Molecular Dynamics Simulation of Plasticizing Effect of Mixed Dioctyl Phthalate and Isosorbide Diheptanoate on Polyvinyl Chloride Material
Abstract
1. Introduction
2. Simulation Methods
2.1. Cell Construction
2.2. The Simulation Analysis
3. Results and Discussion
3.1. The Glass Transition Temperature
3.2. The Mechanical Properties
3.3. The Solubility Parameter
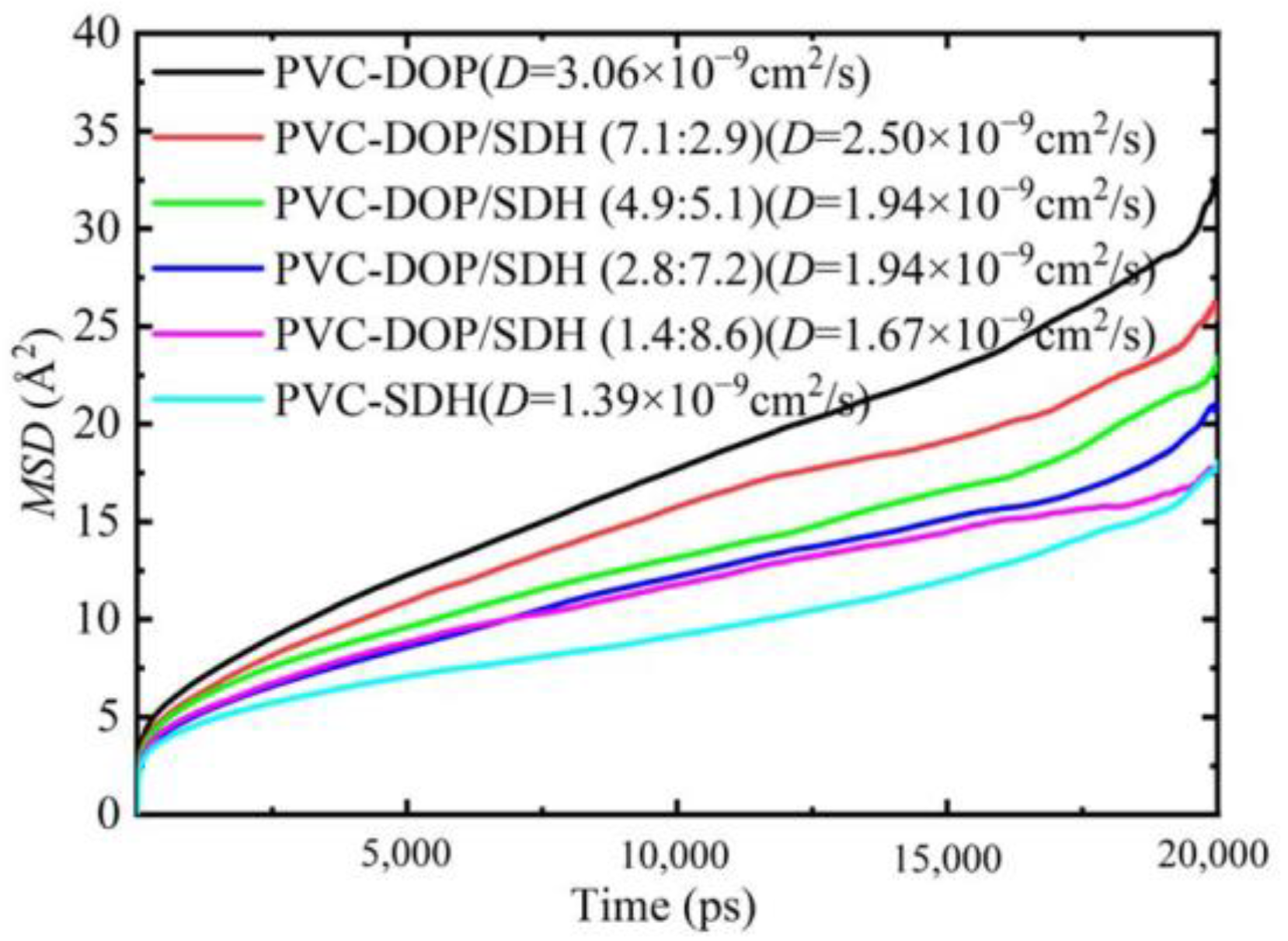
3.4. PVC Chain Mobility
3.5. The Mechanism of the Mixed Plasticizers
3.6. Plasticizer Diffusion
4. Conclusions
Supplementary Materials
Author Contributions
Funding
Institutional Review Board Statement
Data Availability Statement
Conflicts of Interest
Abbreviations
| Tg | Glass transition temperature |
| EInter | Interaction energy |
| Eelec | Electrostatic interaction energy |
| EvdW | Van der Waals interaction energy |
| E | Elastic modulus |
| G | Shear modulus |
| δ | Solubility parameter |
| H | Hydrogen atom |
| C | Carbon atom |
| O | Oxygen atom |
| MD | Molecular dynamics |
| PVC | Polyvinyl chloride |
| DOP | Dioctyl phthalate |
| SDH | Isosorbide diheptanoate |
| PAEs | Phthalates |
| FFV | Fractional free volume |
| NVT | Canonical ensemble |
| NPT | Isobaric–isothermal ensemble |
| RDF | Radial distribution function |
| MSD | Mean squared displacement |
| PPPM | Particle–particle particle–mesh |
| Od (ADD) | The oxygen atoms in the carbonyl group (-C=O) of the additive |
| Od (DOP) | The oxygen atoms in the carbonyl group (-C=O) of dioctyl phthalate |
| Od (SDH) | The oxygen atoms in the carbonyl group (-C=O) of isosorbide diheptanoate |
References
- Zhang, X.; Feng, X.; Guo, W.; Zhang, C.; Zhang, X. Chemically recyclable polyvinyl chloride-like plastics. Nat. Commun. 2024, 15, 8536. [Google Scholar] [CrossRef] [PubMed]
- Li, Y.; Zhu, H.; Zhang, Z.; Zhu, L.; Zhang, X.; Guo, M.; Hashimoto, M. Plasticized polyvinyl chloride: From material properties to flexible applications. Adv. Colloid. Interfac. 2024, 337, 103384. [Google Scholar] [CrossRef]
- Yuan, R.; Gao, L.; Liu, J.; Tu, C.; Tan, R.; Xu, S. Effect of hydrophobic alkyl chains on the plasticization properties of citrate: Experiments and MD simulation. Eur. Polym. J. 2024, 203, 112644. [Google Scholar] [CrossRef]
- Beveridge, J.M.; Chenot, H.M.; Crich, A.; Jacob, A.; Finn, M.G. Covalent Functionalization of Flexible Polyvinyl Chloride Tubing. Langmuir 2018, 34, 10407–10412. [Google Scholar] [CrossRef] [PubMed]
- Luca, C.; Concettina, L.M.; Dorota, N. Polyvinyl chloride (PVC), its additives, microplastic and human health: Unresolved and emerging issues. Sci. Total Environ. 2025, 960, 178276. [Google Scholar]
- Qian, B.; Shen, F.; Zhu, H.; Zhang, J.; Wu, M.; Liu, J.; Wu, Q.; Yang, J. Synthesis, performance evaluation, and plasticization dynamics of biobased vanillic acid plasticizer for poly(vinyl chloride). Chem. Eng. J. 2024, 497, 154991. [Google Scholar] [CrossRef]
- Jia, P.; Zhang, M.; Hu, L.; Wang, R.; Sun, C.; Zhou, Y. Cardanol Groups Grafted on Poly(vinyl chloride)-Synthesis, Performance and Plasticization Mechanism. Polymers 2017, 9, 621. [Google Scholar] [CrossRef]
- Jia, P.; Ma, Y.; Kong, Q.; Xu, L.; Hu, Y.; Hu, L.; Zhou, Y. Graft modification of polyvinyl chloride with epoxidized biomass-based monomers for preparing flexible polyvinyl chloride materials without plasticizer migration. Mater. Today Chem. 2019, 13, 49–58. [Google Scholar] [CrossRef]
- Navarro, R.; Pérez Perrino, M.; García, C.; Elvira, C.; Gallardo, A.; Reinecke, H. Highly Flexible PVC Materials without Plasticizer Migration As Obtained by Efficient One-Pot Procedure Using Trichlorotriazine Chemistry. Macromolecules 2016, 49, 2224–2227. [Google Scholar] [CrossRef]
- Sun, H.Z.; Yang, P.; Fan, H.J.; Chen, Y. Study on the Graft Modification of PVC with Epoxy Fat Acid Methyl Ester and the Plasticizing Properties. Acta Polym. Sin. 2014, 2, 233–238. (In Chinese) [Google Scholar]
- Wang, M.; Wang, G.; Xu, Y.; Song, X.; Bu, Q. Simultaneous improvement of the plasticization, mechanical and migration resistance properties of PVC materials by grafting ricinoleic acid-derived phosphate ester. Chem. Pap. 2022, 76, 351–359. [Google Scholar] [CrossRef]
- Navarro, R.; Bierbrauer, K.; Mijangos, C.; Goiti, E.; Reinecke, H. Modification of poly(vinyl chloride) with new aromatic thiol compounds. Synthesis and characterization. Polym. Degrad. Stabil. 2008, 93, 585–591. [Google Scholar] [CrossRef]
- Zhao, W.H.; Xu, R.K.; Yu, X.L.; Tan, J.H.; Li, M.Y.; Zhu, X.B. Structure-PVC plasticizing performance relationship of 1,2-cyclohexane diformate alcohol ether esters. Fine Chem. 2024, 41, 1840–1847. (In Chinese) [Google Scholar]
- Qian, B.; Zhang, J.; Wu, M.; Liu, J.; Wu, Q.; Yang, J. Synthesis, characterization and performance evaluation of "crab" bio-based poly(vinyl chloride) plasticizer based on sustainable lactic acid. Polymer 2023, 283, 126246. [Google Scholar] [CrossRef]
- Liu, J.; Yuan, R.; Sang, Q.; Dang, L.; Gao, L.; Xu, B.; Xu, S. Effect of acetylated citrate plasticizer on mechanical properties of poly(vinyl chloride). Mater. Chem. Phys. 2023, 295, 127068. [Google Scholar] [CrossRef]
- Wang, F.; Gu, J.; Hu, B.; Tan, J.H.; Zhu, X.B. Green synthesis of phthalate-based alkoxy esters and application as high efficient plasticizers for PVC resin. Chem. Ind. Eng. Prog. Progress 2021, 40, 6315–6322. (In Chinese) [Google Scholar]
- Zhu, H.; Yang, J.; Wu, M.; Wu, Q.; Liu, J.; Zhang, J. Biobased Plasticizers from Tartaric Acid: Synthesis and Effect of Alkyl Chain Length on the Properties of Poly(vinyl chloride). ACS Omega 2021, 6, 13161–13169. [Google Scholar] [CrossRef]
- Luo, W.; Yang, Y.; Han, Y.; Weng, Y.; Zhang, C. Synergistic Effect of Thermal Stabilization and Plasticization of Epoxidized Cardanol Esters on PVC. J. Polym. Environ. 2023, 31, 5126–5136. [Google Scholar] [CrossRef]
- Li, Y.P.; Cui, R.; Xi, Z.H.; Zhao, L. Application of Bio-based Plasticizer Isosorbide Diheptanoate in PVC. Eng. Plast. Appl. 2020, 48, 22–27. [Google Scholar]
- Xiong, L.; Yang, W.; Zhu, Y.; He, Z.; Li, L.; Guo, L.; Zhang, Z.; Dong, Y.; Liu, J.; Ouyang, L.; et al. On mechanism of corrosion inhibition of green inhibitor polyvinyl alcohol in aluminum-air batteries. J. Power Sources 2025, 631, 236233. [Google Scholar] [CrossRef]
- Yi, X.J.; Yu, W.X.; Yan, J.W.; Cheng, J.; Lei, Q.; Liao, Y.; Jiang, H.Y. Mechanical properties and glass transition temperature of PVA-OMMT composites: A molecular dynamics simulation. Mater. Today Commun. 2025, 42, 111287. [Google Scholar] [CrossRef]
- Li, D.; Kushal, P.; Naveen, K.V.; Roozbeh, M.; Li, X. Effects of molecular design parameters on plasticizer performance in poly(vinyl chloride): A comprehensive molecular simulation study. Chem. Eng. Sci. 2021, 249, 117334. [Google Scholar] [CrossRef]
- Jagarlapudi, S.S.; Cross, H.S.; Das, T.; Goddard, W.A. Thermomechanical Properties of Nontoxic Plasticizers for Polyvinyl Chloride Predicted from Molecular Dynamics Simulations. ACS Appl. Mater. Inter. 2023, 15, 24858–24867. [Google Scholar] [CrossRef]
- Olowookere, F.V.; Al Alshaikh, A.; Bara, J.E.; Turner, C.H. Effects of chain length on the structure and dynamics of polyvinyl chloride during atomistic molecular dynamics simulations. Mol. Simul. 2023, 49, 1401–1412. [Google Scholar] [CrossRef]
- Pan, S.; Hou, D.; Chang, J.; Xu, Z.; Wang, S.; Yan, S.; Zeng, Q.; Wang, Z.; Chen, Y. A potentially general approach to aliphatic ester-derived PVC plasticizers with suppressed migration as sustainable alternatives to DEHP. Green. Chem. 2019, 21, 6430–6440. [Google Scholar] [CrossRef]
- Olowookere, F.V.; Barbosa, G.D.; Turner, C.H. Characterizing Polyvinyl Chloride Interactions with Additives in Traditional and Bioderived Solvents. Ind. Eng. Chem. Res. 2024, 63, 1109–1121. [Google Scholar] [CrossRef]
- Zhang, H.; Chang, T.; Zhang, S.; Zhou, K.; Zhang, W.; Hu, Z. Effects of chain ends and densities on the glass transition of polymer thin films probed by linear and cyclic polystyrene. Polymer 2022, 253, 124986. [Google Scholar] [CrossRef]
- Cassar, D.R.; de Carvalho, A.C.P.L.; Zanotto, E.D. Predicting glass transition temperatures using neural networks. Acta Mater. 2018, 159, 249–256. [Google Scholar] [CrossRef]
- Xie, R.X.; Weisen, A.R.; Lee, Y.M.; Aplan, M.A.; Fenton, A.M.; Masucci, A.E.; Kempe, F.; Sommer, M.; Pester, C.W.; Colby, R.H.; et al. Glass transition temperature from the chemical structure of conjugated polymers. Nat. Commun. 2020, 11, 893. [Google Scholar] [CrossRef]
- Xi, L.; He, R.R.; Zhu, L.L.; Gao, Y.; Li, Z.Q.; Wang, C.H.; Wang, B.L. Molecular Dynamics Simulations on the Compatibility of PVC/ECA. Plastics 2020, 49, 135–138. [Google Scholar]
- Altenhofen Da Silva, M.; Adeodato Vieira, M.G.; Gomes Maçumoto, A.C.; Beppu, M.M. Polyvinylchloride (PVC) and natural rubber films plasticized with a natural polymeric plasticizer obtained through polyesterification of rice fatty acid. Polym. Test. 2011, 30, 478–484. [Google Scholar] [CrossRef]
- Yin, B.; Hakkarainen, M. Oligomeric isosorbide esters as alternative renewable resource plasticizers for PVC. J. Appl. Polym. Sci. 2011, 119, 2400–2407. [Google Scholar] [CrossRef]
- Cao, J.J.; Zhang, Y.D.; Deng, Y.Y.; Xu, X.Y. Molecular Dynamics Simulation of Carbon Nanotube Grafted Polyimide Composites of Different Sizes. Mater. Rep. 2022, 36, 215–219. (In Chinese) [Google Scholar]
- Barton, A.F.M. Solubility parameters. Chem. Rev. 1975, 75, 731–753. [Google Scholar] [CrossRef]
- Li, D.; Panchal, K.; Mafi, R.; Xi, L. An atomistic evaluation of the compatibility and plasticization efficacy of phthalates in poly(vinyl chloride. Macromolecules 2018, 51, 6997–7012. [Google Scholar] [CrossRef]
- Shi, Y.; Yao, Y.; Lu, S.; Chen, L.; Chen, S.; He, H.; Ma, M.; Wang, X. Synergistic Effect of Two Plasticizers on Thermal Stability, Transparency, and Migration Resistance of Zinc Arginine Stabilized PVC. Polymers 2022, 14, 4560. [Google Scholar] [CrossRef]
- Li, J.; Jin, S.; Lan, G.; Xu, Z.; Wang, L.; Wang, N.; Li, L. Research on the Glass Transition Temperature and Mechanical Properties of Poly(vinyl chloride)/Dioctyl Phthalate (PVC/DOP) Blends by Molecular Dynamics Simulations. Chin. J. Polym. Sci. 2019, 37, 834–840. [Google Scholar] [CrossRef]
- Dong, C.; Zheng, W.; Wang, L.; Zhen, W.; Zhao, L. Insight into glass transition temperature and mechanical properties of PVA/TRIS functionalized graphene oxide composites by molecular dynamics simulation. Mater. Des. 2021, 206, 109770. [Google Scholar] [CrossRef]
- Federica Chiellini, A. Perspectives on alternatives to phthalate plasticized poly(vinyl chloride) in medical devices applications. Prog. Polym. Sci. 2013, 38, 1067–1088. [Google Scholar] [CrossRef]
- Wei, Q.; Zhang, Y.; Wang, Y.; Chai, W.; Yang, M. Measurement and modeling of the effect of composition ratios on the properties of poly(vinyl alcohol)/poly(vinyl pyrrolidone) membranes. Mater. Des. 2016, 103, 249–258. [Google Scholar] [CrossRef]









| Cells | Cell Component | DOP Mass Ratio (%) | SDH Mass Ratio (%) | Number of Atoms | Density (g/cm3) |
|---|---|---|---|---|---|
| PVC | 2× PVC | 0 | 0 | 1204 | 1.40 |
| PVC-DOP | 2× PVC + 14× DOP | 30.43 | 0 | 2128 | 1.20 |
| PVC-DOP/SDH (7.1:2.9) | 2× PVC + 10× DOP + 4× SDH | 21.69 | 8.85 | 2128 | 1.23 |
| PVC-DOP/SDH (4.9:5.1) | 2× PVC + 7× DOP + 7× SDH | 15.17 | 15.48 | 2128 | 1.23 |
| PVC-DOP/SDH (2.8:7.2) | 2× PVC + 4× DOP + 10× SDH | 8.65 | 22.08 | 2128 | 1.24 |
| PVC-DOP/SDH (1.4:8.6) | 2× PVC + 2× DOP + 12× SDH | 4.32 | 26.47 | 2128 | 1.24 |
| PVC-SDH | 2× PVC + 14× SDH | 0 | 31.37 | 2128 | 1.24 |
Disclaimer/Publisher’s Note: The statements, opinions and data contained in all publications are solely those of the individual author(s) and contributor(s) and not of MDPI and/or the editor(s). MDPI and/or the editor(s) disclaim responsibility for any injury to people or property resulting from any ideas, methods, instructions or products referred to in the content. |
© 2025 by the authors. Licensee MDPI, Basel, Switzerland. This article is an open access article distributed under the terms and conditions of the Creative Commons Attribution (CC BY) license (https://creativecommons.org/licenses/by/4.0/).
Share and Cite
Lei, Q.; Yi, X.; Yu, W.; Cheng, J.; Ou, S.; Xue, Q.; Jiang, H. Molecular Dynamics Simulation of Plasticizing Effect of Mixed Dioctyl Phthalate and Isosorbide Diheptanoate on Polyvinyl Chloride Material. Polymers 2025, 17, 1655. https://doi.org/10.3390/polym17121655
Lei Q, Yi X, Yu W, Cheng J, Ou S, Xue Q, Jiang H. Molecular Dynamics Simulation of Plasticizing Effect of Mixed Dioctyl Phthalate and Isosorbide Diheptanoate on Polyvinyl Chloride Material. Polymers. 2025; 17(12):1655. https://doi.org/10.3390/polym17121655
Chicago/Turabian StyleLei, Qin, Xijian Yi, Wenxi Yu, Juan Cheng, Siyu Ou, Qiong Xue, and Haiyun Jiang. 2025. "Molecular Dynamics Simulation of Plasticizing Effect of Mixed Dioctyl Phthalate and Isosorbide Diheptanoate on Polyvinyl Chloride Material" Polymers 17, no. 12: 1655. https://doi.org/10.3390/polym17121655
APA StyleLei, Q., Yi, X., Yu, W., Cheng, J., Ou, S., Xue, Q., & Jiang, H. (2025). Molecular Dynamics Simulation of Plasticizing Effect of Mixed Dioctyl Phthalate and Isosorbide Diheptanoate on Polyvinyl Chloride Material. Polymers, 17(12), 1655. https://doi.org/10.3390/polym17121655

