New Modified SPEEK-Based Proton Exchange Membranes
Abstract
1. Introduction
2. Materials and Methods
2.1. Materials and Chemicals
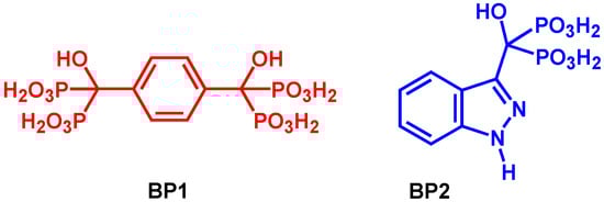
2.2. Preparation of Dopants
2.3. Preparation of SPEEK
2.4. Preparation of Membranes
2.5. Characterization of Polymers
2.5.1. Sulfonation Degree
2.5.2. Water Uptake
2.5.3. ATR-FTIR Spectroscopy
2.5.4. Proton Conductivity
2.5.5. Scanning Electron Microscopy (SEM)
2.5.6. Thermal Analysis
3. Results and Discussion
3.1. Membrane Preparation
3.2. Membrane Characterization
3.3. Proton Conductivity and Activation Energy

3.4. Thermal Properties
4. Conclusions
Author Contributions
Funding
Institutional Review Board Statement
Data Availability Statement
Acknowledgments
Conflicts of Interest
References
- Hassan, Q.; Viktor, P.; Al-Musawi, T.; Ali, B.; Algburi, S.; Alzoubi, H.; Al-Jiboory, A.; Sameen, A.; Salman, H.; Jaszczur, M. The renewable energy role in the global energy Transformations. Renew. Energy Focus 2024, 48, 100545. [Google Scholar] [CrossRef]
- Evro, S.; Oni, B.; Tomomewo, O. Carbon neutrality and hydrogen energy systems. Int. J. Hydrogen Energy 2024, 78, 1449–1467. [Google Scholar] [CrossRef]
- van der Spek, M.; Banet, C.; Bauer, C.; Gabrielli, P.; Goldthorpe, W.; Mazzotti, M.; Munkejord, S.; Rokke, N.; Shah, N.; Sunny, N.; et al. Perspective on the hydrogen economy as a pathway to reach net-zero CO2 emissions in Europe. Energy Environ. Sci. 2022, 15, 1034–1077. [Google Scholar] [CrossRef]
- Guo, S.; Liu, Q.; Sun, J.; Jin, H. A review on the utilization of hybrid renewable energy. Renew. Sustain. Energy Rev. 2018, 91, 1121–1147. [Google Scholar] [CrossRef]
- Pan, X.; Zhou, H.; Baimbetov, D.; Syrlybekkyzy, S.; Akhmetov, B.; Abbas, Q. Development Status and Future Prospects of Hydrogen Energy Technology: Production, Storage, and Cost Analysis. Adv. Energy Sustain. Res. 2025, 101, 2400451. [Google Scholar] [CrossRef]
- Ahmad, S.; Ullah, A.; Samreen, A.; Qasim, M.; Nawaz, K.; Ahmad, W.; Alnaser, A.; Kannan, A.; Egilmez, M. Hydrogen production, storage, transportation and utilization for energy sector: A current status review. J. Energy Storage 2024, 101, 113733. [Google Scholar] [CrossRef]
- Zhang, L.; Jia, C.; Bai, F.; Wang, W.; An, S.; Zhao, K.; Li, Z.; Li, J.; Sun, H. A comprehensive review of the promising clean energy carrier: Hydrogen production, transportation, storage, and utilization (HPTSU) technologies. Fuel 2024, 355, 129455. [Google Scholar] [CrossRef]
- de Sá, M. Electrochemical Devices to Power a Sustainable Energy Transition—An Overview of Green Hydrogen Contribution. Appl. Sci. 2024, 14, 2168. [Google Scholar] [CrossRef]
- Eikeng, E.; Makhsoos, A.; Pollet, B. Critical and strategic raw materials for electrolysers, fuel cells, metal hydrides and hydrogen separation technologies. Int. J. Hydrogen Energy 2024, 71, 433–464. [Google Scholar] [CrossRef]
- Alinejad, Z.; Parham, N.; Tawalbeh, M.; Al-Othman, A.; Almomani, F. Progress in green hydrogen production and innovative materials for fuel cells: A pathway towards sustainable energy solutions. Int. J. Hydrogen Energy 2025, 140, 1078–1094. [Google Scholar] [CrossRef]
- Wani, A.; Shaari, N.; Kamarudin, S.; Raduwan, N.; Yusoff, Y.; Khan, A.; Yousuf, S.; Ansari, M. Critical Review on Composite-Based Polymer Electrolyte Membranes toward Fuel Cell Applications: Progress and Perspectives. Energy Fuels 2024, 38, 18169–18193. [Google Scholar] [CrossRef]
- Kim, Y.S. Polymer Electrolytes with High Ionic Concentration for Fuel Cells and Electrolyzers. ACS Appl. Polym. Mater. 2021, 3, 1250–1270. [Google Scholar] [CrossRef]
- Pan, M.; Pan, C.; Li, C.; Zhao, J. A review of membranes in proton exchange membrane fuel cells: Transport phenomena, performance and durability. Renew. Sustain. Energy Rev. 2021, 141, 110771. [Google Scholar] [CrossRef]
- Tellez-Cruz, M.; Escorihuela, J.; Solorza-Feria, O.; Compañ, V. Proton Exchange Membrane Fuel Cells (PEMFCs): Advances and Challenges. Polymers 2021, 13, 3064. [Google Scholar] [CrossRef]
- Jana, S.; Parthiban, A.; Rusli, W. Polymer material innovations for a green hydrogen economy. Chem. Commun. 2025, 61, 3233–3249. [Google Scholar] [CrossRef]
- Mauritz, K.; Moore, R. State of understanding of Nafion. Chem. Rev. 2004, 104, 4535–4585. [Google Scholar] [CrossRef]
- Kusoglu, A.; Weber, A.Z. New Insights into Perfluorinated Sulfonic-Acid lonomers. Chem. Rev. 2017, 117, 987–1104. [Google Scholar] [CrossRef]
- Ahmad, S.; Nawaz, T.; Ali, A.; Orhan, M.; Samreen, A.; Kannan, A. An overview of proton exchange membranes for fuel cells: Materials and manufacturing. Int. J. Hydrogen Energy 2022, 47, 19086–19131. [Google Scholar] [CrossRef]
- Khomein, P.; Ketelaars, W.; Lap, T.; Liu, G. Sulfonated aromatic polymer as a future proton exchange membrane: A review of sulfonation and crosslinking methods. Renew. Sustain. Energy Rev. 2021, 137, 110471. [Google Scholar] [CrossRef]
- Hickner, M.; Ghassemi, H.; Kim, Y.; Einsla, B.; McGrath, J. Alternative polymer systems for proton exchange membranes (PEMs). Chem. Rev. 2004, 104, 4587–4611. [Google Scholar] [CrossRef]
- Iulianelli, A.; Basile, A. Sulfonated PEEK-based polymers in PEMFC and DMFC applications: A review. Int. J. Hydrogen Energy 2012, 37, 15241–15255. [Google Scholar] [CrossRef]
- Segale, M.; Seadira, T.; Sigwadi, R.; Mokrani, T.; Summers, G. A new frontier towards the development of efficient SPEEK polymer membranes for PEM fuel cell applications: A review. Mater. Adv. 2024, 5, 7979–8006. [Google Scholar] [CrossRef]
- Harun, N.; Shaari, N.; Zaiman, N. A review of alternative polymer electrolyte membrane for fuel cell application based on sulfonated poly(ether ether ketone). Int. J. Energy Res. 2021, 45, 19671–19708. [Google Scholar] [CrossRef]
- Li, X.; Ye, T.; Meng, X.; He, D.; Li, L.; Song, K.; Jiang, J.; Sun, C. Advances in the Application of Sulfonated Poly (Ether Ether Ketone) (SPEEK) and Its Organic Composite Membranes for Proton Exchange Membrane Fuel Cells (PEMFCs). Polymers 2024, 16, 2840. [Google Scholar] [CrossRef] [PubMed]
- Mahimai, B.; Sivasubramanian, G.; Sekar, K.; Kannaiyan, D.; Deivanayagam, P. Sulfonated poly (ether ether ketone): Efficient ion-exchange polymer electrolytes for fuel cell applications—A versatile review. Mater. Adv. 2022, 3, 6085–6095. [Google Scholar] [CrossRef]
- Parnian, M.; Rowshanzamir, S.; Gashoul, F. Comprehensive investigation of physicochemical and electrochemical properties of sulfonated poly (ether ether ketone) membranes with different degrees of sulfonation for proton exchange membrane fuel cell applications. Energy 2017, 125, 614–628. [Google Scholar] [CrossRef]
- He, S.; Zhai, S.; Zhang, C.; Xue, Y.; Yang, W.; Lin, J. Effect of Sulfonation Degree and PVDF Content on the Structure and Transport Properties of SPEEK/PVDF Blend Membranes. Polymers 2019, 11, 676. [Google Scholar] [CrossRef]
- Banerjee, S.; Kar, K. Impact of degree of sulfonation on microstructure, thermal, thermomechanical and physicochemical properties of sulfonated poly ether ether ketone. Polymer 2017, 109, 176–186. [Google Scholar] [CrossRef]
- Teixeira, F.; Teixeira, A.; Rangel, C. New triazinephosphonate dopants for Nafion proton exchange membranes (PEM). Beilstein J. Org. Chem. 2024, 20, 1623–1634. [Google Scholar] [CrossRef]
- Teixeira, F.; Teixeira, A.; Rangel, C. New proton conductive membranes of indazole- and condensed pyrazolebisphosphonic acid-Nafion membranes for PEMFC. Renew. Energy 2022, 196, 1187–1196. [Google Scholar] [CrossRef]
- Prykhodko, Y.; Fatyeyeva, K.; Hespel, L.; Marais, S. Progress in hybrid composite Nafion®-based membranes for proton exchange fuel cell application. Chem. Eng. J. 2021, 409, 127329. [Google Scholar] [CrossRef]
- Teixeira, F.C.; de Sa, A.I.; Teixeira, A.P.S.; Rangel, C.M. Enhanced proton conductivity of Nafion-azolebisphosphonate membranes for PEM fuel cells. New J. Chem. 2019, 43, 15249–15257. [Google Scholar] [CrossRef]
- Schuster, M.; Rager, T.; Noda, A.; Kreuer, K.; Maier, J. About the choice of the protogenic group in PEM separator materials for intermediate temperature, low humidity operation: A critical comparison of sulfonic acid, phosphonic acid and imidazole functionalized model compounds. Fuel Cells 2005, 5, 355–365. [Google Scholar] [CrossRef]
- Paddison, S.; Kreuer, K.; Maier, J. About the choice of the protogenic group in polymer electrolyte membranes: Ab initio modelling of sulfonic acid, phosphonic acid, and imidazole functionalized alkanes. Phys. Chem. Chem. Phys. 2006, 8, 4530–4542. [Google Scholar] [CrossRef]
- Steininger, H.; Schuster, M.; Kreuer, K.; Maier, J. Intermediate temperature proton conductors based on phosphonic acid functionalized oligosiloxanes. Solid State Ion. 2006, 177, 2457–2462. [Google Scholar] [CrossRef]
- Steininger, H.; Schuster, M.; Kreuer, K.; Kaltbeitzel, A.; Bingöl, B.; Meyer, W.; Schauff, S.; Brunklaus, G.; Maier, J.; Spiess, H. Intermediate temperature proton conductors for PEM fuel cells based on phosphonic acid as protogenic group: A progress report. Phys. Chem. Chem. Phys. 2007, 9, 1764–1773. [Google Scholar] [CrossRef]
- Labalme, E.; David, G.; Buvat, P.; Bigarre, J. A simple strategy based on a highly fluorinated polymer blended with a fluorinated polymer containing phosphonic acid to improve the properties of PEMFCs. New J. Chem. 2019, 43, 11141–11147. [Google Scholar] [CrossRef]
- Teixeira, F.C.; de Sa, A.I.; Teixeira, A.P.S.; Rangel, C.M. Nafion phosphonic acid composite membranes for proton exchange membranes fuel cells. Appl. Surf. Sci. 2019, 487, 889–897. [Google Scholar] [CrossRef]
- Teixeira, F.C.; Antunes, I.F.; Curto, M.J.M.; Neves, M.; Teixeira, A.P.S. Novel 1-hydroxy-1,1-bisphosphonates derived from indazole: Synthesis and characterization. Arkivoc 2009, XI, 69–84. [Google Scholar] [CrossRef]
- Teixeira, F.C.; Teixeira, A.P.S.; Rangel, C.M. Chemical stability of new nafion membranes doped with bisphosphonic acids under Fenton oxidative conditions. Int. J. Hydrogen Energy 2023, 48, 37489–37499. [Google Scholar] [CrossRef]
- Zaidi, S.; Mikhailenko, S.; Robertson, G.; Guiver, M.; Kaliaguine, S. Proton conducting composite membranes from polyether ether ketone and heteropolyacids for fuel cell applications. J. Membr. Sci. 2000, 173, 17–34. [Google Scholar] [CrossRef]
- Xing, P.; Robertson, G.; Guiver, M.; Mikhailenko, S.; Wang, K.; Kaliaguine, S. Synthesis and characterization of sulfonated poly (ether ether ketone) for proton exchange membranes. J. Membr. Sci. 2004, 229, 95–106. [Google Scholar] [CrossRef]
- Kim, A.; Vinothkannan, M.; Song, M.; Lee, J.; Lee, H.; Yoo, D. Amine functionalized carbon nanotube (ACNT) filled in sulfonated poly (ether ether ketone) membrane: Effects of ACNT in improving polymer electrolyte fuel cell performance under reduced relative humidity. Compos. Part B-Eng. 2020, 188, 107890. [Google Scholar] [CrossRef]
- Gokulakrishnan, S.; Kumar, V.; Arthanareeswaran, G.; Ismail, A.; Jaafar, J. Thermally stable nanoclay and functionalized graphene oxide integrated SPEEK nanocomposite membranes for direct methanol fuel cell application. Fuel 2022, 329, 125407. [Google Scholar] [CrossRef]
- Chuesutham, T.; Sirivat, A.; Paradee, N.; Changkhamchom, S.; Wattanakul, K.; Anumart, S.; Krathumkhet, N.; Khampim, J. Improvement of sulfonated poly(ether ether ketone)/Y zeolite -SO3H via organo-functionalization method for direct methanol fuel cell. Renew. Energy 2019, 138, 243–249. [Google Scholar] [CrossRef]
- Ranjani, M.; Al-Sehemi, A.; Pannipara, M.; Aziz, M.; Phang, S.; Ng, F.; Kumar, G. SnO2 nanocubes/bentonite modified SPEEK nanocomposite composite membrane for high performance and durable direct methanol fuel cells. Solid State Ion. 2020, 353, 115318. [Google Scholar] [CrossRef]
- Zhang, Y.; Zhang, A.; Wang, S.; Li, S. Investigation of sulfonation degree and temperature on structure, thermal and membrane’s properties of sulfonated poly (ether ether ketone). Int. J. Hydrogen Energy 2023, 48, 13791–13803. [Google Scholar] [CrossRef]
- Bano, S.; Negi, Y.; Illathvalappil, R.; Kurungot, S.; Ramya, K. Studies on nano composites of SPEEK/ethylene glycol/cellulose nanocrystals as promising proton exchange membranes. Electrochim. Acta 2019, 293, 260–272. [Google Scholar] [CrossRef]
- Teixeira, F.C.; de Sa, A.I.; Teixeira, A.P.S.; Ortiz-Martinez, V.M.; Ortiz, A.; Ortiz, I.; Rangel, C.M. New modified Nafion-bisphosphonic acid composite membranes for enhanced proton conductivity and PEMFC performance. Int. J. Hydrogen Energy 2021, 46, 17562–17571. [Google Scholar] [CrossRef]
- Cao, L.; Shen, X.; Yang, X.; Zhang, B.; Li, Z.; Gang, M.; Wang, C.; Wu, H.; Jiang, Z. Enhanced proton conductivity of proton exchange membranes by incorporating phosphorylated hollow titania spheres. RSC Adv. 2016, 6, 68407–68415. [Google Scholar] [CrossRef]
- Vinothkannan, M.; Kim, A.; Nahm, K.; Yoo, D. Ternary hybrid (SPEEK/SPVdF-HFP/GO) based membrane electrolyte for the applications of fuel cells: Profile of improved mechanical strength, thermal stability and proton conductivity. RSC Adv. 2016, 6, 108851–108863. [Google Scholar] [CrossRef]
- Gang, M.; He, G.; Li, Z.; Cao, K.; Li, Z.; Yin, Y.; Wu, H.; Jiang, Z. Graphitic carbon nitride nanosheets/sulfonated poly (ether ether ketone) nanocomposite membrane for direct methanol fuel cell application. J. Membr. Sci. 2016, 507, 1–11. [Google Scholar] [CrossRef]
- Vinothkannan, M.; Kannan, R.; Kim, A.; Kumar, G.; Nahm, K.; Yoo, D. Facile enhancement in proton conductivity of sulfonated poly (ether ether ketone) using functionalized graphene oxide-synthesis, characterization, and application towards proton exchange membrane fuel cells. Colloid Polym. Sci. 2016, 294, 1197–1207. [Google Scholar] [CrossRef]
- Gao, H.; Dong, C.; Wang, Q.; Zhu, H.; Meng, X.; Cong, C.; Zhou, Q. Improving the proton conductivity of proton exchange membranes via incorporation of HPW-functionalized mesoporous silica nanospheres into SPEEK. Int. J. Hydrogen Energy 2018, 43, 21940–21948. [Google Scholar] [CrossRef]
- Wei, P.; Sui, Y.; Zhu, B.; Meng, X.; Zhou, Q. Construction of continuous proton transport channels in SPEEK using porous titanium dioxide nanotubes. Solid State Ion. 2023, 399, 116321. [Google Scholar] [CrossRef]
- Wei, P.; Huang, D.; Luo, C.; Sui, Y.; Li, X.; Liu, Q.; Zhu, B.; Cong, C.; Zhou, Q.; Meng, X. High-performance sandwich-structure PI/SPEEK plus HPW nanofiber composite membrane with balanced proton conductivity and stability. Polymer 2023, 271, 125800. [Google Scholar] [CrossRef]
- Nuernberg, R. Numerical comparison of usual Arrhenius-type equations for modeling ionic transport in solids. Ionics 2020, 26, 2405–2412. [Google Scholar] [CrossRef]
- Kreuer, K.-D. Proton Conductivity: Materials and Applications. Chem. Mater. 1996, 8, 610–641. [Google Scholar] [CrossRef]
- Vinothkannan, M.; Kim, A.; Kumar, G.; Yoon, J.; Yoo, D. Toward improved mechanical strength, oxidative stability and proton conductivity of an aligned quadratic hybrid (SPEEK/FPAPB/Fe3O4-FGO) membrane for application in high temperature and low humidity fuel cells. RSC Adv. 2017, 7, 39034–39048. [Google Scholar] [CrossRef]
- Fu, J.; Ni, J.; Wang, J.; Qu, T.; Hu, F.; Liu, H.; Zhang, Q.; Xu, Z.; Gong, C.; Wen, S. Highly proton conductive and mechanically robust SPEEK composite membranes incorporated with hierarchical metal-organic framework/carbon nanotubes compound. J. Mater. Res. Technol. 2023, 22, 2660–2672. [Google Scholar] [CrossRef]
- Knauth, P.; Hou, H.; Bloch, E.; Sgreccia, E.; Di Vona, M. Thermogravimetric analysis of SPEEK membranes: Thermal stability, degree of sulfonation and cross-linking reaction. J. Anal. Appl. Pyrolysis 2011, 92, 361–365. [Google Scholar] [CrossRef]
- Peera, S.; Meenakshi, S.; Gopi, K.; Bhat, S.; Sridhar, P.; Pitchumani, S. Impact on the ionic channels of sulfonated poly(ether ether ketone) due to the incorporation of polyphosphazene: A case study in direct methanol fuel cells. RSC Adv. 2013, 3, 14048–14056. [Google Scholar] [CrossRef]
- Khan, M.; Shanableh, A.; Shahida, S.; Lashari, M.; Manzoor, S.; Fernandez, J. SPEEK and SPPO Blended Membranes for Proton Exchange Membrane Fuel Cells. Membranes 2022, 12, 263. [Google Scholar] [CrossRef] [PubMed]
- Barjola, A.; Escorihuela, J.; Andrio, A.; Giménez, E.; Compañ, V. Enhanced Conductivity of Composite Membranes Based on Sulfonated Poly (Ether Ether Ketone) (SPEEK) with Zeolitic Imidazolate Frameworks (ZIFs). Nanomaterials 2018, 8, 1042. [Google Scholar] [CrossRef]
- Awang, N.; Jaafar, J.; Ismail, A. Thermal Stability and Water Content Study of Void-Free Electrospun SPEEK/Cloisite Membrane for Direct Methanol Fuel Cell Application. Polymers 2018, 10, 194. [Google Scholar] [CrossRef]










| Membranes | DS (%) | Water Uptake (%) at 25 °C |
|---|---|---|
| SPEEK | 81 | 77.5 ± 1.5 |
| SPEEK | 64 | 46.2 ± 0.0 |
| SPEEK/BP1-1.0 | 64 | 50.9 ± 1.7 |
| SPEEK/BP1-2.0 | 64 | 47.2 ± 1.1 |
| SPEEK/BP2-1.0 | 64 | 49.9 ± 3.4 |
| SPEEK/BP2-2.0 | 64 | 52.1 ± 1.2 |
| Membranes | DS (%) | Conditions | Proton Conductivity (mS cm−1) | Reference | |
|---|---|---|---|---|---|
| Temperature (°C) | RH (%) | ||||
| SPEEK | 64 | 60 | 100 | 195 * | This work |
| SPEEK-BP1-2.0 | 64 | 60 | 100 | 226 * | This work |
| SPEEK-BP2-2.0 | 64 | 60 | 100 | 220 * | This work |
| SPEEK/PHTS-20 1 | 66 | 70 | 100 | 228 | [50] |
| SPEEK/CN-0.5 2 | 67 | 55 | 100 | 183 | [52] |
| GO/SPEEK 3 | 70 | 90 | 100 | 136 | [53] |
| S-GO/SPEEK 4 | 70 | 90 | 100 | 152 | [53] |
| SPEEK | n.a. | 60 | 100 | 142 | [54] |
| SPEEK/HPW 5 | n.a. | 60 | 100 | 176 | [54] |
| SPEEK/HPW@MSNs-0.5 6 | n.a | 60 | 100 | 180 | [54] |
| 1%TNT-30/SPEEK 7 | 58.9 | 60 | 100 | 103 | [55] |
| SPEEK/ACNT (1.5 wt%) 8 | 65 | 90 | 100 | 153 | [43] |
| PI/SPEEK + HPW-20 9 | 60.5 | 60 | 100 | 223 | [56] |
| SPEEK | 65 | 90 | 100 | 68 | [51] |
| SPSPVG-X hybrids 10 | 65 | 90 | 100 | 101–122 | [51] |
Disclaimer/Publisher’s Note: The statements, opinions and data contained in all publications are solely those of the individual author(s) and contributor(s) and not of MDPI and/or the editor(s). MDPI and/or the editor(s) disclaim responsibility for any injury to people or property resulting from any ideas, methods, instructions or products referred to in the content. |
© 2025 by the authors. Licensee MDPI, Basel, Switzerland. This article is an open access article distributed under the terms and conditions of the Creative Commons Attribution (CC BY) license (https://creativecommons.org/licenses/by/4.0/).
Share and Cite
Teixeira, F.C.; Teixeira, A.P.S.; Rangel, C.M. New Modified SPEEK-Based Proton Exchange Membranes. Polymers 2025, 17, 1646. https://doi.org/10.3390/polym17121646
Teixeira FC, Teixeira APS, Rangel CM. New Modified SPEEK-Based Proton Exchange Membranes. Polymers. 2025; 17(12):1646. https://doi.org/10.3390/polym17121646
Chicago/Turabian StyleTeixeira, Fátima C., António P. S. Teixeira, and Carmen M. Rangel. 2025. "New Modified SPEEK-Based Proton Exchange Membranes" Polymers 17, no. 12: 1646. https://doi.org/10.3390/polym17121646
APA StyleTeixeira, F. C., Teixeira, A. P. S., & Rangel, C. M. (2025). New Modified SPEEK-Based Proton Exchange Membranes. Polymers, 17(12), 1646. https://doi.org/10.3390/polym17121646

