Structure, Mechanical Properties, and Rheological Characteristics of Poly(Butylene Adipate-co-Terephthalate)–Polylactic Acid Blends Modified via In Situ Maleic Anhydride Grafting
Abstract
1. Introduction
2. Experimental
2.1. Materials
2.2. Synthesis of PBAT-Grafted MA (PBAT–MA)
2.3. Preparation of Blends
2.4. Characterization and Material Performance Testing
2.4.1. Fourier Transform Infrared Spectroscopy (FTIR)
2.4.2. Mechanical Properties
2.4.3. Differential Scanning Calorimetry
2.4.4. Thermogravimetric Analysis
2.4.5. Dynamic Mechanical Analysis
2.4.6. X-Ray Diffraction (XRD)
2.4.7. Scanning Electron Microscopy (SEM)
2.4.8. Rheological Properties
2.4.9. Dynamic Mechanical Thermal Analysis
2.4.10. Gel Permeation Chromatography
2.4.11. Nuclear Magnetic Resonance Spectroscopy
3. Results and Discussion
3.1. Chemical Modification of PBAT
3.2. Mechanical Property Analysis
3.3. Surface Micromorphology Analysis
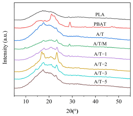
3.4. Thermal Properties and X-Ray Diffraction Analysis
3.5. Rheology Properties
3.6. Toughening Mechanism
4. Conclusions
Author Contributions
Funding
Institutional Review Board Statement
Data Availability Statement
Acknowledgments
Conflicts of Interest
References
- Yang, Y. Preparation and properties of bamboo fiber/polylactic acid composite modified with polycarbodiimide. Ind. Crops Prod. 2024, 218, 118829. [Google Scholar] [CrossRef]
- Sucinda, E.F.; Abdul Majid, M.S.; Ridzuan, M.J.M.; Cheng, E.M.; Alshahrani, H.A.; Mamat, N. Development and characterisation of packaging film from Napier cellulose nanowhisker reinforced polylactic acid (PLA) bionanocomposites. Int. J. Biol. Macromol. 2021, 187, 43–53. [Google Scholar] [CrossRef] [PubMed]
- Farah, S.; Anderson, D.G.; Langer, R. Physical and mechanical properties of PLA, and their functions in widespread applications—A comprehensive review. Adv. Drug Deliv. Rev. 2016, 107, 367–392. [Google Scholar] [CrossRef] [PubMed]
- Li, P.; Zhu, X.; Kong, M.; Lv, Y.; Huang, Y.; Yang, Q.; Li, G. Fully biodegradable polylactide foams with ultrahigh expansion ratio and heat resistance for green packaging. Int. J. Biol. Macromol. 2021, 183, 222–234. [Google Scholar] [CrossRef]
- Phetwarotai, W.; Aht-Ong, D. Characterization and Properties of Nucleated Polylactide, Poly(butylene adipate-co-terephthalate), and Thermoplastic Starch Ternary Blend Films: Effects of Compatibilizer and Starch. AMR 2013, 747, 673–677. [Google Scholar] [CrossRef]
- Tábi, T. The influence of nucleating agents, plasticizers, and molding conditions on the properties of injection molded PLA products. Mater. Today Commun. 2022, 32, 103936. [Google Scholar] [CrossRef]
- Trivedi, A.K.; Gupta, M.K.; Singh, H. PLA based biocomposites for sustainable products: A review. Adv. Ind. Eng. Polym. Res. 2023, 6, 382–395. [Google Scholar] [CrossRef]
- Bianchi, M.; Dorigato, A.; Morreale, M.; Pegoretti, A. Evaluation of the Physical and Shape Memory Properties of Fully Biodegradable Poly(lactic acid) (PLA)/Poly(butylene adipate terephthalate) (PBAT) Blends. Polymers 2023, 15, 881. [Google Scholar] [CrossRef]
- Chang, B.P.; Mohanty, A.K.; Misra, M. Studies on durability of sustainable biobased composites: A review. RSC Adv. 2020, 10, 17955–17999. [Google Scholar] [CrossRef]
- Scaffaro, R.; Maio, A.; Gulino, E.F.; Megna, B. Structure-property relationship of PLA-Opuntia Ficus Indica biocomposites. Compos. Part B Eng. 2019, 167, 199–206. [Google Scholar] [CrossRef]
- More, N.; Avhad, M.; Utekar, S.; More, A. Polylactic acid (PLA) membrane—Significance, synthesis, and applications: A review. Polym. Bull. 2023, 80, 1117–1153. [Google Scholar] [CrossRef]
- Zhang, G.; Li, H.; Jiang, W.; Han, X.; Hu, Y.; Han, Y.; Zhao, G.; Feng, Y. Functionalization of poly (butylene adipate-co-terephthalate) and its toughening effect on poly (lactic acid). Eur. Polym. J. 2024, 206, 112764. [Google Scholar] [CrossRef]
- Fortelny, I.; Ujcic, A.; Fambri, L.; Slouf, M. Phase Structure, Compatibility, and Toughness of PLA/PCL Blends: A Review. Front. Mater. 2019, 6, 206. [Google Scholar] [CrossRef]
- Choi, I.S.; Kim, Y.K.; Hong, S.H.; Seo, H.-J.; Hwang, S.-H.; Kim, J.; Lim, S.K. Effects of Polybutylene Succinate Content on the Rheological Properties of Polylactic Acid/Polybutylene Succinate Blends and the Characteristics of Their Fibers. Materials 2024, 17, 662. [Google Scholar] [CrossRef]
- Meng, B.; Deng, J.; Liu, Q.; Wu, Z.; Yang, W. Transparent and ductile poly(lactic acid)/poly(butyl acrylate) (PBA) blends: Structure and properties. Eur. Polym. J. 2012, 48, 127–135. [Google Scholar] [CrossRef]
- Liu, Z.; Lei, Y.; Hu, Z.; Kong, W.; Zhou, C.; Lei, J. Preparation, Characterization and Properties of Poly(lactic acid)/Poly(1,4-butylene adipate) Blends for Biodegradable Packaging Materials. Macromol. Res. 2017, 25, 439–445. [Google Scholar] [CrossRef]
- Kim, J.-H.; Lee, J.C.; Kim, G.-H. Study on poly(butylene adipate-co-terephthalate)/starch composites with polymeric methylenediphenyl diisocyanate. J. Appl. Polym. Sci. 2015, 132, 41884. [Google Scholar] [CrossRef]
- Han, Y.; Shi, J.; Mao, L.; Wang, Z.; Zhang, L. Improvement of Compatibility and Mechanical Performances of PLA/PBAT Composites with Epoxidized Soybean Oil as Compatibilizer. Ind. Eng. Chem. Res. 2020, 59, 21779–21790. [Google Scholar] [CrossRef]
- Kang, Y.; Chen, P.; Shi, X.; Zhang, G.; Wang, C. Preparation of open-porous stereocomplex PLA/PBAT scaffolds and correlation between their morphology, mechanical behavior, and cell compatibility. RSC Adv. 2018, 8, 12933–12943. [Google Scholar] [CrossRef]
- Teamsinsungvon, A.; Ruksakulpiwat, Y.; Jarukumjorn, K. Preparation and Characterization of Poly(lactic acid)/Poly(butylene adipate- co -terepthalate) Blends and Their Composite. Polym. Plast. Technol. Eng. 2013, 52, 1362–1367. [Google Scholar] [CrossRef]
- Zheng, Y.; Jia, X.; Zhao, Z.; Ran, Y.; Du, M.; Ji, H.; Pan, Y.; Li, Z.; Ma, X.; Liu, Y.; et al. Innovative natural antimicrobial natamycin incorporated titanium dioxide (nano-TiO2)/poly (butylene adipate-co-terephthalate) (PBAT)/poly (lactic acid) (PLA) biodegradable active film (NTP@PLA) and application in grape preservation. Food Chem. 2023, 400, 134100. [Google Scholar] [CrossRef]
- Kumar, M.; Mohanty, S.; Nayak, S.K.; Rahail Parvaiz, M. Effect of glycidyl methacrylate (GMA) on the thermal, mechanical and morphological property of biodegradable PLA/PBAT blend and its nanocomposites. Bioresour. Technol. 2010, 101, 8406–8415. [Google Scholar] [CrossRef]
- Sun, L.; Long, Y.; Peng, T.; Xie, X.; Meng, X.; Chew, K.-H.; Zhang, Z.; Dai, Z.; Pan, Q.; Xiong, Y. A Novel Functional Compatibilization Strategy for Poly(lactic acid) and Poly(butylene adipate-co-butylene terephthalate) Blends to Achieve a Stable Co-continuous Structure and Excellent Antibacterial Performance. Chem. Eng. J. 2024, 482, 149169. [Google Scholar] [CrossRef]
- Nosova, N.; Roiter, Y.; Samaryk, V.; Varvarenko, S.; Stetsyshyn, Y.; Minko, S.; Stamm, M.; Voronov, S. Polypropylene surface peroxidation with heterofunctional polyperoxides. Macromol. Symp. 2004, 210, 339–348. [Google Scholar] [CrossRef]
- Rigolin, T.R.; Costa, L.C.; Chinelatto, M.A.; Muñoz, P.A.R.; Bettini, S.H.P. Chemical modification blends. Polym. Test. 2017, 63, 542–549. [Google Scholar] [CrossRef]
- Fourati, Y.; Tarrés, Q.; Mutjé, P.; Boufi, S. PBAT/thermoplastic starch blends: Effect of compatibilizers on the rheological, mechanical and morphological properties. Carbohydr. Polym. 2018, 199, 51–57. [Google Scholar] [CrossRef] [PubMed]
- Aversa, C.; Barletta, M.; Cappiello, G.; Gisario, A. Compatibilization strategies and analysis of morphological features of poly(butylene adipate-co-terephthalate) (PBAT)/poly(lactic acid) PLA blends: A state-of-art review. Eur. Polym. J. 2022, 173, 111304. [Google Scholar] [CrossRef]
- Phetwarotai, W.; Zawong, M.; Phusunti, N.; Aht-Ong, D. Toughening and thermal characteristics of plasticized polylactide and poly(butylene adipate-co-terephthalate) blend films: Influence of compatibilization. Int. J. Biol. Macromol. 2021, 183, 346–357. [Google Scholar] [CrossRef]
- Teamsinsungvon, A.; Jarapanyacheep, R.; Ruksakulpiwat, Y.; Jarukumjorn, K. Melt processing of maleic anhydride grafted poly(lactic acid) and its compatibilizing effect on poly(lactic acid)/poly(butylene adipate-co-terephthalate) blend and their composite. Polym. Sci. Ser. A 2017, 59, 384–396. [Google Scholar] [CrossRef]
- Miao, Z.; Li, L.; Xie, Y.; Feng, D.; Wu, F.; Xie, D.; Liu, Y.; Mei, Y. Revisiting maleic anhydride-grafted biopolymers for improved compatibility and toughening of PLA/PBAT blends: Effects of molecular weight and grafting ratio. Polymer 2025, 320, 128055. [Google Scholar] [CrossRef]
- Nam, K.; Kim, S.G.; Kim, D.Y.; Lee, D.Y. Enhanced Mechanical Properties of Polylactic Acid/Poly(Butylene Adipate-co-Terephthalate) Modified with Maleic Anhydride. Polymers 2024, 16, 518. [Google Scholar] [CrossRef]
- ISO 4593:1993; Plastics: Film and Sheeting Determination of Thickness by Mechanical Scanning. Available online: https://www.iso.org/standard/20759.html (accessed on 1 July 2025).
- ISO 527-2:2025; Plastics—Determination of Tensile Properties—Part 2: Test Conditions for Moulding and Extrusion Plastics. Available online: https://www.iso.org/standard/527-2 (accessed on 1 July 2025).
- ISO 179-1:2023; Plastics—Determination of Charpy Impact Properties—Part 1: Non-Instrumented Impact Test. Available online: https://www.iso.org/standard/84393.html (accessed on 1 July 2025).
- De CDNunes, E.; De Souza, A.G.; Rosa, D.d.S. Effect of the Joncryl® ADR Compatibilizing Agent in Blends of Poly(butylene adipate-co-terephthalate)/Poly(lactic acid). Macromol. Symp. 2019, 383, 1800035. [Google Scholar] [CrossRef]
- Nabar, Y.; Raquez, J.M.; Dubois, P.; Narayan, R. Production of Starch Foams by Twin-Screw Extrusion: Effect of Maleated Poly(butylene adipate-co-terephthalate) as a Compatibilizer. Biomacromolecules 2005, 6, 807–817. [Google Scholar] [CrossRef] [PubMed]
- Arruda, L.C.; Magaton, M.; Bretas, R.E.S.; Ueki, M.M. Influence of chain extender on mechanical, thermal and morphological properties of blown films of PLA/PBAT blends. Polym. Test. 2015, 43, 27–37. [Google Scholar] [CrossRef]
- Liu, Q.; Zhou, S.-J.; Xiong, S.-J.; Yu, S.; Yuan, T.-Q. Fractionated lignin as a green compatibilizer to improve the compatibility of poly (butylene adipate-co-terephthalate)/polylactic acid composites. Int. J. Biol. Macromol. 2024, 265, 130834. [Google Scholar] [CrossRef]
- Kuang, T.; Zhang, M.; Chen, F.; Fei, Y.; Yang, J.; Zhong, M.; Wu, B.; Liu, T. Creating poly(lactic acid)/carbon nanotubes/carbon black nanocomposites with high electrical conductivity and good mechanical properties by constructing a segregated double network with a low content of hybrid nanofiller. Adv. Compos. Hybrid Mater. 2023, 6, 48. [Google Scholar] [CrossRef]












| Sample | PLA (wt%) a | PBAT (wt%) a | PBAT–MA (wt%) a | MA (wt%) b | BPO (wt%) b |
|---|---|---|---|---|---|
| A/T | 70 | 30 | 0 | 0 | 0 |
| A/T/M | 70 | 30 | 0 | 2 | 1 |
| A/T—1 | 70 | 0 | 30 | 1 | 1 |
| A/T—2 | 70 | 0 | 30 | 2 | 1 |
| A/T—3 | 70 | 0 | 30 | 3 | 1 |
| A/T—5 | 70 | 0 | 30 | 5 | 1 |
| Sample | Tensile Strength (MPa) | Impact Strength (kJ/m2) | Elongation at break (%) | Young’s Modulus (MPa) |
|---|---|---|---|---|
| PLA | 60.6 ± 1.1 | 17.8 ± 2.4 | 14.6 ± 2.3 | 850.9 ± 81.3 |
| A/T | 40.3 ± 2.3 | 36.4 ± 4.5 | 79.5 ± 7.9 | 638.8 ± 33.4 |
| A/T/M | 37.0 ± 1.2 | 50.4 ± 4.9 | 76.0 ± 3.4 | 498.2 ± 28.7 |
| A/T−1 | 31.9 ± 1.6 | 96.9 ± 9.6 | 96.1 ± 12.7 | 401.1 ± 27.8 |
| A/T−2 | 34.0 ± 1.2 | 333.9 ± 21.2 | 358.1 ± 18.0 | 472.2 ± 38.9 |
| A/T−3 | 36.1 ± 1.1 | 67.5 ± 4.1 | 126.1 ± 4.6 | 412.2 ± 32.2 |
| A/T−5 | 42.2 ± 2.2 | 46.3 ± 4.6 | 69.9 ± 15.8 | 511.8 ± 44.8 |
| Sample | Tg1 (°C) | Tg2 (°C) | ΔTg (°C) | Tcc (°C) | Tm1 (°C) | Tm2 (°C) | ΔHm (J/g) | Xc (%) |
|---|---|---|---|---|---|---|---|---|
| PLA | — | 60.2 | — | 124.2 | 161.8 | — | 0.7 | 0.8 |
| PBAT | −30.1 | — | — | — | 119.9 | — | 14.9 | 13.1 |
| A/T | −32.8 | 60.6 | 93.4 | 103.8 | — | 164.1 | 3.2 | 3.2 |
| A/T/M | −34.1 | 60.3 | 94.4 | 108.2 | 157.9 | 164.5 | 2.2 | 2.3 |
| A/T−1 | −31.2 | 60.3 | 91.5 | 106.9 | — | 165.6 | 2.2 | 2.2 |
| A/T−2 | −30.8 | 59.3 | 90.1 | 108.1 | 158.6 | 164.7 | 4.3 | 4.3 |
| A/T−3 | −31.6 | 59.5 | 91.1 | 108.1 | 158.8 | 164.9 | 3.9 | 3.9 |
| A/T−5 | −33.1 | 60.5 | 93.6 | 107.7 | 158.7 | 164.9 | 3.2 | 3.2 |
| Formulation | T5% (°C) | T50% (°C) | Tfinal (°C) | Tmax1 (°C) | Tmax2 (°C) |
|---|---|---|---|---|---|
| PLA | 311.8 | 348.3 | 369.4 | 352.8 | — |
| PBAT | 344.7 | 386.3 | 494.1 | — | 388.8 |
| A/T | 310.1 | 348.6 | 475.5 | 344.7 | 379.3 |
| A/T/M | 302.6 | 347.9 | 471.1 | 344.7 | 384.9 |
| A/T-1 | 317.1 | 351.2 | 487.4 | 347.4 | 383.7 |
| A/T-2 | 324.8 | 354.2 | 493.0 | 350.0 | 389.7 |
| A/T-3 | 310.0 | 346.2 | 476.3 | 341.3 | 379.6 |
| A/T-5 | 306.1 | 341.3 | 470.8 | 336.4 | 379.0 |
Disclaimer/Publisher’s Note: The statements, opinions and data contained in all publications are solely those of the individual author(s) and contributor(s) and not of MDPI and/or the editor(s). MDPI and/or the editor(s) disclaim responsibility for any injury to people or property resulting from any ideas, methods, instructions or products referred to in the content. |
© 2025 by the authors. Licensee MDPI, Basel, Switzerland. This article is an open access article distributed under the terms and conditions of the Creative Commons Attribution (CC BY) license (https://creativecommons.org/licenses/by/4.0/).
Share and Cite
Jin, M.; Qi, B.; Chen, K.; Cao, L.; Chen, P.; Sun, C.; Zhan, J.; Shao, Z.; Tan, H.; Zhang, Y. Structure, Mechanical Properties, and Rheological Characteristics of Poly(Butylene Adipate-co-Terephthalate)–Polylactic Acid Blends Modified via In Situ Maleic Anhydride Grafting. Polymers 2025, 17, 2264. https://doi.org/10.3390/polym17162264
Jin M, Qi B, Chen K, Cao L, Chen P, Sun C, Zhan J, Shao Z, Tan H, Zhang Y. Structure, Mechanical Properties, and Rheological Characteristics of Poly(Butylene Adipate-co-Terephthalate)–Polylactic Acid Blends Modified via In Situ Maleic Anhydride Grafting. Polymers. 2025; 17(16):2264. https://doi.org/10.3390/polym17162264
Chicago/Turabian StyleJin, Min, Bei Qi, Kang Chen, Lijun Cao, Pengrui Chen, Ce Sun, Jianfeng Zhan, Zhuofeng Shao, Haiyan Tan, and Yanhua Zhang. 2025. "Structure, Mechanical Properties, and Rheological Characteristics of Poly(Butylene Adipate-co-Terephthalate)–Polylactic Acid Blends Modified via In Situ Maleic Anhydride Grafting" Polymers 17, no. 16: 2264. https://doi.org/10.3390/polym17162264
APA StyleJin, M., Qi, B., Chen, K., Cao, L., Chen, P., Sun, C., Zhan, J., Shao, Z., Tan, H., & Zhang, Y. (2025). Structure, Mechanical Properties, and Rheological Characteristics of Poly(Butylene Adipate-co-Terephthalate)–Polylactic Acid Blends Modified via In Situ Maleic Anhydride Grafting. Polymers, 17(16), 2264. https://doi.org/10.3390/polym17162264

