Novel Co-Polyamides Containing Pendant Phenyl/Pyridinyl Groups with Potential Application in Water Desalination Processes
Abstract
1. Introduction
2. Materials and Experimental Methodology
2.1. Materials
2.2. Monomer Synthesis
2.3. Polymer Synthesis
2.4. Preparation of Co-Polyamide Films
2.5. Preparation of Nonwoven Polyester/Co-Polyamide Membranes
2.6. Characterization Techniques
2.6.1. Spectroscopic Characterization
2.6.2. Molecular Weights
2.6.3. Mass Density
2.6.4. Mechanical Properties
2.6.5. Thermal Properties
2.6.6. Surface Properties of Membranes
2.6.7. Water Flux and Salt Rejection
3. Results and Discussion
3.1. Synthesis and Spectroscopy Characterization of Monomers
3.2. Synthesis and Structural Characterization of Co-Polyamides
3.3. Molecular Weights, Density, and Solubility of Co-Polyamides
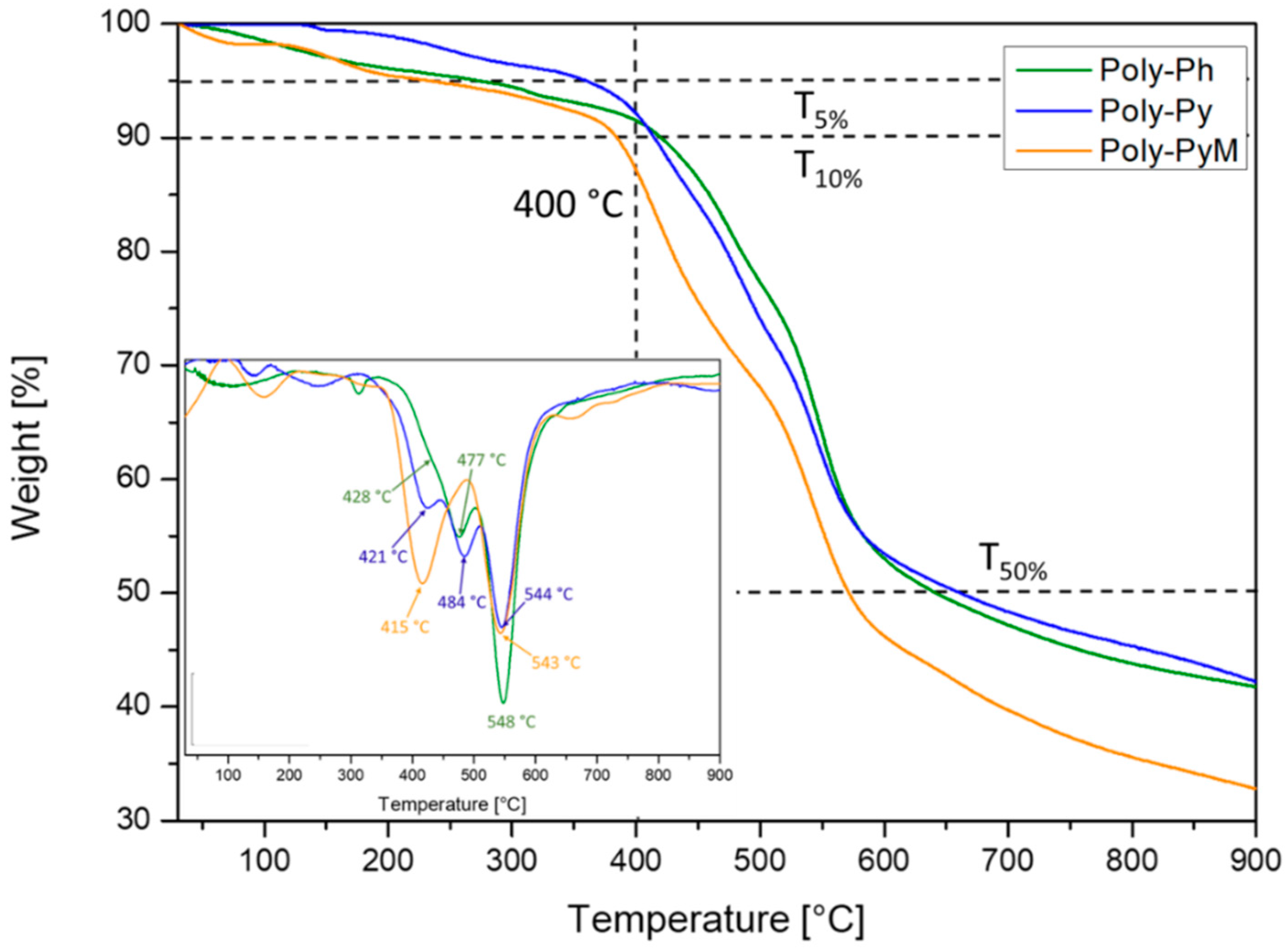
3.4. Thermal Properties of Co-Polyamides
3.5. Mechanical Properties of Co-Polyamides
3.6. Surface Microscopy of Membranes
3.7. Hydrophilic Properties of the Membrane Surface
3.8. Evaluation of Membranes Performance
4. Conclusions
Supplementary Materials
Author Contributions
Funding
Institutional Review Board Statement
Data Availability Statement
Acknowledgments
Conflicts of Interest
References
- Barbier, E.B.; Burgess, J.C. Economics of Water Scarcity and Efficiency. Sustainability 2024, 16, 8550. [Google Scholar] [CrossRef]
- Guo, Q.; Hasani, H. Assessing the impact of water scarcity on thermoelectric and hydroelectric potential and electricity price under climate change: Implications for future energy management. Heliyon 2024, 10, e36870. [Google Scholar] [CrossRef] [PubMed]
- Karimi, M.; Tabiee, M.; Karami, S.; Karimi, V.; Karamidehkordi, E. Climate change and water scarcity impacts on sustainability in semi-arid areas: Lessons from the South of Iran. Groundw. Sustain. Dev. 2024, 24, 101075. [Google Scholar] [CrossRef]
- Ali, I.; Hasan, S.Z.; Garcia, H.; Danquah, M.K.; Imanova, G. Recent advances in graphene-based nano-membranes for desalination. Chem. Eng. J. 2024, 483, 149108. [Google Scholar] [CrossRef]
- Bonyadi, E.; Niknejad, A.S.; Ashtiani, F.Z.; Bazgir, S.; Kargari, A. A well-designed polystyrene/polycarbonate membrane for highly saline water desalination using DCMD process. Desalination 2022, 528, 115604. [Google Scholar] [CrossRef]
- Namdari, M.; Ashtiani, F.Z.; Bonyadi, E. Development of a high flux Janus PVDF membrane for oily saline water desalination by membrane distillation via PDA-TEOS-APTES surface modification. Desalination 2024, 572, 117139. [Google Scholar] [CrossRef]
- Honarparvar, S.; Zhang, X.; Chen, T.; Alborzi, A.; Afroz, K.; Reible, D. Frontiers of Membrane Desalination Processes for Brackish Water Treatment: A Review. Membranes 2021, 11, 246. [Google Scholar] [CrossRef]
- Lau, W.J.; Gray, S.; Matsuura, T.; Emadzadeh, D.; Chen, J.P.; Ismail, A.F. A review on polyamide thin film nanocomposite (TFN) membranes: History, applications, challenges and approaches. Water Res. 2015, 80, 306. [Google Scholar] [CrossRef]
- Miller, D.J.; Dreyer, D.R.; Bielawski, C.W.; Paul, D.R.; Freeman, B.D. Surface Modification of Water Purification Membranes. Angew. Chem. Int. Ed. 2017, 56, 4631. [Google Scholar] [CrossRef]
- Zhang, R.; Liu, Y.; He, M.; Su, Y.; Zhao, X.; Elimelechc, M.; Jiang, Z. Antifouling membranes for sustainable water purification: Strategies and mechanisms. Chem. Soc. Rev. 2016, 45, 5888. [Google Scholar] [CrossRef]
- Verbeke, R.; Gómez, V.; Vankelecom, I.F.J. Chlorine-resistance of reverse osmosis (RO) polyamide membranes. Prog. Polym. Sci. 2017, 72, 1–15. [Google Scholar] [CrossRef]
- Gohil, J.M.; Suresh, A.K. Chlorine attack on reverse osmosis membranes: Mechanisms and mitigation strategies. J. Membr. Sci. 2017, 541, 108. [Google Scholar] [CrossRef]
- Gu, B.; Kondic, L.; Cummings, L.J. Network-based membrane filters: Influence of network and pore size variability on filtration performance. J. Membr. Sci. 2022, 657, 120668. [Google Scholar] [CrossRef]
- Xu, F.; Wei, M.; Zhang, X.; Song, Y.; Zhou, W.; Wang, Y. How Pore Hydrophilicity Influences Water Permeability? Research 2019, 2019, 2581241. [Google Scholar] [CrossRef] [PubMed]
- Xua, Q.; Yang, Y.; Wanga, X.; Wanga, Z.; Jina, W.; Huanga, J.; Wang, Y. Atomic layer deposition of alumina on porous polytetrafluoroethylene membranes for enhanced hydrophilicity and separation performances. J. Membr. Sci. 2012, 415–416, 435–443. [Google Scholar] [CrossRef]
- Yan, F.; Chen, H.; Lu, Y.; Lu, Z.; Yu, S.; Liu, M.; Gao, C. Improving the water permeability and antifouling property of thin-film composite polyamide nanofiltration membrane by modifying the active layer with triethanolamine. J. Membr. Sci. 2016, 513, 108. [Google Scholar] [CrossRef]
- Sun, H.; Du, Y.; Gao, C.; Iftikhar; Long, J.; Li, S.; Zhao, L. Pressure-assisted in-depth hydrophilic tailoring of porous membranes achieving high water permeability, excellent fouling resistance and superior antimicrobial ability. J. Membr. Sci. 2020, 604, 118071. [Google Scholar] [CrossRef]
- Freger, V.; Ramon, G.Z. Polyamide desalination membranes: Formation, structure, and properties. Prog. Polym. Sci. 2021, 122, 101451. [Google Scholar] [CrossRef]
- Cadotte, J.E. Interfacially Synthesized Reverse Osmosis Membrane. U.S. Patent 4,277,344, 7 July 1981. [Google Scholar]
- Zhao, L.; Winston Ho, W.S. Novel reverse osmosis membranes incorporated with a hydrophilic additive for seawater desalination. J. Membr. Sci. 2014, 455, 44. [Google Scholar] [CrossRef]
- Hailemariam, R.H.; Woo, Y.C.; Damtie, M.M.; Kim, B.C.; Park, K.; Choi, J. Reverse osmosis membrane fabrication and modification technologies and future trends: A review. Adv. Colloid Interface Sci. 2020, 276, 102100. [Google Scholar] [CrossRef]
- Geleta, T.A.; Maggay, I.V.; Chang, Y.; Venault, A. Recent Advances on the Fabrication of Antifouling Phase-Inversion Membranes by Physical Blending Modification Method. Membranes 2023, 13, 58. [Google Scholar] [CrossRef] [PubMed]
- Zhou, J.; Luo, Z.; Yin, M.; Wang, N.; Qin, Z.; Lee, K.; An, Q. A comprehensive study on phase inversion behavior of a novel polysulfate membrane for high-performance ultrafiltration applications. J. Membr. Sci. 2020, 610, 118404. [Google Scholar] [CrossRef]
- Kurada, K.V.; Dutta, M.; Jana, A.; De, S. Solubility parameter estimation and phase inversion modeling of bentonite-doped polymeric membrane systems. J. Appl. Polym. Sci. 2020, 137, 48450. [Google Scholar] [CrossRef]
- Gravert, D.J.; Janda, K.D. Organic Synthesis on Soluble Polymer Supports: Liquid-Phase Methodologies. Chem. Rev. 1997, 97, 489. [Google Scholar] [CrossRef]
- Miller-Chou, B.A.; Koenig, J.L. A review of polymer dissolution. Prog. Polym. Sci. 2003, 28, 1223. [Google Scholar] [CrossRef]
- Ethier, J.; Antoniuk, E.R.; Brettmann, B. Predicting polymer solubility from phase diagrams to compatibility: A perspective on challenges and opportunities. Soft Matter 2024, 20, 5652. [Google Scholar] [CrossRef]
- Diwate, A.; Ghodake, S.; Tamboli, A.; Patil, K.; Gurame, M.; Maldar, N. Synthesis and Characterization of New Organosoluble and Thermally Stable Aromatic Polyamides Containing Flexible Ether, Ketone, and Methylene Linkages. Macromol. Symp. 2020, 392, 2000162. [Google Scholar] [CrossRef]
- Liu, Y.; Zhou, S.; Zhao, N.; Xu, J.; Shen, Z.; Fan, X.; Zhou, Q. Facile synthesis and characterization of soluble aramid containing polar hydroxyl side group. Polymer 2022, 238, 124411. [Google Scholar] [CrossRef]
- Li, J.; Zhong, M.; Sang, X.; Huang, Z. New soluble, transparent and heat-resistant poly(ether amide)s based on 10,10-bis[4-(4-aminophenoxy)-3-methylphenyl]-9(10H)-anthrone. High Perform. Polym. 2020, 33, 12–21. [Google Scholar] [CrossRef]
- Liu, Y.Y.; Wang, Y.; Wu, D.Y. Synthetic strategies for highly transparent and colorless polyimide film. J. Appl. Polym. Sci. 2022, 139, e52604. [Google Scholar] [CrossRef]
- Mallakpour, S.; Kolahdoozan, M. Synthesis and properties of novel soluble aromatic polyamides derived from 5-(2-phthalimidyl-3-methyl butanoylamino)isophthalic acid and aromatic diamines. React. Funct. Polym. 2008, 68, 91. [Google Scholar] [CrossRef]
- Nakazono, K.; Yamashita, C.; Ogawa, T.; Iguchi, H.; Takata, T. Synthesis and properties of pendant fluorene moiety-tethered aliphatic polycarbonates. Polym. J. 2015, 47, 355. [Google Scholar] [CrossRef]
- Zeng, K.; Hong, H.; Zhou, S.; Wu, D.; Miao, P.; Huang, Z.; Yang, G. A new soluble aramide with pendant phthalonitrile units and polymer property enhancement by nitrile cure reactions. Polymer 2009, 50, 5002. [Google Scholar] [CrossRef]
- Kushwaha, A.; Dose, M.E.; Smith, Z.P.; Luo, S.; Freeman, B.D.; Guo, R. Preparation and properties of polybenzoxazole-based gas separation membranes: A comparative study between thermal rearrangement (TR) of poly(hydroxyimide) and thermal cyclodehydration of poly(hydroxyamide). Polymer 2015, 78, 81. [Google Scholar] [CrossRef]
- Bonardd, S.; Angel, A.; Norambuena, A.; Coll, D.; Tundidor-Camba, A.; Ortiz, P.A. Novel Polyelectrolytes Obtained by Direct Alkylation and Ion Replacement of a New Aromatic Polyamide Copolymer Bearing Pyridinyl Pendant Groups. Polymers 2021, 13, 1993. [Google Scholar] [CrossRef]
- Huang, H.; Yu, J.; Guo, H.; Shen, Y.; Yang, F.; Wang, H.; Liu, R.; Liu, Y. Improved antifouling performance of ultrafiltration membrane via preparing novel zwitterionic polyimide. Appl. Surf. Sci. 2018, 427, 38. [Google Scholar] [CrossRef]
- Fowkes, F.M. Attractive forces at interfaces. Ind. Eng. Chem. 1964, 56, 40. [Google Scholar] [CrossRef]
- Owens, D.K.; Wendt, R.C. Estimation of the surface free energy of polymers. J. Appl. Polym. Sci. 1969, 13, 741. [Google Scholar] [CrossRef]
- Kaelble, D.H. Dispersion-polar surface tension properties of organic solids. J. Adhes. 1970, 2, 66. [Google Scholar] [CrossRef]
- Dos Santos, S.; Gonçalves, D. Variations in wettability on heat-treated wood surfaces: Contact angles and surface free energy. Maderas Cienc. Tecnol. 2016, 18, 383. [Google Scholar] [CrossRef]
- Ma, Y.; Shi, F.; Wang, Z.; Wu, M.; Ma, J.; Gao, C. Preparation and characterization of PSf/clay nanocomposite membranes with PEG 400 as a pore forming additive. Desalination 2012, 286, 131. [Google Scholar] [CrossRef]
- Zhu, K.; Zhang, S.; Luan, J.; Mu, Y.; Du, Y.; Wang, G. Fabrication of ultrafiltration membranes with enhanced antifouling capability and stable mechanical properties via the strategies of blending and crosslinking. J. Membr. Sci. 2017, 539, 116. [Google Scholar] [CrossRef]
- Sun, X.; Hu, W.; Gao, C. Low-fouling polysulfone ultrafiltration membranes with amphiphilic sulfobetaine polyamide as additive. J. Appl. Polym. Sci. 2019, 137, e49039. [Google Scholar] [CrossRef]
- Reglero Ruiz, J.A.; Trigo-López, M.; García, F.C.; García, J.M. Functional Aromatic Polyamides. Polymers 2017, 9, 414. [Google Scholar] [CrossRef] [PubMed]
- Tundidor-Camba, A.; Saldias, C.; Tagle, L.T.; Terraza, C.A.; Coll, D.; Pérez, G.; Aguilar-Vega, M.; Abarca, R.L.; Ortiz, P.A. Synthesis, characterization and film preparation of new co-polyimide based on new 3,5-diamino-N-(pyridin-4-ylmethyl)benzamide, ODA and 6FDA. J. Chil. Chem. Soc. 2018, 63, 4239. [Google Scholar] [CrossRef]
- Shaheen, R.; Cséfalvay, E. The effect of pretreatment and the operating temperature on reverse osmosis in make-up water preparation. Water Resour. Ind. 2024, 31, 100244. [Google Scholar] [CrossRef]
- Hu, J.; Zhu, Y.; Huang, H.; Lu, J. Recent advances in shape–memory polymers: Structure, mechanism, functionality, modeling and applications. Prog. Polym. Sci. 2012, 37, 1720. [Google Scholar] [CrossRef]
- Xia, Y.; He, Y.; Zhang, F.; Liu, Y.; Leng, J. A Review of Shape Memory Polymers and Composites: Mechanisms, Materials, and Applications. Adv. Mater. 2020, 33, 2000713. [Google Scholar] [CrossRef]
- Zhao, Z.; Muylaert, K.; Vankelecom, I.F.J. Applying membrane technology in microalgae industry: A comprehensive review. Renew. Sustain. Energy Rev. 2023, 172, 113041. [Google Scholar] [CrossRef]
- Karami, P.; Aktij, A.S.; Moradi, K.; Rastgar, M.; Khorshidi, B.; Mohammadtabar, F.; Peichel, J.; McGregor, M.; Rahimpour, A.; Soares, J.B.P.; et al. Comprehensive Characterization of Commercial Reverse Osmosis Membranes through High-Temperature Cross-Flow Filtration. ACS Omega 2024, 9, 1990. [Google Scholar] [CrossRef]
- Yang, Z.; Zhou, Y.; Feng, Z.; Rui, X.; Zhang, T.; Zhang, Z. A Review on Reverse Osmosis and Nanofiltration Membranes for Water Purification. Polymers 2019, 11, 1252. [Google Scholar] [CrossRef] [PubMed]
Solvent | |||||||||
---|---|---|---|---|---|---|---|---|---|
H2O | EtOH | MeOH | DMF | DMSO | acetone | THF | CHCl3 | Et2O | |
Poly-Ph | − | − | − | + | + | − | + | − | − |
Poly-Py | − | − | − | + | + | − | + | − | − |
Poly-PyM | − | − | − | + | + | − | + | − | − |
ρ [g cm−3] | Mn [kDa] | Mw [kDa] | PDI a | |
---|---|---|---|---|
Poly-Ph | 1.52 | 9.74 | 16.13 | 1.66 |
Poly-Py | 1.46 | 3.95 | 4.05 | 1.03 |
Poly-PyM | 1.41 | 21.78 | 29.52 | 1.36 |
Temperature [°C] | Residue [%] | ||||||||
---|---|---|---|---|---|---|---|---|---|
Ti | T5% | T10% | T50% | Td1 | Td2 | Td3 | Tg | ||
Poly-Ph | 381 | 270 | 418 | 641 | 428 | 477 | 548 | n.o. | 42 |
Poly-Py | 285 | 355 | 412 | 661 | 421 | 484 | 544 | n.o. | 42 |
Poly-PyM | 245 | 226 | 382 | 572 | 415 | - | 543 | n.o. | 33 |
Thickness [μm] a | Young’s Modules [Gpa] | Yield Strenght [Mpa] | Tensile Strenght [Mpa] | Elongation at Break [%] | |
---|---|---|---|---|---|
Poly-Ph | 52 ± 3 | 2.8 ± 0.1 | 81.6 ± 6.4 | 81.6 ± 6.4 | 6.9 ± 0.4 |
Poly-Py | 63 ± 3 | 2.5 ± 0.1 | 63.4 ± 1.8 | 63.4 ± 1.8 | 4.1 ± 0.5 |
Poly-PyM | 61 ± 4 | 2.1 ± 0.5 | 78.6 ± 1.1 | 78.6 ± 1.1 | 8.5 ± 2.3 |
| | Contact Angle [°] a | Surface Energy [mJ m−2] | Porosity [%] | |||
---|---|---|---|---|---|---|
Water | CH2I2 | |||||
106.8 ± 8.6 | 0.0 ± 0.0 | 50.8 | 50.8 | 0.0 | 0.75 ± 0.07 | |
M-Poly-Ph | 81.6 ± 5.1 | 38.7 ± 3.5 | 40.4 | 40.2 | 0.1 | 0.09 ± 0.02 |
M-Poly-Py | 79.6 ± 3.1 | 43.0 ± 3.5 | 38.3 | 38.1 | 0.2 | 0.54 ± 0.09 |
M-Poly-PyM | 84.8 ± 6.4 | 40.0 ± 3.6 | 39.7 | 39.6 | 0.1 | 0.37 ± 0.17 |
Water [39] | - | - | 72.8 | 21.9 | 51.0 | - |
CH2I2 [39] | - | - | 50.8 | 50.8 | 0.0 | - |
V | J | σs | σf | Cs | Cf | Ri | ||
---|---|---|---|---|---|---|---|---|
[L] | [L m−2 h−1] | [mS cm−1] | [mS cm−1] | [g L−1] | [g L−1] | [%] | ||
1 | - | - | 29.6 | 29.6 | 33.7 | 33.7 | 0.0 | |
M | 2 | - | - | 29.6 | 29.6 | 33.7 | 33.7 | 0.0 |
3 | - | - | 29.6 | 29.6 | 33.7 | 33.7 | 0.0 | |
Average value: | 0.0 ± 0.0 | |||||||
1 | 0.000 | 0.00 | 29.6 | - | 33.7 | - | - | |
M-Poly-Ph | 2 | 0.000 | 0.00 | 29.6 | - | 33.7 | - | - |
3 | 0.000 | 0.00 | 29.6 | - | 33.7 | - | - | |
Average value: | 0.00 ± 0.0 | - | ||||||
1 | 0.040 | 18.5 | 30.0 | 19.8 | 34.2 | 21.4 | 37.6 | |
M-Poly-Py | 2 | 0.030 | 13.9 | 29.6 | 20.0 | 33.7 | 21.7 | 35.8 |
3 | 0.045 | 20.8 | 29.6 | 19.3 | 33.7 | 20.7 | 38.6 | |
Average value: | 17.7 ± 3.5 | 37.3 ± 1.4 | ||||||
1 | 0.005 | 2.3 | 29.6 | 24.6 | 33.7 | 27.4 | 18.6 | |
M-Poly-PyM | 2 | 0.005 | 2.3 | 29.6 | 26.4 | 33.7 | 29.7 | 11.9 |
3 | 0.007 | 3.0 | 29.6 | 29.3 | 33.7 | 33.4 | 1.1 | |
Average value: | 2.5 ± 0.4 | 10.6 ± 8.8 |
Disclaimer/Publisher’s Note: The statements, opinions and data contained in all publications are solely those of the individual author(s) and contributor(s) and not of MDPI and/or the editor(s). MDPI and/or the editor(s) disclaim responsibility for any injury to people or property resulting from any ideas, methods, instructions or products referred to in the content. |
© 2025 by the authors. Licensee MDPI, Basel, Switzerland. This article is an open access article distributed under the terms and conditions of the Creative Commons Attribution (CC BY) license (https://creativecommons.org/licenses/by/4.0/).
Share and Cite
Arriaza-Echanes, C.; Terraza, C.A.; Tundidor-Camba, A.; Sanhueza Ch., L.; Ortiz, P.A. Novel Co-Polyamides Containing Pendant Phenyl/Pyridinyl Groups with Potential Application in Water Desalination Processes. Polymers 2025, 17, 208. https://doi.org/10.3390/polym17020208
Arriaza-Echanes C, Terraza CA, Tundidor-Camba A, Sanhueza Ch. L, Ortiz PA. Novel Co-Polyamides Containing Pendant Phenyl/Pyridinyl Groups with Potential Application in Water Desalination Processes. Polymers. 2025; 17(2):208. https://doi.org/10.3390/polym17020208
Chicago/Turabian StyleArriaza-Echanes, Carolina, Claudio A. Terraza, Alain Tundidor-Camba, Loreto Sanhueza Ch., and Pablo A. Ortiz. 2025. "Novel Co-Polyamides Containing Pendant Phenyl/Pyridinyl Groups with Potential Application in Water Desalination Processes" Polymers 17, no. 2: 208. https://doi.org/10.3390/polym17020208
APA StyleArriaza-Echanes, C., Terraza, C. A., Tundidor-Camba, A., Sanhueza Ch., L., & Ortiz, P. A. (2025). Novel Co-Polyamides Containing Pendant Phenyl/Pyridinyl Groups with Potential Application in Water Desalination Processes. Polymers, 17(2), 208. https://doi.org/10.3390/polym17020208