholar] [CrossRef]









| Analysis/Property | Parameter | Value |
|---|---|---|
| Proximate Analysis | ||
| Moisture Content | 9.73 ± 0.02 | |
| Volatile Matter | 73.20 ± 0.11 | |
| Ash | 5.30 ± 0.03 | |
| Fixed Carbon a | 11.70 ± 0.10 | |
| Ultimate Analysis (dry basis) | ||
| Carbon (C) | 54.09 ± 0.16 | |
| Hydrogen (H) | 4.95 ± 0.03 | |
| Nitrogen (N) | 1.26 ± 0.03 | |
| Sulfur (S) | 0.20 ± 0.04 | |
| Oxygen (O) b | 34.20 ± 0.18 | |
| Heating Value (MJ kg−1) | 23.02 ± 0.05 | |
| Fiber Fraction (dry basis) | ||
| Hemicellulose | 0.73 ± 0.05 | |
| Cellulose | 10.49 ± 0.35 | |
| Lignin | 0.78 ± 0.11 |
| Component | Oxide (wt%) | Elemental (wt%) |
|---|---|---|
| K2O | 34.75 | K: 28.85 |
| CaO | 31.51 | Ca: 22.52 |
| SiO2 | 10.78 | Si: 5.04 |
| Al2O3 | 6.86 | Al: 3.63 |
| Cl | 5.24 | Cl: 5.24 |
| SO3 | 4.25 | S: 1.70 |
| P2O5 | 2.77 | P: 1.21 |
| Fe2O3 | 1.5 | Fe: 1.05 |
| Others | <1.0 | <1.0 |
| Heating Rate (K min−1) | 1st Reaction | 2nd Reaction | 3rd Reaction | 4th Reaction | ||||||||
|---|---|---|---|---|---|---|---|---|---|---|---|---|
| T Range, T Peak (K) | Weight Loss % | Process | T Range, T Peak (K) | Weight Loss % | Process | T Range, T Peak (K) | Weight Loss % | Process | T Range, T Peak (K) | Weight Loss % | Process | |
| 20 | 340–410, 380 | 5 | dehydration | 410–505, 470 | 25 | Pectin/Hemicellulose degradation | 505–565, 528 | 18 | Cellulose degradation | 565–700, 622 | 26 | Lignin degradation |
| 40 | 340–430, 410 | 5 | dehydration | 430–525, 495 | 25 | Pectin/Hemicellulose degradation | 525–580, 545 | 20 | Cellulose degradation | 580–700, 628 | 22 | Lignin degradation |
| 60 | 340–440, 420 | 4 | dehydration | 440–540, 510 | 27 | Pectin/Hemicellulose degradation | 540–590, 558 | 19 | Cellulose degradation | 590–720 640 | 24 | Lignin degradation |
| 80 | 340–460, 430 | 5 | dehydration | 460–550, 528 | 25 | Pectin/Hemicellulose degradation | 550–610, 570 | 21 | Cellulose degradation | 610–740, 650 | 24 | Lignin degradation |
| Conversion | FR | FWO | KAS | STK | K | VY | Average b | |||||||
|---|---|---|---|---|---|---|---|---|---|---|---|---|---|---|
| E (kJ mol) | R2 | E (kJ/mol) | R2 | E (kJ/mol) | R2 | E (kJ/mol) | R2 | E (kJ/mol) | R2 | E (kJ/mol) | R2 | E (kJ/mol) | R2 | |
| 0.1 | 51 | 0.9982 | 52 | 0.999 | 47 | 0.9984 | 47 | 0.9985 | 55 | 0.999 | 29 | NA a | 50 | 0.9986 |
| 0.2 | 54 | 0.9949 | 54 | 0.9991 | 49 | 0.9986 | 49 | 0.9987 | 57 | 0.9991 | 46 | NA | 53 | 0.9981 |
| 0.3 | 100 | 0.9765 | 70 | 0.9909 | 64 | 0.9879 | 64 | 0.9881 | 73 | 0.9909 | 47 | NA | 74 | 0.9869 |
| 0.4 | 110 | 0.9737 | 88 | 0.9833 | 84 | 0.9792 | 84 | 0.9793 | 93 | 0.9833 | 48 | NA | 92 | 0.9798 |
| 0.5 | 154 | 0.9329 | 141 | 0.9451 | 139 | 0.9374 | 139 | 0.9377 | 148 | 0.9451 | 72 | NA | 144 | 0.9396 |
| 0.6 | 163 | 0.9476 | 151 | 0.94 | 149 | 0.9317 | 149 | 0.9321 | 159 | 0.94 | 141 | NA | 154 | 0.9383 |
| 0.7 | 396 | 0.9777 | 313 | 0.9596 | 318 | 0.9568 | 318 | 0.9569 | 329 | 0.9596 | 148 | NA | 335 | 0.9621 |
| 0.8 | 161 | 0.6561 | 209 | 0.769 | 207 | 0.7459 | 207 | 0.7469 | 220 | 0.769 | 163 | NA | 201 | 0.7374 |
| 0.9 | 67 | 0.8103 | 90 | 0.8917 | 77 | 0.8479 | 78 | 0.8501 | 94 | 0.8917 | 177 | NA | 81 | 0.8583 |
| Average | 140 | 0.9187 | 130 | 0.9420 | 126 | 0.9315 | 126 | 0.9320 | 136 | 0.9420 | 97 | NA | 132 | 0.9332 |
| α | FR | FWO | ||||||||
| R2 | A0, min−1 | ΔH (kJ mol−1) | ΔG (kJ mol−1) | ΔS (kJ mol−1 K−1) | R2 | A0, min−1 | ΔH (kJ mol−1) | ΔG (kJ mol−1) | ΔS (kJ mol−1 K−1) | |
| 0.1 | 0.9982 | 9.75 × 102 | 47.51 | 131.03 | −0.19886 | 0.999 | 1.71 × 109 | 48.51 | 81.82 | −0.07931 |
| 0.2 | 0.9949 | 5.16 × 103 | 49.84 | 143.07 | −0.18646 | 0.9991 | 6.42 × 109 | 49.84 | 84.73 | −0.06977 |
| 0.3 | 0.9765 | 9.93 × 107 | 95.43 | 153.30 | −0.10522 | 0.9909 | 2.09 × 1011 | 65.43 | 88.32 | −0.04162 |
| 0.4 | 0.9737 | 8.28 × 108 | 105.43 | 153.60 | −0.08759 | 0.9833 | 1.29 × 1013 | 83.43 | 87.45 | −0.00731 |
| 0.5 | 0.9329 | 9.36 × 1011 | 149.43 | 165.45 | −0.02914 | 0.9451 | 3.62 × 1017 | 136.43 | 93.63 | 0.07781 |
| 0.6 | 0.9476 | 1.52 × 1012 | 158.43 | 172.24 | −0.02511 | 0.94 | 5.92 × 1017 | 146.43 | 101.37 | 0.081914 |
| 0.7 | 0.9777 | 1.02 × 1029 | 390.60 | 198.42 | 0.295663 | 0.9596 | 7.28 × 1029 | 307.60 | 104.82 | 0.311969 |
| 0.8 | 0.6561 | 4.03 × 108 | 155.60 | 217.32 | −0.09496 | 0.769 | 9.27 × 1018 | 203.60 | 136.39 | 0.103394 |
| 0.9 | 0.8103 | 7.26 × 101 | 61.60 | 207.25 | −0.22408 | 0.8917 | 1.32 × 1010 | 84.60 | 127.47 | −0.06596 |
| α | KAS | STK | ||||||||
| R2 | A0, min−1 | ΔH (kJ mol−1) | ΔG (kJ mol−1) | ΔS (kJ mol−1 K−1) | R2 | A0, min−1 | ΔH (kJ mol−1) | ΔG (kJ mol−1) | ΔS (kJ mol−1 K−1) | |
| 0.1 | 0.9984 | 1.75 × 102 | 43.51 | 133.02 | −0.21313 | 0.9985 | 9.72 × 100 | 43.51 | 143.12 | −0.23717 |
| 0.2 | 0.9986 | 6.46 × 102 | 44.84 | 146.71 | −0.20373 | 0.9987 | 3.31 × 101 | 44.84 | 159.06 | −0.22842 |
| 0.3 | 0.9879 | 3.21 × 104 | 59.43 | 154.06 | −0.17206 | 0.9881 | 9.68 × 102 | 59.43 | 170.07 | −0.20116 |
| 0.4 | 0.9792 | 2.99 × 106 | 79.43 | 153.33 | −0.13436 | 0.9793 | 5.25 × 104 | 79.43 | 171.80 | −0.16796 |
| 0.5 | 0.9374 | 1.94 × 1011 | 134.43 | 157.64 | −0.04221 | 0.9377 | 1.25 × 109 | 134.43 | 180.70 | −0.08414 |
| 0.6 | 0.9317 | 3.20 × 1011 | 144.43 | 165.37 | −0.03807 | 0.9321 | 1.81 × 109 | 144.43 | 189.04 | −0.08111 |
| 0.7 | 0.9568 | 1.50 × 1024 | 312.60 | 180.56 | 0.203126 | 0.9569 | 8.50 × 1016 | 312.60 | 270.74 | 0.064388 |
| 0.8 | 0.7459 | 5.84 × 1012 | 201.60 | 211.55 | −0.01531 | 0.7469 | 1.74 × 1010 | 201.60 | 242.97 | −0.06365 |
| 0.9 | 0.8479 | 8.47 × 103 | 71.60 | 191.53 | −0.18451 | 0.8501 | 5.17 × 101 | 72.60 | 220.08 | −0.2269 |
| α | K | |||||||||
| R2 | A0, min−1 | ΔH (kJ mol−1) | ΔG (kJ mol−1) | ΔS (kJ mol−1 K−1) | ||||||
| 0.1 | 0.999 | 1.63 × 106 | 51.51 | 109.11 | −0.13714 | |||||
| 0.2 | 0.9991 | 1.08 × 106 | 52.84 | 123.87 | −0.14205 | |||||
| 0.3 | 0.9909 | 2.38 × 107 | 68.43 | 132.84 | −0.11711 | |||||
| 0.4 | 0.9833 | 1.21 × 109 | 88.43 | 134.87 | −0.08444 | |||||
| 0.5 | 0.9451 | 3.96 × 1013 | 143.43 | 142.34 | 0.001986 | |||||
| 0.6 | 0.94 | 3.40 × 1013 | 154.43 | 154.03 | 0.000728 | |||||
| 0.7 | 0.9596 | 1.14 × 1026 | 323.60 | 168.18 | 0.239099 | |||||
| 0.8 | 0.769 | 4.10 × 1014 | 214.60 | 201.58 | 0.02003 | |||||
| 0.9 | 0.8917 | 6.45 × 104 | 88.60 | 197.56 | −0.16763 | |||||
Disclaimer/Publisher’s Note: The statements, opinions and data contained in all publications are solely those of the individual author(s) and contributor(s) and not of MDPI and/or the editor(s). MDPI and/or the editor(s) disclaim responsibility for any injury to people or property resulting from any ideas, methods, instructions or products referred to in the content. |
© 2025 by the authors. Licensee MDPI, Basel, Switzerland. This article is an open access article distributed under the terms and conditions of the Creative Commons Attribution (CC BY) license (https://creativecommons.org/licenses/by/4.0/).
Share and Cite
Ismail, M.A.; Dubdub, I.; Mousa, S.; Al-Yaari, M.; Alfaiad, M.A.; Alshehab, A. Assessing Lemon Peel Waste as a Solid Biofuel: A Study of Its Combustion Behaviour, Kinetics, and Thermodynamics. Polymers 2025, 17, 2830. https://doi.org/10.3390/polym17212830
Ismail MA, Dubdub I, Mousa S, Al-Yaari M, Alfaiad MA, Alshehab A. Assessing Lemon Peel Waste as a Solid Biofuel: A Study of Its Combustion Behaviour, Kinetics, and Thermodynamics. Polymers. 2025; 17(21):2830. https://doi.org/10.3390/polym17212830
Chicago/Turabian StyleIsmail, Mohamed Anwar, Ibrahim Dubdub, Suleiman Mousa, Mohammed Al-Yaari, Majdi Ameen Alfaiad, and Abdullah Alshehab. 2025. "Assessing Lemon Peel Waste as a Solid Biofuel: A Study of Its Combustion Behaviour, Kinetics, and Thermodynamics" Polymers 17, no. 21: 2830. https://doi.org/10.3390/polym17212830
APA StyleIsmail, M. A., Dubdub, I., Mousa, S., Al-Yaari, M., Alfaiad, M. A., & Alshehab, A. (2025). Assessing Lemon Peel Waste as a Solid Biofuel: A Study of Its Combustion Behaviour, Kinetics, and Thermodynamics. Polymers, 17(21), 2830. https://doi.org/10.3390/polym17212830

