Surface-Functionalized Glass Nanoparticles with Algae-Derived Bio-Binder (ADBB) as Reinforcing Agent for Epoxy/ADBB Matrix Nanocomposite
Abstract
1. Introduction
2. Materials and Methods
2.1. Materials
2.2. Surface Functionalization of Glass Nanoparticles
2.3. Fabrication of GNP-Reinforced Epoxy/ADBB Nanocomposite
2.4. Characterization
3. Results and Discussion
3.1. Morphology of Pristine and Surface-Functionalized GNPs
3.2. More Characterizations of ADBB-GNPs
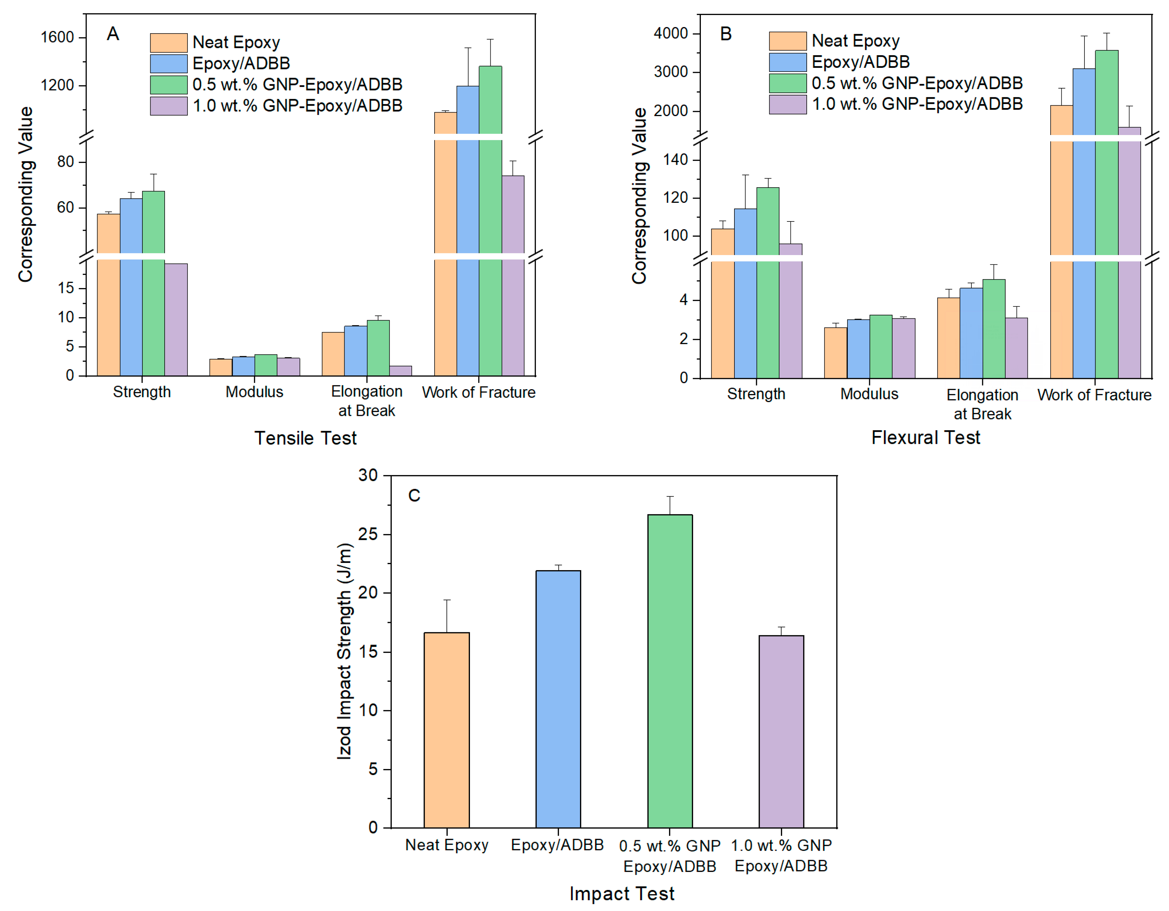
3.3. Reinforcing Effect of Pristine GNPs in Epoxy/ADBB Nanocomposite
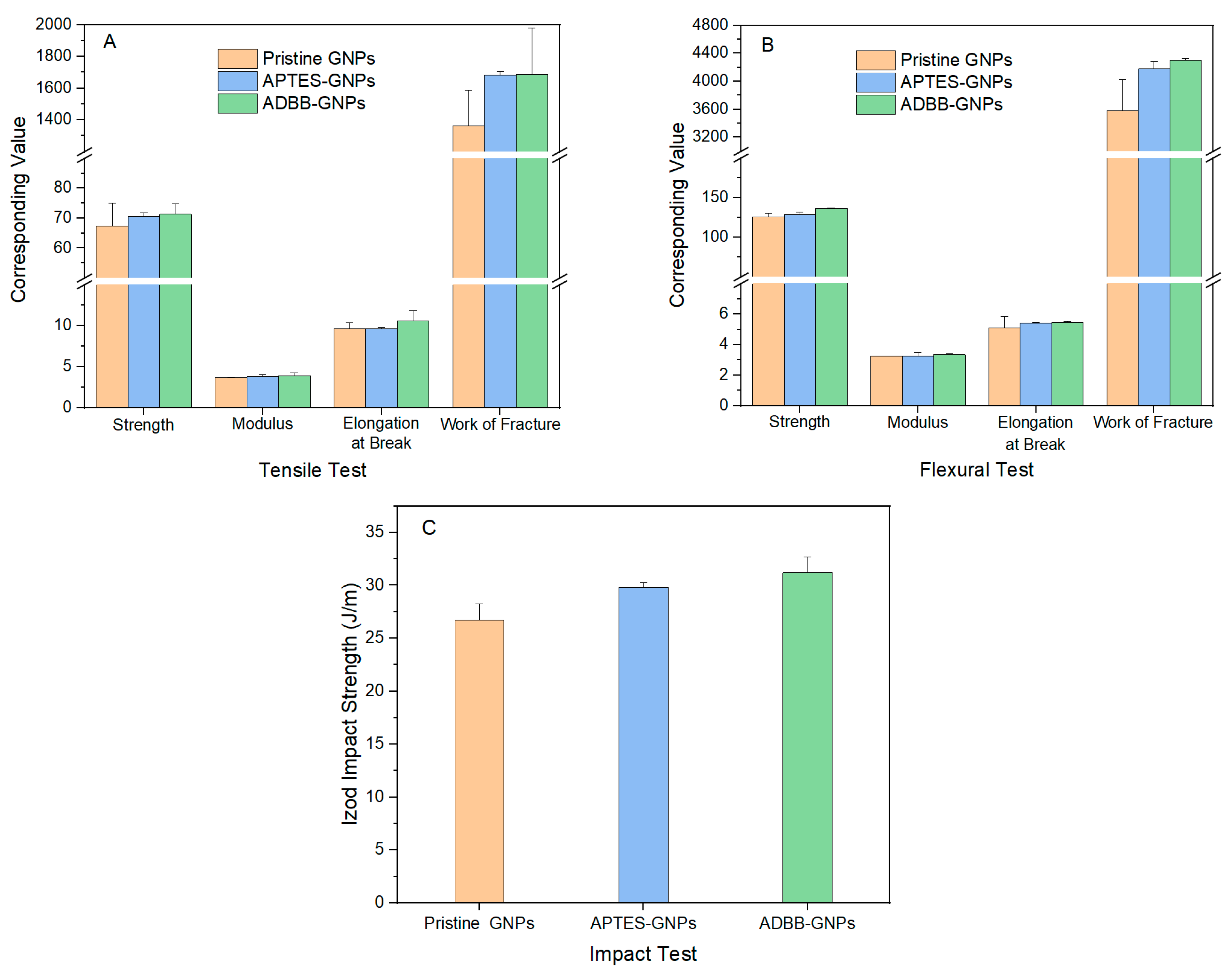
3.4. Reinforcing Effect of ADBB-GNPs in Epoxy/ADBB Nanocomposite
3.5. Reinforcing Mechanism
3.6. Thermal Properties of ADBB-GNP-Reinforced Epoxy/ADBB Nanocomposite
4. Conclusions
Author Contributions
Funding
Institutional Review Board Statement
Data Availability Statement
Acknowledgments
Conflicts of Interest
References
- Jin, F.-L.; Li, X.; Park, S.-J. Synthesis and application of epoxy resins: A review. J. Ind. Eng. Chem. 2015, 29, 1–11. [Google Scholar] [CrossRef]
- Mohan, P. A critical review: The modificaiton, properties, and applications of epoxy resins. Polym.-Plast. Technol. Eng. 2013, 52, 107–125. [Google Scholar] [CrossRef]
- Rafiee, M.A.; Rafiee, J.; Wang, Z.; Song, H.; Yu, Z.-Z.; Koratkar, N. Enhanced mechanical properties of nanocomposites at low graphene content. ACS Nano 2009, 9, 3884–3890. [Google Scholar] [CrossRef] [PubMed]
- Sahoo, N.G.; Rana, S.; Cho, J.W.; Li, L.; Chan, S.H. Polymer nanocomposites based on functionalized carbon nanotubes. Prog. Polym. Sci. 2010, 35, 837–867. [Google Scholar] [CrossRef]
- Pinto, D.; Bernardo, L.; Amaro, A.; Lopes, S. Mechanical properties of epoxy nanocomposites using titanium dioxide as reinforcement—A review. Constr. Build. Mater. 2015, 95, 506–524. [Google Scholar] [CrossRef]
- Wang, G.; Yu, D.; Kelkar, A.D.; Zhang, L. Electrospun nanofiber: Emerging reinforcing filler in polymer matrix composite materials. Prog. Polym. Sci. 2017, 75, 73–107. [Google Scholar] [CrossRef]
- Domun, N.; Hadavinia, H.; Zhang, T.; Sainsbury, T.; Liaghat, G.H.; Vahid, S. Improving the fracture toughness and the stength of epoxy using nanomaterials—A review of the current status. Nanoscale 2015, 7, 10294–10329. [Google Scholar] [CrossRef]
- Zou, H.; Wu, S.; Shen, J. Polymer/silica nanocomposites: Preparation, characterization, properties, and applications. Chem. Rev. 2008, 108, 3893–3957. [Google Scholar] [CrossRef]
- Chen, C.; Justice, R.S.; Schaefer, D.W.; Baur, J.W. Highly dispersed nanosilica-epoxy resins with enhanced mechanical properties. Polymer 2008, 49, 3805–3815. [Google Scholar] [CrossRef]
- Bagwe, R.P.; Hilliard, L.R.; Tan, W. Surface modification of silica nanoparticles to reduce aggregation and nonspecific binding. Langmuir 2006, 22, 4357–4362. [Google Scholar] [CrossRef]
- Karnati, S.R.; Agbo, P.; Zhang, L. Applications of silica nanoparticles in glass/carbon fiber-reinforced epoxy nanocomposite. Compos. Commun. 2020, 17, 32–41. [Google Scholar] [CrossRef]
- Karnati, S.R.; Oldham, D.; Fini, E.H.; Zhang, L. Application of surface-modified silica nanoparticles with dual silane coupling agents in bitumen for performance enhancement. Constr. Build. Mater. 2020, 244, 118324. [Google Scholar] [CrossRef]
- Wang, W.; Sun, Y.; Wang, J.; Yang, Y.; Li, Y.; Yuan, Y.; Liu, C. Charge-reversal APTES-modified mesoporous silica nanoparticles with high drug loading and release controllability. ACS Appl. Mater. Interfaces 2016, 8, 17166–17175. [Google Scholar] [CrossRef] [PubMed]
- Arjmandpour, S.; Panahi, H.A. Removal of lead ion from envrionmental samples using modified glass nanofiparticles. Desalination Water Treat. 2019, 137, 212–220. [Google Scholar] [CrossRef]
- Kuman, A.; Negi, S.; Kar, S. A study on functionalization process of silicon dioxide nanoparticles for hydrophobic coating applications. Surf. Interface Anal. 2024, 56, 447–455. [Google Scholar] [CrossRef]
- Mali, A.; Agbo, P.; Mantripragada, S.; Zhang, L. Surface-Modified electrospun glass nanofibers from silane treatment and their use for high-performance epoxy-based nanocomposite materials. Materials 2023, 16, 6817. [Google Scholar] [CrossRef]
- Kumar, S.; Samal, S.K.; Mohanty, S.; Nayak, S.K. Recent development of biobased epoxy resins: A review. Polym.-Plast. Technol. Eng. 2018, 57, 133–155. [Google Scholar] [CrossRef]
- Agbo, P.; Mali, A.; Deng, D.; Zhang, L. Bio-oil-based epoxy resins from thermochemical processing of sustainable resources: A short review. J. Compos. Sci. 2023, 7, 374. [Google Scholar] [CrossRef]
- Goncalves, F.A.M.M.; Santos, M.; Cernadas, T.; Ferreira, P.; Alves, P. Advances in the development of biobased epoxy resins: Insight into more sustainable materials and future applications. Int. Mater. Rev. 2022, 67, 119–149. [Google Scholar] [CrossRef]
- Gollakota, A.R.K.; Kishore, N.; Gu, S. A review on hydrothermal liquefaction of biomass. Renew. Sustain. Energy Rev. 2018, 81, 1378–1392. [Google Scholar] [CrossRef]
- Agbo, P.; Mali, A.; Kelkar, A.D.; Wang, L.; Zhang, L. Injecting sustainability into epoxy-based composite materials by using bio-binder from hydrothermal liquefaction processing of microalgae. Molecules 2024, 29, 3656. [Google Scholar] [CrossRef] [PubMed]
- Tsai, J.-L.; Hsiao, H.; Cheng, Y.-L. Investigating mechanical behaviors of silica nanoparticle reinforced composites. J. Compos. Mater. 2010, 44, 505–524. [Google Scholar] [CrossRef]
- ASTM D638; Standard Test Method for Tensile Properties of Plastics. ASTM International: West Conshohocken, PA, USA, 2022.
- ASTM D790; Standard Test Methods for Flexural Properties of Unreinforced and Reinforced Plastics and Electrical Insulating Materials. ASTM International: West Conshohocken, PA, USA, 2017.
- ASTM D256; Standard Test Methods for Determining the Izod Pendulum Impact Resistance of Plastics. ASTM International: West Conshohocken, PA, USA, 2024.
- Zhu, J.B.; Yang, X.J.; Cui, Z.D.; Zhu, S.L.; Wei, Q. Preparation and properties of nano-SiO2/epoxy composites cured by mannich amine. J. Macromol. Sci. Part B Phys. 2006, 45, 811–820. [Google Scholar] [CrossRef]
- Zare, Y. Study of nanoparticles aggregation/agglomeration in polymer particulate nanocomposites by mechanical properties. Compos. Part A Appl. Sci. Manuf. 2016, 84, 158–164. [Google Scholar] [CrossRef]







Disclaimer/Publisher’s Note: The statements, opinions and data contained in all publications are solely those of the individual author(s) and contributor(s) and not of MDPI and/or the editor(s). MDPI and/or the editor(s) disclaim responsibility for any injury to people or property resulting from any ideas, methods, instructions or products referred to in the content. |
© 2025 by the authors. Licensee MDPI, Basel, Switzerland. This article is an open access article distributed under the terms and conditions of the Creative Commons Attribution (CC BY) license (https://creativecommons.org/licenses/by/4.0/).
Share and Cite
Mali, A.; Uwaike, T.; Agbo, P.; Mantripragada, S.; Wang, L.; Zhang, L. Surface-Functionalized Glass Nanoparticles with Algae-Derived Bio-Binder (ADBB) as Reinforcing Agent for Epoxy/ADBB Matrix Nanocomposite. Polymers 2025, 17, 1334. https://doi.org/10.3390/polym17101334
Mali A, Uwaike T, Agbo P, Mantripragada S, Wang L, Zhang L. Surface-Functionalized Glass Nanoparticles with Algae-Derived Bio-Binder (ADBB) as Reinforcing Agent for Epoxy/ADBB Matrix Nanocomposite. Polymers. 2025; 17(10):1334. https://doi.org/10.3390/polym17101334
Chicago/Turabian StyleMali, Abhijeet, Torti Uwaike, Philip Agbo, Shobha Mantripragada, Lijun Wang, and Lifeng Zhang. 2025. "Surface-Functionalized Glass Nanoparticles with Algae-Derived Bio-Binder (ADBB) as Reinforcing Agent for Epoxy/ADBB Matrix Nanocomposite" Polymers 17, no. 10: 1334. https://doi.org/10.3390/polym17101334
APA StyleMali, A., Uwaike, T., Agbo, P., Mantripragada, S., Wang, L., & Zhang, L. (2025). Surface-Functionalized Glass Nanoparticles with Algae-Derived Bio-Binder (ADBB) as Reinforcing Agent for Epoxy/ADBB Matrix Nanocomposite. Polymers, 17(10), 1334. https://doi.org/10.3390/polym17101334

