Abstract
Molecularly imprinted polymers (MIPs) as well as non-imprinted polymers (NIPs) were synthesized for selective sorption of lead and terbium. The ratio of raw monomers for the terbium–MIPs’ synthesis was optimized based on the results of the synthesis of lead–MIP. It was found that the molar ratio of template/monomer/monomer/cross-linker = 1:5:5:8 was the most accurate for successful synthesis of the target MIP. As a result, the yields of the MIP and NIP on terbium were 59.3% and 61.2%, respectively. The structure of the imprinted samples was determined by FTIR spectroscopy. SEM analysis of the imprinted structures showed that the Tb–MIP contained a large number of pores compared to the NIP. The size of these pores ranged from 0.779 μm to 1.874 μm. The results of sorption experiments showed that the adsorption efficiency of Tb–MIP was seven times higher than that of NIP: the sorption degree was 70.80% for MIP and 9.95% for NIP. The imprinting factor was calculated and was equal to 7.06. The sorption process was described by the Radushkevich and pseudo-second-order kinetic models. It was shown that sorption by NIP occurred with a fast saturation of a lower Tb concentration, and the MIP’s sorption passed slower and more efficiently. The desorption degrees of Tb–MIP and NIP were 90.15% and 52.67%, respectively.
1. Introduction
Nowadays, the problem of developing really effective sorbents has become a key issue for industry. In hydrometallurgy, sorption methods are widely used to extract metals from solutions (e.g., gold, copper, heavy metals, rare earth elements). So, the extraction of target metals is presented by a wide range of sorbents, such as inorganic sorbents, chelating polymers, ion-exchange resins/membranes, polymer hydrogels, interpolymer systems, and carbon-based sorbents [1,2,3,4,5,6,7,8,9,10,11,12]. However, these technologies have a number of significant problems that limit their effectiveness and economic feasibility. Such issues can be named as follows: low selectivity of sorbents; sensitivity to solution composition; limited capacity and kinetics of sorption; regeneration and disposal problems; high cost of modern sorbents; technological difficulties [13,14,15,16,17,18,19]. Regarding this, the extraction of target metals from water media (such as environmental lakes or technological solutions) requires a new approach to the development of sorbents. The use of polymers with molecular imprints has wide potential for solving various tasks related to the recognition and isolation of target molecules from complex mixtures, as well as wastewater treatment. Molecular imprinting, as well as an ionic imprinting technique, was successfully used for recognition and sorption of different metals [20,21,22,23].
Polymers with molecular imprints (MIPs) are synthetic materials engineered with highly selective binding sites that mimic natural molecular recognition systems. These polymers contain tailor-made cavities, functionalized with specific chemical groups designed to adsorb target molecules with high specificity [24,25,26]. MIP is proposed to be used in different application fields: medicine [27,28], pharmacy [29], water purification [30], catalysis [31,32], etc. MIPs are used effectively to detect and recognize a wide spectrum of tiny chemical compounds, metal ions, and large-structured molecules such as viruses, proteins, and cells. For example, molecularly imprinted polymers were efficiently applied in the separation of various active components from plants, including flavonoids, organic acids, alkaloids, phenylpropanoids, anthraquinones, phenolics, terpenes, steroids, and diketones [33]. For biomedical purposes, MIPs are used for separation and recognition of biological small molecules and biomacromolecules [34], as well as microorganisms [35] and biologically active substrates—in particular, steroidal systems [36] and proteins [37]. Based on the recognition of biomolecules, the imprinting technique has been widely used in biomarker detection, i.e., biosensors [38,39]. In comparison with general biosensors, imprinted biosensors are characterized by fewer non-specific recognition sites. The idea of using the imprinting approach for creating sensors is described in a variety of works [40,41,42,43,44]. Detection in such sensors is based on different physical signals, e.g., colorimetric [45], electrochemical [46,47,48], and electrochemiluminescence [49]. Authors mention the high sensitivity and selectivity of such systems as the main advantages of imprinted polymers. This makes MIPs relevant and promising materials for use in various fields of science and technology.
As mentioned above, the imprinting technique was used for selective recognition and separation of different metals. Among them, several works were devoted to the sorption of rare earth metals [50,51,52,53,54,55,56], which could be found in industrial wastewaters. Filtration, chemical precipitation, neutralization, chelating ion exchange, and adsorption have all been used to remove such ions [57,58,59,60,61]. The latter method is often selected because of its efficiency, controllability, selectivity, and low cost. Imprinted polymers show more efficiency in comparison with other traditional ion exchange resins. In the case of terbium, there are not so many research studies devoted to selective recognition of this metal. For example, Jianping Li and co-authors developed a molecularly imprinted polymer sensor for the highly sensitive and selective determination of ultra-trace Tb3+ [62]. The Tb3+–ethylenediaminetetraacetic acid complex was used as the template molecule and was incorporated into mono-6-mercapto-β-cyclodextrin to form a Russian-Matryoshka-structured molecule. This structure was developed as a sensor for quantitative determination of metal, but not like a sorbent for its recovery. So, studies on the development of MIPs (along with NIPs) for selective extraction of lead and terbium were carried out in this work.
The ultimate goal of the molecular imprinting process is to generate MIPs with high specificity and affinity for the template. In theory, any species can be chosen as a target molecule, but in fact, for various reasons, not all species can be directly imprinted [63]. In some cases, due to the inability to use a certain template for detection, a template with a similar structure is applied instead. The molecular imprinting process involves four key components [25]: template (the target molecule that defines the cavity structure); functional monomer (interacts with the template to form a complementary binding site); cross-linking agent (provides structural rigidity to the polymer matrix); porogen/solvent (creates porosity, allowing template removal and subsequent analyte access). During synthesis, the functional monomer polymerizes around the template in the presence of a cross-linker, forming a rigid three-dimensional network. After polymerization, the template is removed, leaving behind cavities that precisely match the size, shape, and functional group arrangement of the target molecule. These “molecular memory” sites enable MIPs to selectively rebind the template or structurally similar compounds [24]. The sorption capacity and binding specificity of MIPs are highly dependent on the quantity, ratio, and type of reagents used in their synthesis. Therefore, selecting an optimal reagent system is crucial for achieving high-performance MIPs [64,65,66]. Therefore, the aim of this work is the development of optimal conditions for the synthesis of MIPs on lead and terbium and carrying out laboratory tests on the sorption effectiveness in relation to terbium.
2. Materials and Methods
2.1. Materials
2.1.1. Templates
Lead(II) nitrate produced by “Sigma-Aldrich” (Burlington, MA, USA) with a composition of main product ≥ 99% was used without pre-treatment.

Terbium(III) nitrate pentahydrate (Tb) in a powder form with a composition of main product ≥ 99.9% produced by “ChemCraft” (Kaliningrad, Russia) was used without pre-treatment.

2.1.2. Initiator
Azobisisobutyronitrile (AIBN) produced by “Sigma-Aldrich” (Burlington, MA, USA) in a powder form with a composition of main product ≥ 98% was used without pre-treatment.

2.1.3. Monomers
Methacrylic acid (MAA) produced by “Fluka Chemicals” (Taufkirchen, Germany) was used without pre-treatment with a purity ≥ 98%.

2-Vinylpyridine (2-VP) with a composition of main product ≥ 97% produced by “Sigma-Aldrich” (Burlington, MA, USA) was used without pre-treatment.

2.1.4. Cross-Linker
Divinylbenzene (DVB) with a technical grade of 80% produced by “Sigma-Aldrich” (Burlington, MA, USA).

2.1.5. Porogen
Toluene marked as “Pure for analysis” provided by “Skat” (Almaty, Kazakhstan) with a composition of main product ≥ 99.75% was used without pre-treatment.
2.1.6. Stabilizer
Hydroxyethyl cellulose (HEC) in a powder form with an average molecular weight of 90,000 produced by “Sigma-Aldrich” (Burlington, MA, USA) was used without pre-treatment.
2.1.7. Additional Materials
Argon was used for removing oxygen and making an inert surrounding.
Dialysis membranes with a pore size of 12–14,000 Daltons produced by “Medicell Membranes Ltd.” (UK) were used for purification of the imprinted polymers.
Ethanol produced by “TalgarSpirt” (Almaty, Kazakhstan) was used without pre-treatment with a composition of main product ≥ 96%.
Nitric acid produced by “Supelco” (Taufkirchen, Germany) with a composition of main product ≥ 98% was used without pre-treatment.
2.2. Synthesis of MIP and NIP
Synthesis of the molecularly imprinted polymer (MIP) and non-imprinted polymer (NIP) was carried out based on the following methodology [67].
Synthesis of MIP on lead. First, 1.656 g (5 mmol) of lead nitrate was dissolved in 10 mL of distilled water and in a certain amount of MAA and 2-VP in a three-necked round-bottom flask using a magnetic stirrer until the salt dissolved. The amount of monomers was determined according to the molar ratio of template/monomer-1/monomer-2/cross-linker (Table 1). Afterwards, 5 mL of toluene and 10 mL of 1% HEC solution were added, and the mixture was stirred for 15 min. Then, 5.697 mL of DVB and AIBN 1% by weight of the monomers were added and the mixture was stirred for 5 min. After that, the reaction mixture was blown up by argon for 5 min. The flask was placed in a water bath and kept for 6 h at 60 °C with constant stirring at 700–1000 rpm. The resulting mixture was centrifuged and divided into two parts. The upper oil layer was removed and the bottom water part was purified by dialysis using cellulose membranes within 4 days, the first day in ethanol, the second in distilled water, the third in a 0.05 M solution of nitric acid, and the last day in distilled water. Finally, the MIPs were freeze-dried.
Table 1.
The molar ratio of the monomers used for synthesis.
Synthesis of MIP on terbium. First, 0.3 g (0.55 mmol) of terbium salt was dissolved in 10 mL of distilled water and in 0.233 mL of MAA and 0.298 mL of 2-VP in a three-necked round-bottom flask using a magnetic stirrer until the salt dissolves. Then, 5 mL of toluene and 10 mL of 1% HEC solution were added, and the mixture was stirred for 15 min. Afterwards, 0.627 mL of DVB and 0.0053 g of AIBN were added, and the mixture was stirred for 5 min. The mixture was blown up by argon for 5 min. Then, the flask was placed in a water bath and kept for 6 h at 60 °C with constant stirring at 700–1000 rpm. The resulting mixture was centrifuged. The water part was purified by dialysis during 4 days, the first day in ethanol, the second in distilled water, the third in a 0.05 M solution of nitric acid, and the last day in distilled water, and afterwards, freeze-dried.
Synthesis of NIP. The synthesis of NIP repeated the procedure for the synthesis of MIP but without using a template. In a three-necked round-bottom flask, 10 mL of distilled water and 0.233 mL of MAA and 0.298 mL of 2-VP were mixed using a magnetic stirrer. Then, 5 mL of toluene and 10 mL of 1% HEC solution were added, and the mixture was stirred for 15 min. Afterwards, 0.627 mL of DVB and 0.0053 g of AIBN were added, and the mixture was stirred for 5 min. The mixture was blown up by argon for 5 min. Then, the flask was placed in a water bath and kept for 6 h at 60 °C with constant stirring at 700–1000 rpm. The resulting mixture was centrifuged. The water part was purified by dialysis during 4 days, the first day in ethanol, the second in distilled water, the third in a 0.05 M solution of nitric acid, and the last day in distilled water. Afterwards, the NIPs were freeze-dried.
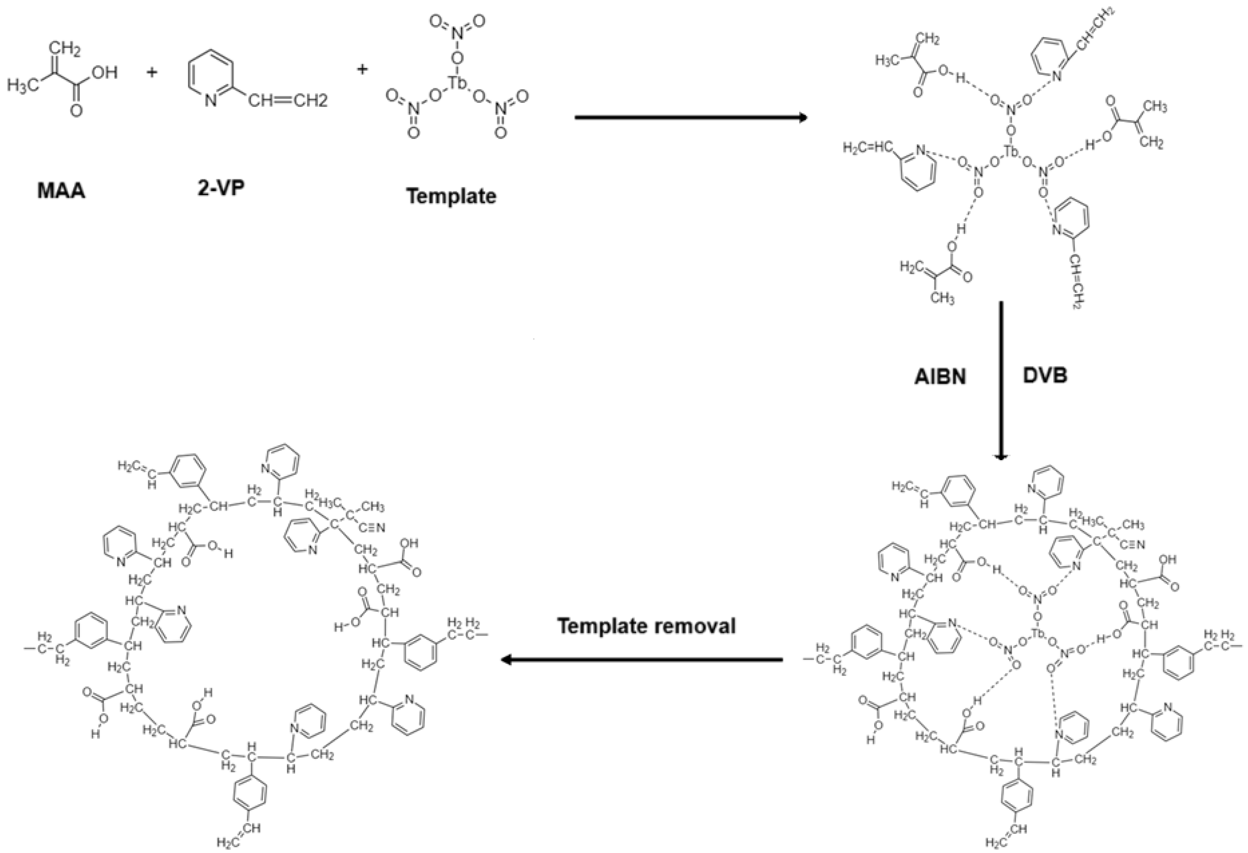
In Figure 1, a methodological scheme of the synthesis of MIP and NIP is shown.
Figure 1.
Synthesis of MIP and NIP.
2.3. Physicochemical Methods of Analysis
The freeze-drying method was used in order to obtain dried MIP and NIP. For it, synthesized copolymer was frozen at around −20 °C and then dried using a Labconco 7934030 (Kansas City, MO, USA) freeze dryer.
Fourier transform infrared (FT-IR) spectroscopy was used to identify the chemical composition of the MIPs and NIPs. The FTIR spectra were received from a Nicolet iS10 FT-IR (Waltham, MA, USA) spectrometer in the region of 4000–450 cm−1. For this, samples of MIP and NIP were crushed into powder form.
A scanning electron microscopy (SEM) study was performed with a ZEISS Crossbeam 540 (Oberkochen, Germany) apparatus to identify the morphology of the object under study.
The adsorption method was carried out in order to determine the adsorption capacity of the MIP and NIP. At first, the wavelength of the terbium solutions was determined using a concentration of 0.5 g/100 mL by a “Shimadzu UV-1900i” (Kyoto, Japan) UV–VIS spectrophotometer. Then, 5 types of solutions were prepared with different concentrations, like 0.03125, 0.0625, 0.125, 0.25, and 0.5 g/100 mL, and a calibration curve was built for terbium nitrate solutions with wavelengths of 281 nm (Figure 2). After that, 10 mL of the metal solutions were prepared with a concentration of 0.5 g/100 mL, and 0.01 g of MIP and NIP was placed into them in a glass filter. Then, using a “Shimadzu UV-1900i” (Kyoto, Japan) UV-VIS spectrophotometer, the absorbance of the solution was measured every 15 min throughout 3 h. After 24 h, a control measurement was carried out. The concentration of absorbed metal was found by subtracting the concentration of solution from the initial concentration.
Figure 2.
Calibration curve of terbium(III) nitrate.
The desorption process was carried out to define the release property of the polymer from its matrix. For this purpose, a weak solution of nitric acid was prepared with a concentration of 0.05 M (mol/L), and the samples obtained from the adsorption analysis were placed into beakers with 10 mL of this solution. As in the case of the adsorption analysis, the absorbance of the solution was measured every 15 min throughout 3 h with a wavelength for Tb of 281 nm. After 24 h, a control measurement was carried out. The concentration of desorbed metal was found by subtracting the concentration of solution from the absorbed concentration.
3. Results and Discussion
As highlighted in the literature, molecular imprinting functions like a miniature artificial “lock” designed to recognize a specific molecule, which acts as the corresponding “key” [68]. This technology enables researchers to create custom “locks” tailored to particular compounds. By treating the material, they form unique cavities that precisely match the target molecule in terms of the size, shape, and functional groups. A major advantage of these artificial receptors over natural ones is the flexibility in terms of the molecular design. Unlike natural receptors, which are typically limited to protein-based structures, artificial receptors can utilize a variety of frameworks, such as carbon chains or condensed aromatic rings, offering greater versatility.
The composition of MIP consists of some main reagents, such as monomers, initiators, cross-linkers, and porogens. The reason for choosing monomers for this research was based on work [69] where three types of sorbents were studied: using 2-VP (sorbent A), MAA (sorbent B) and both monomers taken in a molar ratio of 1:1 (sorbent C). During the synthesis of these sorbents in the presence of Boc-L-tryptophan (as a molecular template) and their subsequent use for the chromatographic separation of Boc-D,L-tryptophan racemate, it turned out that the highest values of the separation parameters were achieved on sorbent C, slightly lower—on sorbent A, and the lowest—on sorbent B. The authors believe that the presence of both monomers in the reaction mixture is necessary for the formation of a pre-polymerization complex that promotes the formation of selective adsorption centers. That is why MAA and 2-VP were chosen for the synthesis of MIP. Other components necessary were the following: initiator was AIBN, porogens were toluene and HEC, and cross-linker was DVB.
The use of AIBN as an initiator has several advantages; for example, it has a high reactivity and can initiate polymerization at low temperatures, which allows the production of polymers with a high degree of polymerization and molecular weight.
Toluene and HEC are used in the creation of MIP, because they have a certain structure that contributes to the formation of the desired porosity of the material during its synthesis, as well as the ease of removal from the resulting material [67].
In this work, MIP was obtained for the sorption of rare earth metals. To begin with, the synthesis scheme was worked out on lead, since rare earth metals are expensive.
3.1. Synthesis of the MIPs on Lead Nitrate
The formation of a stable complex between the monomer and the template molecules before polymerization is an essential requirement for the production of MIPs. That is why different molar ratios of raw materials were studied in order to obtain an effective MIP with stable bonding with the template. At first, the synthesis was carried out with proportions of 1:2:2:8 (template/monomer-1/monomer-2/cross-linker), but the polymer did not turn out. Then, synthesis was tried with 1:4:4:8, but the polymer structure turned out to be insufficiently porous. It was decided to increase the ratio to 1:5:5:8, and the result was positive. The results of these syntheses are summarized in Table 2. From these results, it can be concluded that the ratios of template and monomers of 1:2 and 1:4 are not enough to make MIP, i.e., the amount of monomers is not enough to make a pre-polymerization complex with a template.
Table 2.
Comparative characteristics between different molar ratios.
Briefly, synthesis was carried out according to the following scheme. Firstly, the template lead(II) nitrate, monomers MAA and 2-VP, and cross-linker DVB were measured and weighed in a molar ratio of 1:5:5:8, respectively. Then, the template dissolved in distilled water and the monomers were mixed in a three-necked round-bottom flask using a magnetic stirrer until homogeneity. Afterwards, toluene and HEC were added as porogens and the mixture was stirred for 15 min. DVB and initiator AIBN were added. Then, the system was blown up by argon. The flask was placed in a water bath and kept for 6 h at 60 °C with constant stirring. The resulting mixture was centrifuged in order to separate the oil part from the water part. To remove the unreacted substances and template, the dialysis process was used. To accomplish this, the water part was poured into the cellulose membranes, making them into a shape similar to “sausages”. Then, dialysis was carried out for 4 days, the first day in ethanol, the second in water, the third in a weak solution of nitric acid, and the last day in water. The solvent for the dialysis was changed several times during a day for better purification of the copolymer. After this, the MIPs were freeze-dried. After freeze-drying, porous, white-colored cotton-wool-like structures were obtained, as shown in Figure 3. Along with this, an organoleptic analysis of the resulting MIP was carried out (Table 3). In order to study the structure of the obtained MIP, the samples were transferred to IR spectroscopy for analysis of the MIP composition. The results of the IR spectroscopy analysis are shown in Figure 4, and the description of the IR spectra is indicated in Table 4.
Figure 3.
MIP on the basis of lead(II) nitrate with a 1:5:5:8 molar ratio of initial materials.
Table 3.
Organoleptic analysis for lead nitrate MIP.
Figure 4.
IR spectroscopy of the MIP of lead(II) nitrate.
Table 4.
Characteristics of the IR spectrum frequencies for MIP of lead(II) nitrate.
According to the obtained IR spectra (Figure 4) of the MIP on lead(II) nitrate, the following description can be made. The broad band with a peak at 3433.32 cm−1 could be defined as an -OH group with hydrogen bonding. The band at 1626.25 cm−1 is characteristic of carboxylate anion. Also, a narrow peak is observed at 1474.38 cm−1, which can be relative to an -CH2-CO- group. All these bands could characterize the functional group of methacrylic acid. The second monomer 2-VP could be defined in the IR spectrum by the intensive broad band at 1063.98 cm−1. The valence oscillation of the -CH2- group is usually in the form of several either weak or variable-intensity bands with a wavenumber of 2926.46 cm−1. The shifts of the peaks in the IR spectrum could be explained by the macromolecular structure of the obtained MIP and the possible steric effects of monomeric functional groups.
Thus, the synthesis at this molar ratio of 1:5:5:8 was successful, and further, the synthesis of Tb was carried out according to this developed procedure.
3.2. Synthesis of MIP on Terbium Nitrate
After an optimal ratio was found for obtaining an imprinted porous structure, the MIP of terbium nitrate was synthetized by the methodology used for obtaining MIP on lead(II) nitrate. Synthesis of NIP was carried out in the same way as for MIP, but without a template. For this reason, the pores specific to the template were not formed. The MIP and NIP on terbium nitrate are shown in Figure 5.
Figure 5.
MIPs and NIPs after freeze-drying: (a) MIP of terbium; and (b) NIP of terbium.
According to the conducted organoleptic analysis, it can be noticed that the MIPs are spongier in structure and have a large number of cavities compared to the NIPs. Since a template is used in the synthesis of MIP, the polymers retain the shape and size of the template, and the NIP has cavities of different shapes, so the structure is denser and more heterogeneous, unlike the MIP, which has a homogeneous structure. They do not differ in color, as all the polymers are white.
3.2.1. Yield of the Products
The yield of the reaction product is the ratio of the mass of the resulting product to the mass that should theoretically be obtained. The theoretical mass of the copolymers was taken as the total mass of the monomers used (Table 5).
Table 5.
Theoretical mass of the products.
The yield of the products was calculated by the following formula:
Yield of the MIP of terbium:
Yield of the NIP of terbium:
As can be seen from the calculations, the yield of the products ranged from 59 to 62 percent, which is an average value. A possible reason why the yield was not more than 80 percent is because there is a possibility that active polymerization did not take place everywhere. The ratio of the monomers was taken based on the literature data and previously performed experiments on metals. Such an output is due to the fact that not all the monomers were able to enter the pre-polymerization complex. Accordingly, less product was obtained.
The difference between the MIP and NIP yields was around 3%, and the mass of the NIP final product was slightly larger than the MIP. This can be explained by the fact that not all the monomers were able to bind and form a pre-polymerization complex due to the steric effect, and the formed pre-polymerization complexes could not turn into MIP.
Also, another reason could be that the synthesis of the MIP may occur under conditions that are not always ideal for obtaining a high yield of the product. Various factors, such as the temperature and reaction time, can affect the yield of the product and lead to a low yield.
Since MIPs contain molecular imprints, they have a complex three-dimensional structure. During the synthesis process, MIP particles can bind to each other or to other particles of the material, which can lead to a decrease in the particle size and, as a consequence, to a decrease in the polymer yield.
Thus, the yield of the MIPs may be less than the theoretical yield due to various factors listed above.
The obtained imprinted polymer structures were analyzed by IR spectroscopy, the results are shown in Figure 6 and the description is provided in Table 6.
Figure 6.
IR spectroscopy of the terbium(III) nitrate’s MIP (red line) and NIP (black line).
Table 6.
Characteristics of the IR spectrum frequencies for terbium(III) nitrate.
According to the obtained IR spectra (Figure 6) of the MIP and NIP on terbium(III) nitrate, the following description can be offered. A broad intensive band is observed at 3246.44 and 3293.79 cm−1 for both samples. It could be defined as OH- groups; more exactly, intra- and intermolecular hydrogen bonding in the polymers. The valence oscillation of the -CH2- group is usually in the form of several either weak or variable-intensity bands with a wavenumber of 2956.93 cm−1 for Tb-MIP and 2918.33 cm−1 for NIP. For both samples, bands relative to the carboxylic group in MAA could be found on the IR spectrum: -COO- at 1597.10 cm−1 for Tb-MIP and 1601.07 cm−1 for NIP; -CH2-CO- at 1407.65 cm−1 for Tb-MIP and 1406.63 cm−1 for NIP. All these band characterize the presence of MAA in the composition of the MIP and NIP. The presence of the second monomer 2-VP could be proved by the very intensive and narrow band at 1027.51 cm−1 for MIP and 1026.89 cm−1 for NIP, which is characteristic of a pyridine ring. Also, the band of 1,3-substitution in the benzene ring could be observed in the IR spectrum, which proves the presence of the cross-linker DVB in the imprinting structures.
Based on the analysis of the IR spectra, as well as based on the literature data, it is possible to characterize how the reaction took place (Figure 7).
Figure 7.
Schematic representation of the chemical reaction process for MIP production.
In the synthesis of the MIPs and NIPs, it is proposed that the method of non-covalent imprinting was used. In the non-covalent imprinting approach, a highly cross-linked polymer containing template molecules is generated during the polymerization of functional monomers with a large amount of cross-linking reagent in the presence of template molecules. At the first stage, to form a pre-polymerization complex, terbium nitrate is added to the mixture along with monomers to create molecular imprints. With non-covalent imprinting, the template binds with the monomers due to the hydrogen bond, the O⋯H bond is formed with MAA, and the N⋯H bond is formed with 2-VP. Then, an initiator AIBN is added to the mixture, which undergoes thermal decomposition with the formation of radical polymerization centers. Along with the initiator, a binding agent divinylbenzene is added, which just makes it possible to make cross-connections between the fingerprint and free functional groups of DVB.
As a result, the molecular imprints bind to each other and to the DVB, forming a network in which the molecular imprints remain permanent. In addition, DVB causes a narrowing of the pores in the structure, which increases the efficiency of extracting target molecules from the solution. After polymerization, the material is subjected to the extraction of a template that leaves empty spaces inside the polymer structure with the shape of a molecular imprint of terbium nitrate. The resulting polymer is separated from the remaining solution, and then, it is cyclically treated with some solutions to remove terbium and other undesirable impurities.
3.2.2. Scanning Electron Microscopy
SEM provides an extensive view of the surface properties of the MIP material, including the size, shape, porosity and density. SEM can be used to analyze the quality of the MIP polymer, such as the damage, cracks in the structure, regularity and smoothness of the surface of the MIP material.
In addition, SEM analysis can help establish a connection between the features of the MIP surface and its properties, such as adsorption and desorption. This type of analysis can help develop more efficient methods for selectively extracting and separating target molecules from complex mixtures.
According to the obtained SEM pictures of the MIP (Figure 8) and NIP (Figure 9), it is visually noticeable that the MIP has more pores compared to the NIP. It indicates that the presence of the template (terbium salt) during the synthesis of the MIP leads to the occurrence of cavities (pores) in the structure of the polymer. The size of these pores ranges from 0.779 μm to 1.874 μm. This proves once again that the synthesis was successful.
Figure 8.
SEM picture of the MIP based on terbium(III) nitrate.
Figure 9.
SEM picture of the NIP.
3.2.3. Sorption and Desorption Properties of the MIPs and NIPs
The sorption properties of the MIPs are based on their specific structure. These properties are explained by the processes of selective recognition of molecules in the presence of other molecules. It is caused by the presence of the molecular imprints that are created during the synthesis of the MIP polymer. The characteristic of the template determines the specificity, and hence, the ability of the MIP to adsorb specific molecules. Thus, the sorption and desorption properties of the MIPs ensure their use in various fields, such as chromatography, sensors, catalysts, membrane processes, etc.
In this regard, in this work, research was conducted on the adsorption and desorption of Tb from MIP and NIP. For this purpose, the wavelength of the solutions of terbium with a concentration of 0.5 g/100 mL was determined. The wavelength was 281 nm. After that, 10 mL of each metal solution was prepared, and the MIP and NIP were placed into them in a glass filter. Then, using a spectrophotometer, the absorbance of the solution was measured every 15 min throughout 3 h. After 24 h, a control measurement was carried out.
Along with the sorption of Tb on the MIP, the sorption on the NIP was also carried out on a comparative basis. The changing of the terbium concentration during sorption by the MIP and NIP is shown in Figure 10. From this graph, we can see that for the MIP, the sorption was active for 2 h and reached a concentration of 0.353 g/100 mL in a sorbent, and then, the value was constant. For the NIP, the sorption was active for more than 1 h, and after that, the value reached 0.050 g/100 mL in a sorbent and become constant. Based on the results in Figure 10, in order to evaluate the adsorption efficiency of the MIP and NIP, the sorption degree and sorption capacity were calculated.
Figure 10.
Change of the concentration of Tb during adsorption: in the solution studied (a); and in the MIP and NIP (b).
The following equations were used for the calculations of the sorption parameters:
Sorption degree:
where C0 is an initial concentration of terbium nitrate in a solution, g/100 mL; and Cequilbrium is a concentration of terbium nitrate in a solution at a certain time interval, g/100 mL.
Sorption capacity:
where C0 is an initial concentration of terbium nitrate in a solution, g/100 mL; Cequilbrium is a concentration of terbium nitrate in a solution at a certain time interval, g/100 mL; Vsolution is a volume of solution of terbium nitrate taken for sorption experiments, mL; and msorbent is a mass of MIP/NIP taken for sorption experiments, g.
The sorption degree of terbium on the MIP and NIP is shown on Figure 11, while the sorption capacity of the MIP and NIP is shown on Figure 12. From the data, we can conclude that the most active sorption is observed during 120 min (2 h); the sorption degree is 70.80% for MIP and 9.95% for NIP; and the sorption capacity is 3.54 g/g for MIP and 0.50 g/g for NIP. The Tb sorption character is different for MIP and NIP—in the case of NIP, the activity of sorption is observed at one hour, after what the values of the concentration and sorption properties become constant. Also, control measurements after 24 h were performed, and the values of the sorption parameters are presented in Table 7. Based on the results, it can be concluded that the adsorption efficiency of the MIP is seven times greater than that of the NIP.
Figure 11.
Sorption degree of the MIP and NIP in relation to Tb.
Figure 12.
Sorption capacity of the MIP and NIP in relation to Tb.
Table 7.
Sorption parameters of the MIP and NIP in relation to Tb after 24 h.
Based on the obtained results, the imprinting factor (IF) was calculated [71]:
For the calculations, the values of the Tb concentration in the MIP and NIP were taken. The IF is a key parameter used to evaluate the effectiveness of the synthetized MIP in selectively recognizing and binding the target molecule (template). It quantifies the enhanced binding affinity of the MIP compared to the NIP, which lacks the template-specific binding sites.
Interpretation of the IF values can be performed as follows [71]:
- IF = 1: No imprinting effect (MIP performs similarly to NIP).
- IF > 1: Successful imprinting (MIP has higher affinity for the template).
- IF < 1: Poor imprinting or non-specific binding issues.
It can be concluded that the synthesized MIP on Tb has a high affinity for the target molecule, and it correlates with the results of the sorption experiments and SEM images.
In order to evaluate the sorbents (MIP and NIP), the pseudo-second-order (PSO) kinetic model and Radushkevich kinetic model were used.
3.2.4. Pseudo-Second-Order Kinetic Model
The non-linear PSO equation can be presented as follows:
where qe is an equilibrium sorption capacity, mg/g; qt is an amount adsorbed at time t, mg/g; and k2 is a PSO rate constant, g/(mg × min).
For the calculation of k2 and qe, the above-mentioned equation should be linearized:
Using the sorption data, the curve of t/qt = f(t) is plotted (Figure 13 and Figure 14), from which the following parameters could be found:
Figure 13.
PSO kinetic model’s curve for the MIP.
Figure 14.
PSO kinetic model’s curve for the NIP.
The obtained PSO kinetic rate constants for the MIP and NIP are realistic but seem counterintuitive at first glance. The higher values of k2 for the NIP means faster sorption (but this is not always better). For a proper comparison of the MIP and NIP sorption properties, it is necessary to calculate the initial sorption rate:
Also, the time taken to reach 50% saturation (t1/2) should be calculated:
The MIP has a higher effective rate than the NIP despite the MIP having a lower k2. The NIP reaches 50% saturation slightly faster (42.1 vs. 54.4 min), but its total capacity is 7.4 times lower (0.65 vs. 4.83 mg/g). The MIP sorbs slower per mass unit but removes far more target metal overall.
The NIP has a lower qe, which indicates that the adsorbent saturates quickly (low capacity); it may show a high k2 because equilibrium is reached faster, but the total uptake is poor. In other words, the NIP might bind adsorbates weakly but rapidly. It can be explained by binding to limited sites or weak surface interactions (high k2 + low qe), while in the case with MIP, slower but more extensive adsorption is observed (low k2 + high qe). Consequently, the NIP can be considered a sprinter (fast but tires quickly) while the MIP is a marathon runner (slower start but much higher total uptake).
For the evaluation of the sorbent from the PSO kinetic model point of view, the following should be taken in account:
- (1)
- Joint comparison of h and qe for the studied sorbents;
- (2)
- High k2 ≠ “better”—it is only better if the qe is also high.
3.2.5. Radushkevich Kinetic Model
The non-linear type of Radushkevich equation can be presented as follows:
where qe is an equilibrium sorption capacity (from the experimental data), mg/g; qt is an amount adsorbed at time t, mg/g; k2—is a Radushkevich rate constant, min−1; and t is a time, min.
After linearization, the equation is:
Using the sorption data, the curve of ln(1 − qt/qe) = f(t) is plotted (Figure 15 and Figure 16), from which the following parameter could be found:
Figure 15.
Radushkevich kinetic model’s curve for the MIP.
Figure 16.
Radushkevich kinetic model’s curve for the NIP.
A higher Kr means faster sorption kinetics—in our case, the MIP has a slightly higher Kr (0.0267 vs. 0.0258 min−1), which means that it reaches equilibrium marginally faster than the NIP.
As mentioned above, the PSO model suggested that the NIP has a higher k2 but much lower qe. The Radushkevich model shows similar Kr values, meaning the kinetics are comparable, but the MIP wins due to its higher capacity qe.
Kr reflects the diffusion rates in porous adsorbents—a higher Kr means faster diffusion into pores, while a lower Kr means slower diffusion (e.g., due to smaller pores or stronger adsorbate–adsorbent interactions).
But the Kr alone does not determine the “best” sorbent—the equilibrium capacity (qe) is a critical parameter.
Possible reasons why the MIP has a slightly higher Kr:
- Similar pore structures: If both sorbents have comparable porosity, their diffusion rates (Kr) may differ only slightly.
- Dominance of qe: The MIP may have more adsorption sites (higher qe), even if the kinetics are similar.
Also, for the evaluation of a material as a sorbent, desorption must be carried out along with adsorption. The desorption process shows the ability of the MIP to release the target molecules that were previously bound inside the polymer matrix. On the other hand, desorption means a process that allows the MIP to desorb the adsorbed molecules from its structure back into the reactive medium. At the same time, the specificity of the MIPs means that it is possible to extract ions for their further use and reuse them. To release bound molecules from the MIP, a solvent change desorption method was used. The work was performed with the same scheme as adsorption, but 0.05 M nitric acid was used as a solvent instead of water.
The change of the Tb concentration in the solution and in the MIP and NIP is shown in Figure 17. In the case with the MIP, the concertation of Tb increases in the solution (along with a decrease in the polymer) for 150 min (2.5 h), and after that time, desorption stops. At this time, the concentration of Tb in solution is 0.32 g/100 mL. The desorption of Tb from the NIP matrix occurs very slightly, constant values of the Tb concentration are observed after 60 min (1 h), and the concentration of Tb in the solution is 0.026 mg/100 mL. These values remain constant up to the control measurement after 24 h.
Figure 17.
Concentration of Tb during desorption: in the solution studied (a); and in the MIP and NIP (b).
Figure 18 represents the desorption degree of Tb from the MIP and NIP. The desorption degree of Tb (MIP) increases sharply, reaching its final values 90.15% after 150 min, while this parameter for the NIP increases intensively for 1 h, after which the further increase is very slight—the final value of the parameter is 52.67%. In Table 8, the values of the desorption degree after 24 h are presented. Based on the results shown in Table 8, it can be concluded that the NIPs show low desorption properties compared to the MIPs.
Figure 18.
Desorption degree of Tb.
Table 8.
Desorption degree of Tb from the MIP and NIP matrix after 24 h.
Comparison of the sorption/desorption properties of the MIP and NIP shows that the MIPs have some advantages over the NIPs. The MIPs are able to selectively bind only the target molecules due to the molecular imprints that have the same shape and chemical properties of the analyte. The NIPs do not have such a level of specificity and can bind various molecules, which makes it difficult to use them in analysis and purification tasks. Due to their high selectivity, the MIPs can be more effective in binding the target molecules than the NIPs, since they can distinguish the target molecules from other components much more accurately. The MIPs have improved kinetic properties, such as faster and more uniform binding of the target molecules, which provides a faster purification process. Thus, the MIPs demonstrate improved sorption properties, which makes them more promising for application in various fields.
4. Conclusions
Based on the obtained data, the following conclusions can be drawn:
- (1)
- The synthesis conditions for obtaining molecularly imprinted structures with lead and terbium salts as the templates are developed. The molar ratio of template/monomer/monomer/cross-linker = 1:5:5:8 is the most accurate for the successful synthesis of MIP along with NIP.
- (2)
- MIPs contain large number of pores in comparison with NIPs, what is evidenced by the SEM analysis.
- (3)
- A mechanism for obtaining MIP with a terbium template is suggested. The reaction is supposed to promote the hydrogen bonding of the salt part of rare earth metals with the carboxylic groups of methacrylic acid and the nitrogen groups of 2-vinylpyridine through the further polymerization of the monomers with the help of the cross-linker and initiator.
- (4)
- The sorption effectiveness (in view of the studied sorption properties) of the developed MIP is more than seven times higher in comparison with the NIP. According to the PSO kinetic model, the NIP might bind adsorbates weakly but rapidly, while in the case with the MIP, slower but more extensive adsorption is observed.
- (5)
- The desorption process of terbium from MIP and NIP allows extraction of 89.73% and 52.25% of the metal, respectively.
Based on the above-mentioned findings, it can be concluded that the developed MIPs can be considered promising new-generation sorbents for the selective sorption of target rare earth metals in industry.
Author Contributions
Conceptualization, L.A., R.K.; data curation, L.A., Y.M., A.B., R.K.; formal analysis, L.A., Y.M., R.K.; funding acquisition, Y.M., R.K.; investigation, L.A., Y.M., A.B., R.K.; methodology, L.A., R.K.; project administration, L.A.; resources, Y.M., R.K.; supervision, L.A., R.K.; validation, L.A., Y.M.; visualization, Y.M., R.K.; writing—original draft, L.A., Y.M., A.B., R.K.; writing—review and editing, L.A., R.K. All authors have read and agreed to the published version of the manuscript.
Funding
This research is funded by the Ministry of Science and Higher Education of the Republic of Kazakhstan, grant numbers AP19174288, AP19674527, and AP13067631.
Institutional Review Board Statement
Not applicable.
Data Availability Statement
The data presented in this study are available upon request from the corresponding author.
Acknowledgments
The authors thank Munziya Abutalip (Nazarbayev University, Astana, the Republic of Kazakhstan) for conducting the SEM analysis of the imprinted and non-imprinted structures. The authors thank Gulziya A. Seilkhanova and Akmaral Rakhym (Al-Farabi Kazakh National University, Almaty, the Republic of Kazakhstan) for consulting about the calculations of the rate constants of the sorption for MIP and NIP.
Conflicts of Interest
The authors declare no conflicts of interest.
Abbreviations
The following abbreviations are used in this manuscript:
| MIP | Molecularly imprinted polymer |
| NIP | Non-imprinted polymer |
| SEM | Scanning electron microscopy |
| FTIR | Fourier transform infrared spectroscopy |
| IF | Imprinting factor |
| MAA | Methacrylic acid |
| 2-VP | 2-vinylpyridine |
| DVB | Divinylbenzene |
| EGDMA | Ethylene glycol dimethacrylate |
| HEC | Hydroxyethyl cellulose |
| AIBN | Azobisisobutyronitrile |
References
- Samonin, V.V.; Spiridonova, E.A.; Khokhlachev, S.P.; Podvyaznikov, M.L. Promising Directions for Production and Application of Inorganic Sorbent Materials. Russ. J. Inorg. Chem. 2024, 69, 392–397. [Google Scholar] [CrossRef]
- Fuchs, A.; Smith, S.V.; Hollis, J.; Thorogood, G.; Griffth, C. Separation of 143Pr and 143Ce using hexagonal tungsten bronze inorganic sorbents. J. Label. Comp. Radiopharm. 2005, 48, S113. [Google Scholar]
- Hao, L.; Fang, X.; Chen, Y.F.; Ren, X.J. Properties of Europium (III) chelating polymer film. Adv. Mater. Res. 2013, 750–752, 836–839. [Google Scholar] [CrossRef]
- Sargsyan, S.H.; Margaryan, K.S. Polymer chelates of Fe, Co, and Ni based on 5-ethynyl-2H-tetrazole. Russ. J. Gen. Chem. 2014, 84, 1385–1388. [Google Scholar] [CrossRef]
- Melnikov, Y.A.; Ergozhin, E.E.; Chalov, T.K.; Nikitina, A.I. Sorption of chromium (VI) ions by anionites based on epoxidized derivatives of aniline and benzylamine. Life Sci. J. 2014, 11, 252–254. [Google Scholar]
- Melnikov, Y.A.; Ergozhin, E.E.; Chalov, T.K.; Nikitina, A.I. The anion exchange resin based on diglycidyl benzylamine and polyethylenimine to extract perrenate ions. Int. J. Chem. Sci. 2015, 13, 990–996. [Google Scholar]
- Ergozhin, E.E.; Chalov, T.K.; Kovrigina, T.V.; Melnikov, E.A.; Nikitina, A.I. Performance of anion exchangers based on aniline, epichlorohydrin, and polyamines in sorption of molybdenum(VI) ions. Russ. J. Appl. Chem. 2017, 90, 769–774. [Google Scholar] [CrossRef]
- Ergozhin, E.E.; Chalov, T.K.; Kovrigina, T.V.; Mel’nikov, E.A. Study of Sorption Properties for Lead(II) Ions Exhibited by Anion Exchangers Synthesized on the Basis of Aromatic Hydrocarbons, Epichlorohydrin, and Polyethyleneimine. Russ. J. Appl. Chem. 2018, 91, 1471–1477. [Google Scholar] [CrossRef]
- Ergozhin, E.E.; Chalov, T.K.; Kovrigina, T.V.; Melnikov, Y.A.; Begenova, B.E. Baromembrane technologies for purification of industrial wastes, using pulse water treatment. Bull. Karaganda Univ. Chem. Ser. 2020, 98, 83–91. [Google Scholar] [CrossRef]
- Ergozhin, E.E.; Chalov, T.K.; Kovrigina, T.V.; Melnikov, Y.A. Physicochemical and sorption properties of anionites based on aromatic amines, epichlorohydrin and polyethylenimine with regard to strontium (II) ions. J. Environ. Treat. Tech. 2020, 8, 1568–1573. [Google Scholar] [CrossRef]
- Melnikov, Y.; Kondaurov, R.; Agibayeva, L. Effect of Lanthanum Sorption on the Behavior of Rarely Crosslinked Acidic and Basic Polymer Hydrogels during Remote Interaction. Polymers 2023, 15, 1420. [Google Scholar] [CrossRef]
- Skripkina, T.; Belokozenko, M.; Shatskaya, S.; Tikhova, V.; Lomovskiy, I. Concentrating rare earth elements in brown coal humic acids by mechanochemical treatment. RSC Adv. 2021, 11, 36016–36022. [Google Scholar] [CrossRef] [PubMed]
- Hubicki, Z.; Wawrzkiewicz, M.; Wolowicz, A. Application of Ion Exchange Methods in Recovery of Pd(II) Ions—A Review. Chem. Anal. 2008, 53, 759–784. [Google Scholar]
- Apostol, L.C.; Gavrilescu, M. Application of natural materials as sorbents for persistent organic pollutants. Environ. Eng. Manag. J. 2009, 8, 243–252. [Google Scholar] [CrossRef]
- Wawrzkiewicz, M. Use of various sorbents in removal of dyes from aqueous solutions and industrial wastewaters. Przem. Chem. 2012, 91, 45–52. [Google Scholar]
- Rosenberg, E.; Pinson, G.; Tsosie, R.; Tutu, H.; Cukrowska, E. Uranium Remediation by Ion Exchange and Sorption Methods: A Critical Review Various types of solid phase sorbents are studied and evaluated. Johns. Matthey Technol. Rev. 2016, 60, 59–77. [Google Scholar] [CrossRef]
- Balram; Kaith, B.S. Removal of hazardous metal ions from polluted water using biomaterial-based ion-exchangers: A review. Mater. Today-Proc. 2022, 53, 174–178. [Google Scholar] [CrossRef]
- Vijayan, P.P.; Chithra, P.G.; Krishna, S.V.A.; Ansar, E.B.; Parameswaranpillai, J. Development and Current Trends on Ion Exchange Materials. Sep. Purif. Rev. 2024, 53, 40–60. [Google Scholar] [CrossRef]
- Alimuddin, S.A.; Khan, S.A. Developments in synthesis, characterization and applications of tin(IV) based composite ion ex-changers: A review. J. Coord. Chem. 2024, 77, 2279–2294. [Google Scholar] [CrossRef]
- Keçili, R.; Hussain, C.G.; Ghorbani-Bidkorpeh, F.; Hussain, C.M. Environmentally-friendly ion imprinted polymers (IIPs) towards metal pollutants in environmental samples: Recent advances and future prospects. TrAC Trends Anal. Chem. 2025, 184, 118132. [Google Scholar] [CrossRef]
- Zhou, X.; Wang, B.; Wang, R. Insights into ion-imprinted materials for the recovery of metal ions: Preparation, evaluation and application. Sep. Purif. Technol. 2022, 298, 121469. [Google Scholar] [CrossRef]
- Fu, J.Q.; Wang, X.Y.; Li, J.H.; Chen, L.X. Ion Imprinting Technology for Heavy Metal Ions. Prog. Chem. 2016, 28, 83–90. [Google Scholar] [CrossRef]
- Lazar, M.M.; Ghiorghita, C.-A.; Dragan, E.S.; Humelnicu, D.; Dinu, M.V. Ion-Imprinted Polymeric Materials for Selective Adsorption of Heavy Metal Ions from Aqueous Solution. Molecules 2023, 28, 2798. [Google Scholar] [CrossRef] [PubMed]
- Huang, Y.; Wang, R. Review on Fundamentals, Preparations and Applications of Imprinted Polymers. Curr. Org. Chem. 2018, 22, 1600–1618. [Google Scholar] [CrossRef]
- Cormack, P.A.G.; Elorza, A.Z. Molecularly imprinted polymers: Synthesis and characterization. J. Chromatogr. B 2004, 804, 173–182. [Google Scholar] [CrossRef]
- Yan, H.Y.; Row, K.H. Characteristic and Synthetic Approach of Molecularly Imprinted Polymer. Int. J. Mol. Sci. 2006, 7, 155–178. [Google Scholar] [CrossRef]
- Chen, H.X.; Guo, J.H.; Wang, Y.; Dong, W.L.; Zhao, Y.J.; Sun, L.Y. Bio-Inspired Imprinting Materials for Biomedical Applications. Adv. Sci. 2022, 9, e2202038. [Google Scholar] [CrossRef]
- Neves, M.I.; Wechsler, M.E.; Gomes, M.E.; Reis, R.L.; Granja, P.L.; Peppas, N.A. Molecularly Imprinted Intelligent Scaffolds for Tissue Engineering Applications. Tissue Eng. Part B-Rev. 2017, 23, 27–43. [Google Scholar] [CrossRef]
- Zaidi, S.A. Molecular imprinted polymers as drug delivery vehicles. Drug Deliv. 2014, 23, 2262–2271. [Google Scholar] [CrossRef]
- Noor, M.; Iqbal, K.M.; Kanwal, T.; Rehman, K.; Ali, M.; Shah, M.R. Synthesis and characterization of modified silica nano-particles based molecularly imprinted polymers as a sensor for selective detection of pendimethalin from drinking water. J. Mol. Struct. 2023, 1287, 135635. [Google Scholar] [CrossRef]
- Li, W.; Li, S.J. Molecular Imprinting: A Versatile Tool for Separation, Sensors and Catalysis. In Oligomers Polymer Composites Molecular Imprinting. Advances in Polymer Science; Springer: Berlin/Heidelberg, Germany, 2007; p. 206. [Google Scholar] [CrossRef]
- Alexander, C.; Davidson, L.; Hayes, W. Imprinted polymers: Artificial molecular recognition materials with applications in synthesis and catalysis. Tetrahedron 2003, 59, 2025–2057. [Google Scholar] [CrossRef]
- Zhang, L.X.; Yu, H.; Chen, H.F.; Huang, Y.H.; Bakunina, I.; de Sousa, D.P.; Sun, M.N.; Zhang, J.Y. Application of molecular imprinting polymers in separation of active compounds from plants. Fitoterapia 2022, 164, 105383. [Google Scholar] [CrossRef] [PubMed]
- Zhang, N.; Xu, Y.R.; Li, Z.L.; Yan, C.R.; Mei, K.; Ding, M.L.; Ding, S.C.; Guan, P.; Qian, L.W.; Du, C.B.; et al. Molecularly Imprinted Materials for Selective Biological Recognition. Macromol. Rapid Commun. 2019, 40, e1900096. [Google Scholar] [CrossRef]
- He, Y.F.; Pang, Y.Q.; Ge, C.; Xu, Y. Molecular Imprinted Technology-based on Sensing Detection of Bacteria. Prog. Biochem. Biophys. 2023, 50, 1319–1329. [Google Scholar] [CrossRef]
- Davidson, L.; Hayes, W. Molecular Imprinting of Biologically Active Steroidal Systems. Curr. Org. Chem. 2002, 6, 265–281. [Google Scholar] [CrossRef]
- Pidenko, P.S.; Presnyakov, K.Y.; Burmistrova, N.A. Proteins: Templates and Matrices in Molecular Imprinting. J. Anal. Chem. 2023, 78, 953–964. [Google Scholar] [CrossRef]
- Lv, T.J.; Chen, T.T.; Zhu, Z.Y.; Haotian, R.; Luo, A.Q.; Liang, A.X. Application of Oriented Molecular Imprinting Biosensors in Biomarker Detection. J. Anal. Test. 2024, 8, 553–568. [Google Scholar] [CrossRef]
- Ertürk, G.; Mattiasson, B. Molecular Imprinting Techniques Used for the Preparation of Biosensors. Sensors 2017, 17, 288. [Google Scholar] [CrossRef]
- Saylan, Y.; Yilmaz, F.; Ozgur, E.; Derazshamshir, A.; Yavuz, H.; Denizli, A. Molecular Imprinting of Macromolecules for Sensor Applications. Sensors 2017, 17, 898. [Google Scholar] [CrossRef]
- Bhogal, S.; Kaur, K.; Malik, A.K.; Sonne, C.; Lee, S.S.; Kim, K.H. Core-shell structured molecularly imprinted materials for sensing applications. TrAC Trends Anal. Chem. 2020, 133, 16043. [Google Scholar] [CrossRef]
- Pohanka, M. Sensors Based on Molecularly Imprinted Polymers. Int. J. Electrochem. Sci. 2017, 12, 8082–8094. [Google Scholar] [CrossRef]
- Cao, Y.; Feng, T.; Xu, J.; Xue, C. Recent advances of molecularly imprinted polymer-based sensors in the detection of food safety hazard factors. Biosens. Bioelectron. 2023, 420, 111447. [Google Scholar] [CrossRef] [PubMed]
- Zhang, Y.; Zhang, J.; Liu, Q. Gas Sensors Based on Molecular Imprinting Technology. Sensors 2017, 17, 1567. [Google Scholar] [CrossRef] [PubMed]
- Wang, S.T.; Xu, S.F.; Zhou, Q.Q.; Liu, Z.M.; Xu, Z.G. State-of-the-art molecular imprinted colorimetric sensors and their on-site inspecting applications. J. Sep. Sci. 2023, 46, e2201059. [Google Scholar] [CrossRef]
- Yola, M.L.; Atar, N. A Review: Molecularly Imprinted Electrochemical Sensors for Determination of Biomolecules/Drug. Curr. Anal. Chem. 2017, 13, 13–17. [Google Scholar] [CrossRef]
- Elhachem, M.; Cayot, P.; Abboud, M.; Louka, N.; Maroun, R.G.; Bou-Maroun, E. The Importance of Developing Electrochemical Sensors Based on Molecularly Imprinted Polymers for a Rapid Detection of Antioxidants. Antioxidants 2021, 10, 382. [Google Scholar] [CrossRef]
- Maria, C.G.A.; Varghese, A.; Nidhin, M. Recent Advances in Nanomaterials Based Molecularly Imprinted Electrochemical Sensors. Crit. Rev. Anal. Chem. 2021, 53, 88–97. [Google Scholar] [CrossRef]
- Yang, Y.K.; Wang, X.M.; Fang, G.Z.; Yun, Y.G.; Guo, T.; Wang, S. Electrochemiluminescence Analysis Based on Molecular Imprinting Technique. Prog. Chem. 2016, 28, 1351–1362. [Google Scholar] [CrossRef]
- Adisyahputra, U.; Irkham, S.; Pratomo, U.; Rochani, S.; Hartati, Y.W. Advancement in Ion-Imprinted Polymers for Separation and Analysis of Rare Earth Elements. Sep. Purif. Rev. 2024, 1–20. [Google Scholar] [CrossRef]
- Yusoff, M.M.; Mostapa, N.R.N.; Sarkar, M.S.; Biswas, T.K.; Rahman, M.L.; Arshad, S.E.; Sarjadi, M.S.; Kulkarni, A.D. Synthesis of ion imprinted polymers for selective recognition and separation of rare earth metals. J. Rare Earths 2017, 35, 177–186. [Google Scholar] [CrossRef]
- Zulfikar, M.A.; Zarlina, R.; Rusnadi; Handayani, N.; Alni, A.; Wahyuningrum, D. Separation of Yttrium from Aqueous Solution Using Ionic Imprinted Polymers. Russ. J. Non-ferrous Met. 2017, 58, 614–624. [Google Scholar] [CrossRef]
- Araki, K.; Yoshida, M.; Uezu, K.; Goto, M.; Furusaki, S. Lanthanide-Imprinted Resins Prepared by Surface Template Polymerization. J. Chem. Eng. Jpn. 2000, 33, 665–668. [Google Scholar] [CrossRef]
- Gao, X.C.; Gao, B.J.; Niu, Q.Y.; Zhao, J. Studies on Recognition and Separation of Neighbor Rare Earth Ions on Scale of Picometer Using Novel Surface Ion-Imprinted Material. Acta Chim. Sin. 2010, 68, 1109–1118. [Google Scholar]
- Kondaurov, R.; Melnikov, Y.; Agibayeva, L. Application of Molecular Imprinting for Creation of Highly Selective Sorbents for Extraction and Separation of Rare-Earth Elements. Polymers 2023, 15, 846. [Google Scholar] [CrossRef] [PubMed]
- Bunina, Z.; Bryleva, K.; Belikov, K. Synthesis and Adsorption Properties of Gadolinium-Imprinted Divinylbenzene-Based Copolymers. ACS Omega 2021, 6, 3336–3344. [Google Scholar] [CrossRef]
- Zhang, H.; Gao, Y. Polymeric Materials for Rare Earth Elements Recovery. Gels 2023, 9, 775. [Google Scholar] [CrossRef]
- Artiushenko, O.; da Silva, R.F.; Zaitsev, V. Recent advances in functional materials for rare earth recovery: A review. Sustain. Mater. Technol. 2023, 37, e00681. [Google Scholar] [CrossRef]
- Sharifian, S.; Wang, N.H.L. Resin-based approaches for selective extraction and purification of rare earth elements: A comprehensive review. J. Environ. Chem. Eng. 2024, 12, 112402. [Google Scholar] [CrossRef]
- Ehrlich, G.V.; Lisichkin, G.V. Sorption in the chemistry of rare earth elements. Russ. J. Gen. Chem. 2017, 87, 1220–1245. [Google Scholar] [CrossRef]
- Li, X.Z.; Sun, Y.P. Progress in solid-liquid extraction resin for separation of rare earth elements. J. Rare Earths 2005, 23, 581–592. [Google Scholar]
- Li, J.P.; Yang, B.; Pan, H.C.; Xu, G.B. Molecularly imprinted sensor based on Russian Matryoshka structured molecules for enhanced specific identification and double amplification in ultra-trace Tb3+ determination. Biosens. Bioelectron. 2018, 109, 224–229. [Google Scholar] [CrossRef] [PubMed]
- Ensafi, A.A.; Kazemifard, N.; Dehkordi, Z.S. Chapter 3 Parameters that affect molecular imprinting polymers. In Molecularly Imprinted Polymer Composites; Woodhead Publishing: Sawston, UK, 2021; pp. 21–48. [Google Scholar] [CrossRef]
- Boukadida, M.; Anene, A.; Jaoued-Grayaa, N.; Chevalier, Y.; Hbaieb, S. Choice of the functional monomer of molecularly imprinted polymers: Does it rely on strong acid-base or hydrogen bonding interactions? Colloid Interface Sci. Commun. 2022, 50, 100669. [Google Scholar] [CrossRef]
- Hasanah, A.N.; Safitri, N.; Zulfa, A.; Neli, N.; Rahayu, D. Factors Affecting Preparation of Molecularly Imprinted Polymer and Methods on Finding Template-Monomer Interaction as the Key of Selective Properties of the Materials. Molecules 2021, 26, 5612. [Google Scholar] [CrossRef] [PubMed]
- Lisichkin, G.V.; Krutyakov, Y.A. Molecularly imprinted materials: Synthesis, properties, applications. Russ. Chem. Rev. 2006, 75, 998–1017. [Google Scholar] [CrossRef]
- Jiang, Y.; Kim, D. Effect of solvent/monomer feed ratio on the structure and adsorption properties of Cu2+-imprinted mi-croporous polymer particles. Chem. Eng. J. 2011, 166, 435–444. [Google Scholar] [CrossRef]
- Zahedi, P.; Ziaee, M.; Abdouss, M.; Farazin, A.; Mizaikoff, B. Biomacromolecule template-based molecularly imprinted polymers with an emphasis on their synthesis strategies: A review. Polym. Adv. Technol. 2016, 27, 1124–1142. [Google Scholar] [CrossRef]
- Ramström, O.; Andersson, L.I.; Mosbach, K. Recognition sites incorporating both pyridinyl and carboxy functionalities pre-pared by molecular imprinting. J. Org. Chem. 1993, 58, 7562–7564. [Google Scholar] [CrossRef]
- Tarasevich, B.N. IR Spectra of the Main Classes of Organic Compounds; Lomonosov Moscow State University: Moscow, Russia, 2012; p. 55. [Google Scholar]
- Nantasenamat, C.; Isarankura-Na-Ayudhya, C.; Naenna, T.; Prachayasittikul, V. Quantitative structure-imprinting factor relationship of molecularly imprinted polymers. Biosens. Bioelectron. 2007, 22, 3309–3317. [Google Scholar] [CrossRef]
Disclaimer/Publisher’s Note: The statements, opinions and data contained in all publications are solely those of the individual author(s) and contributor(s) and not of MDPI and/or the editor(s). MDPI and/or the editor(s) disclaim responsibility for any injury to people or property resulting from any ideas, methods, instructions or products referred to in the content. |
© 2025 by the authors. Licensee MDPI, Basel, Switzerland. This article is an open access article distributed under the terms and conditions of the Creative Commons Attribution (CC BY) license (https://creativecommons.org/licenses/by/4.0/).

















