Nanofiltration Membranes from Poly(sodium-p-styrenesulfonate)/Polyethylenimine Polyelectrolyte Complex Modified with Carbon Nanoparticles for Enhanced Water Treatment
Abstract
1. Introduction
2. Materials and Methods
2.1. Materials
2.2. Membrane Fabrication
2.3. Nanofiltration Performance
2.4. Membrane Characterization
2.5. Computational Methods
3. Results
3.1. Transport Characteristics in Nanofiltration
3.1.1. Variation in PSS/PEI Ratio in Membrane Composition
3.1.2. Modification of PEC with Carbon Nanoparticles
3.1.3. Cross-Linking of PEC and PEC/HF Membranes
3.2. Structure and Properties Investigation of PEC Membranes
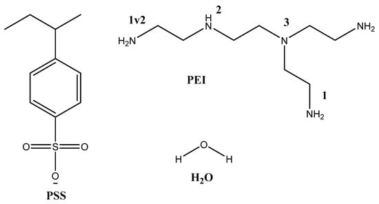
3.3. Theoretical Consideration
3.4. Nanofiltration Performance Comparison
4. Conclusions
Supplementary Materials
Author Contributions
Funding
Institutional Review Board Statement
Data Availability Statement
Acknowledgments
Conflicts of Interest
References
- Magni, M.; Jones, E.R.; Bierkens, M.F.P.; van Vliet, M.T.H. Global energy consumption of water treatment technologies. Water Res. 2025, 277, 123245. [Google Scholar] [CrossRef] [PubMed]
- Zhang, B.; Kong, L.; Yan, X.; Zhang, H.; Wang, Z.; Xia, S.; Han, Z.; Xin, Y.; Ding, A.; Ma, J.; et al. Recent progress in graphitic carbon nitride-based catalysts for water treatment: Contaminant elimination, disinfection and membrane applications. Sep. Purif. Technol. 2025, 354, 129420. [Google Scholar] [CrossRef]
- Dmitrenko, M.; Kuzminova, A.; Zolotarev, A.; Selyutin, A.; Ermakov, S.; Penkova, A. Nanofiltration Mixed Matrix Membranes from Cellulose Modified with Zn-Based Metal—Organic Frameworks for the Enhanced Water Treatment from Heavy Metal Ions. Polymers 2023, 15, 1341. [Google Scholar] [CrossRef]
- Alhussaini, M.A.; Souza-Chaves, B.M.; Felix, V.; Achilli, A. Comparative analysis of reverse osmosis and nanofiltration for the removal of dissolved contaminants in water reuse applications. Desalination 2024, 586, 117822. [Google Scholar] [CrossRef]
- Zheng, J.; Li, Y.; Xu, D.; Zhao, R.; Liu, Y.; Li, G.; Gao, Q.; Zhang, X.; Volodine, A.; Van der Bruggen, B. Facile fabrication of a positively charged nanofiltration membrane for heavy metal and dye removal. Sep. Purif. Technol. 2022, 282, 120155. [Google Scholar] [CrossRef]
- Mikulášek, P.; Cuhorka, J. Nanofiltration in the manufacture of liquid dyes production. Water Sci. Technol. 2010, 61, 1865–1873. [Google Scholar] [CrossRef]
- Durmaz, E.N.; Willott, J.D.; Mizan, M.M.H.; de Vos, W.M. Tuning the charge of polyelectrolyte complex membranes prepared via aqueous phase separation. Soft Matter 2021, 17, 9420–9427. [Google Scholar] [CrossRef]
- Wang, Y.-C.; Kumar, S.R.; Shih, C.-M.; Hung, W.-S.; An, Q.-F.; Hsu, H.-C.; Huang, S.-H.; Lue, S.J. High permeance nanofiltration thin film composites with a polyelectrolyte complex top layer containing graphene oxide nanosheets. J. Membr. Sci. 2017, 540, 391–400. [Google Scholar] [CrossRef]
- Wang, N.; Ji, S.; Zhang, G.; Li, J.; Wang, L. Self-assembly of graphene oxide and polyelectrolyte complex nanohybrid membranes for nanofiltration and pervaporation. Chem. Eng. J. 2012, 213, 318–329. [Google Scholar] [CrossRef]
- Dmitrenko, M.E.; Kuzminova, A.I.; Zolotarev, A.A.; Korniak, A.S.; Ermakov, S.S.; Su, R.; Penkova, A.V. Novel mixed matrix membranes based on polyelectrolyte complex modified with fullerene derivatives for enhanced pervaporation and nanofiltration. Sep. Purif. Technol. 2022, 298, 121649. [Google Scholar] [CrossRef]
- Zhao, F.Y.; An, Q.F.; Ji, Y.L.; Gao, C.J. A novel type of polyelectrolyte complex/MWCNT hybrid nanofiltration membranes for water softening. J. Membr. Sci. 2015, 492, 412–421. [Google Scholar] [CrossRef]
- Gan, L.; Zhang, J.; Wu, Y.; Chen, Z.; Zhao, Z.; Lin, S.; Jiang, Y. Tailoring Polyelectrolyte Multilayer Nanofiltration Membranes by Aerosol-Assisted Printing: Insights into Membrane Formation Mechanisms. Environ. Sci. Technol. 2025, 59, 913–923. [Google Scholar] [CrossRef]
- Korzhova, E.; Déon, S.; Koubaa, Z.; Fievet, P.; Lopatin, D.; Baranov, O. Modification of commercial UF membranes by electrospray deposition of polymers for tailoring physicochemical properties and enhancing filtration performances. J. Membr. Sci. 2020, 598, 117805. [Google Scholar] [CrossRef]
- Liang, Y.; Lin, S. Intercalation of zwitterionic surfactants dramatically enhances the performance of low-pressure nanofiltration membrane. J. Membr. Sci. 2020, 596, 117726. [Google Scholar] [CrossRef]
- Alghamdi, A.M. Fast and Versatile Pathway in Fabrication of Polyelectrolyte Multilayer Nanofiltration Membrane with Tunable Properties. J. Chem. 2021, 2021, 9978596. [Google Scholar] [CrossRef]
- Baig, M.I.; Sari, P.P.I.; Li, J.; Willott, J.D.; de Vos, W.M. Sustainable Aqueous Phase Separation membranes prepared through mild pH shift induced polyelectrolyte complexation of PSS and PEI. J. Membr. Sci. 2021, 625, 119114. [Google Scholar] [CrossRef]
- Haque Mizan, M.M.; Rastgar, M.; Aktij, S.A.; Asad, A.; Karami, P.; Rahimpour, A.; Sadrzadeh, M. Organic solvent-free polyelectrolyte complex membrane preparation: Effect of monomer mixing ratio and casting solution temperature. J. Membr. Sci. 2023, 668, 121197. [Google Scholar] [CrossRef]
- Abdelhalim, A.O.E.; Sharoyko, V.V.; Meshcheriakov, A.A.; Luttsev, M.D.; Potanin, A.A.; Iamalova, N.R.; Zakharov, E.E.; Ageev, S.V.; Petrov, A.V.; Vasina, L.V.; et al. Synthesis, characterisation and biocompatibility of graphene—L-methionine nanomaterial. J. Mol. Liq. 2020, 314, 113605. [Google Scholar] [CrossRef]
- Semenov, K.N.; Charykov, N.A.; Keskinov, V.N. Fullerenol Synthesis and Identification. Properties of the Fullerenol Water Solutions. J. Chem. Eng. Data 2011, 56, 230–239. [Google Scholar] [CrossRef]
- Marcos, M.A.; Podolsky, N.E.; Cabaleiro, D.; Lugo, L.; Zakharov, A.O.; Postnov, V.N.; Charykov, N.A.; Ageev, S.V.; Semenov, K.N. MWCNT in PEG-400 nanofluids for thermal applications: A chemical, physical and thermal approach. J. Mol. Liq. 2019, 294, 111616. [Google Scholar] [CrossRef]
- Dmitrenko, M.; Mikhailovskaya, O.; Kuzminova, A.; Mazur, A.; Su, R.; Penkova, A. Pervaporation chitosan membranes modified with carbon nanoparticles for enhanced isopropanol dehydration. J. Mater. Sci. 2024, 59, 20068–20091. [Google Scholar] [CrossRef]
- Zeng, X.; Zhou, G.; Xu, Q.; Xiong, Y.; Luo, C.; Wu, J. A new technique for dispersion of carbon nanotube in a metal melt. Mater. Sci. Eng. A 2010, 527, 5335–5340. [Google Scholar] [CrossRef]
- Munkhbayar, B.; Nine, M.J.; Hwang, S.; Kim, J.; Bae, K.; Chung, H.; Jeong, H. Effect of grinding speed changes on dispersibility of the treated multi-walled carbon nanotubes in aqueous solution and its thermal characteristics. Chem. Eng. Process. Process Intensif. 2012, 61, 36–41. [Google Scholar] [CrossRef]
- Kukovecz, Á.; Kanyó, T.; Kónya, Z.; Kiricsi, I. Long-time low-impact ball milling of multi-wall carbon nanotubes. Carbon 2005, 43, 994–1000. [Google Scholar] [CrossRef]
- Lindén, J.B.; Larsson, M.; Kaur, S.; Skinner, W.M.; Miklavcic, S.J.; Nann, T.; Kempson, I.M.; Nydén, M. Polyethyleneimine for copper absorption II: Kinetics, selectivity and efficiency from seawater. RSC Adv. 2015, 5, 51883–51890. [Google Scholar] [CrossRef]
- Baker, R.W. Membrane Technology and Applications; McGraw-Hill: New York, NY, USA, 2000. [Google Scholar]
- Dmitrenko, M.; Sushkova, X.; Chepeleva, A.; Liamin, V.; Mikhailovskaya, O.; Kuzminova, A.; Semenov, K.; Ermakov, S.; Penkova, A. Modification Approaches of Polyphenylene Oxide Membranes to Enhance Nanofiltration Performance. Membranes 2023, 13, 534. [Google Scholar] [CrossRef]
- Frisch, M.J. Gaussian 16, Revision A.03; Gaussian, Inc.: Wallingford CT, USA, 2016. Available online: https://gaussian.com/citation_a03/ (accessed on 17 October 2024).
- Becke, A.D. Density-functional thermochemistry. I. The effect of the exchange-only gradient correction. J. Chem. Phys. 1992, 96, 2155–2160. [Google Scholar] [CrossRef]
- Becke, A.D. Density-functional exchange-energy approximation with correct asymptotic behavior. Phys. Rev. A 1988, 38, 3098–3100. [Google Scholar] [CrossRef]
- Lee, C.; Yang, W.; Parr, R.G. Development of the Colle-Salvetti correlation-energy formula into a functional of the electron density. Phys. Rev. B 1988, 37, 785–789. [Google Scholar] [CrossRef]
- Lu, T.; Chen, F. Multiwfn: A multifunctional wavefunction analyzer. J. Comput. Chem. 2012, 33, 580–592. [Google Scholar] [CrossRef]
- Humphrey, W.; Dalke, A.; Schulten, K. VMD: Visual molecular dynamics. J. Mol. Graph. 1996, 14, 33–38. [Google Scholar] [CrossRef] [PubMed]
- Vaysizadeh, A.; Zinatizadeh, A.A.; Zinadini, S. Fouling mitigation and enhanced dye rejection in UF and NF membranes via layer-by-layer (LBL) assembly and altering PVP percentage as pore former. Environ. Technol. Innov. 2021, 23, 101698. [Google Scholar] [CrossRef]
- Gholami, N.; Mahdavi, H. Nanofiltration composite membranes of polyethersulfone and graphene oxide and sulfonated graphene oxide. Adv. Polym. Technol. 2018, 37, 3529–3541. [Google Scholar] [CrossRef]
- Lee, A.; Beak, S.; Lee, S.; Kim, G.; Lee, D.; Kim, S.; Sung, Y.; Jeong, H. Hydrophilic/Hydrophobic characteristics on the carbon nanotube buckypapers with various mechanical and chemical manufacture process. Diam. Relat. Mater. 2020, 110, 108152. [Google Scholar] [CrossRef]
- Wang, F.; Tarabara, V.V. Pore blocking mechanisms during early stages of membrane fouling by colloids. J. Colloid Interface Sci. 2008, 328, 464–469. [Google Scholar] [CrossRef]
- Dmitrenko, M.; Liamin, V.; Kuzminova, A.; Mazur, A.; Lahderanta, E.; Ermakov, S.; Penkova, A. Novel Mixed Matrix Sodium Alginate–Fullerenol Membranes: Development, Characterization, and Study in Pervaporation Dehydration of Isopropanol. Polymers 2020, 12, 864. [Google Scholar] [CrossRef]
- Wanjiya, M.; Zhang, J.-C.; Wu, B.; Yin, M.-J.; An, Q.-F. Nanofiltration membranes for sustainable removal of heavy metal ions from polluted water: A review and future perspective. Desalination 2024, 578, 117441. [Google Scholar] [CrossRef]
- Grenda, K.; Idström, A.; Evenäs, L.; Persson, M.; Holmberg, K.; Bordes, R. An analytical approach to elucidate the architecture of polyethyleneimines. J. Appl. Polym. Sci. 2022, 139, e51657. [Google Scholar] [CrossRef]
- Devi, D.A.; Smitha, B.; Sridhar, S.; Jawalkar, S.S.; Aminabhavi, T.M. Novel sodium alginate/polyethyleneimine polyion complex membranes for pervaporation dehydration at the azeotropic composition of various alcohols. J. Chem. Technol. Biotechnol. 2007, 82, 993–1003. [Google Scholar] [CrossRef]
- Dmitrenko, M.; Mikhailovskaya, O.; Dubovenko, R.; Kuzminova, A.; Myznikov, D.; Mazur, A.; Semenov, K.; Rusalev, Y.; Soldatov, A.; Ermakov, S.; et al. Pervaporation Membranes Based on Polyelectrolyte Complex of Sodium Alginate/Polyethyleneimine Modified with Graphene Oxide for Ethanol Dehydration. Polymers 2024, 16, 1206. [Google Scholar] [CrossRef]
- Dai, F.; Zhuang, Q.; Huang, G.; Deng, H.; Zhang, X. Infrared Spectrum Characteristics and Quantification of OH Groups in Coal. ACS Omega 2023, 8, 17064–17076. [Google Scholar] [CrossRef]
- Xu, J.; Cui, X.; Wang, H.; Li, J.; Dong, S. Preparation of ultrafine poly(sodium 4-styrenesulfonate) fibres via electrospinning. Bull. Mater. Sci. 2011, 34, 531–533. [Google Scholar] [CrossRef]
- Ravelo-Nieto, E.; Duarte-Ruiz, A.; Reyes, L.H.; Cruz, J.C. Synthesis and Characterization of a Fullerenol Derivative for Potential Biological Applications. In Proceedings of the 2nd International Online-Conference on Nanomaterials, Online, 15–30 November 2020; p. 15. [Google Scholar]
- Yang, X.; Zhen, M.; Li, G.; Liu, X.; Wang, X.; Shu, C.; Jiang, L.; Wang, C. Preparation of Pd-decorated fullerenols on carbon nanotubes with excellent electrocatalytic properties in alkaline media. J. Mater. Chem. A 2013, 1, 8105. [Google Scholar] [CrossRef]
- Abdelhalim, A.O.E.; Sharoyko, V.V.; Meshcheriakov, A.A.; Martynova, S.D.; Ageev, S.V.; Iurev, G.O.; Al Mulla, H.; Petrov, A.V.; Solovtsova, I.L.; Vasina, L.V.; et al. Reduction and functionalization of graphene oxide with L-cysteine: Synthesis, characterization and biocompatibility. Nanomed. Nanotechnol. Biol. Med. 2020, 29, 102284. [Google Scholar] [CrossRef] [PubMed]
- Marcano, D.C.; Kosynkin, D.V.; Berlin, J.M.; Sinitskii, A.; Sun, Z.; Slesarev, A.; Alemany, L.B.; Lu, W.; Tour, J.M. Improved Synthesis of Graphene Oxide. ACS Nano 2010, 4, 4806–4814. [Google Scholar] [CrossRef]
- Sarode, V.B.; Patil, R.D.; Chaudhari, G.E. Characterization of functionalized multi-walled carbon nanotubes. Mater. Today Proc. 2023, in press. [CrossRef]
- Sbai, K.; Rahmani, A.; Chadli, H.; Bantignies, J.-L.; Hermet, P.; Sauvajol, J.-L. Infrared Spectroscopy of Single-Walled Carbon Nanotubes. J. Phys. Chem. B 2006, 110, 12388–12393. [Google Scholar] [CrossRef]
- Shen, J.-N.; Chu, Y.-X.; Ruan, H.-M.; Wu, L.-G.; Gao, C.-J.; Van der Bruggen, B. Pervaporation of benzene/cyclohexane mixtures through mixed matrix membranes of chitosan and Ag+/carbon nanotubes. J. Membr. Sci. 2014, 462, 160–169. [Google Scholar] [CrossRef]
- Ong, Y.T.; Ahmad, A.L.; Zein, S.H.S.; Sudesh, K.; Tan, S.H. Poly(3-hydroxybutyrate)-functionalised multi-walled carbon nanotubes/chitosan green nanocomposite membranes and their application in pervaporation. Sep. Purif. Technol. 2011, 76, 419–427. [Google Scholar] [CrossRef]
- Qiu, S.; Wu, L.; Shi, G.; Zhang, L.; Chen, H.; Gao, C. Preparation and pervaporation property of chitosan membrane with functionalized multiwalled carbon nanotubes. Ind. Eng. Chem. Res. 2010, 49, 11667–11675. [Google Scholar] [CrossRef]
- Yeang, Q.W.; Zein, S.H.S.; Sulong, A.B.; Tan, S.H. Comparison of the pervaporation performance of various types of carbon nanotube-based nanocomposites in the dehydration of acetone. Sep. Purif. Technol. 2013, 107, 252–263. [Google Scholar] [CrossRef]
- Sivashankari, P.R.; Krishna Kumar, K.; Devendiran, M.; Prabaharan, M. Graphene oxide-reinforced pectin/chitosan polyelectrolyte complex scaffolds. J. Biomater. Sci. Polym. Ed. 2021, 32, 2246–2266. [Google Scholar] [CrossRef]
- Lefay, C.; Guillaneuf, Y.; Moreira, G.; Thevarajah, J.J.; Castignolles, P.; Ziarelli, F.; Bloch, E.; Major, M.; Charles, L.; Gaborieau, M.; et al. Heterogeneous modification of chitosan via nitroxide-mediated polymerization. Polym. Chem. 2013, 4, 322–328. [Google Scholar] [CrossRef]
- Chowdhury, S.I.; Tanaka, R.; Nakayama, Y.; Shiono, T. Copolymerization of Norbornene and Styrene with Anilinonaphthoquinone-Ligated Nickel Complexes. Polymers 2019, 11, 1100. [Google Scholar] [CrossRef] [PubMed]
- Wei, Y.; Yu, X.; Zhang, L.; Liu, W.; Yong, C.; Yun, T. Synthesis and function studies on formaldehyde adsorption of PEI-PU copolymers. J. Phys. Conf. Ser. 2024, 2819, 012010. [Google Scholar] [CrossRef]
- Gutowski, W.S.; Bilyk, A.; Li, S.; Espiritu, M.; Burgar, I. The influence of structure of the interface and interphase on paint adhesion. Compos. Interfaces 2005, 12, 817–835. [Google Scholar] [CrossRef]
- Stewart, M.I. Gas Sweetening. In Surface Production Operations; Elsevier: Amsterdam, The Netherlands, 2014; pp. 433–539. [Google Scholar]
- Koenhen, D.M.; Mulder, M.H.V.; Smolders, C.A. Phase separation phenomena during the formation of asymmetric membranes. J. Appl. Polym. Sci. 1977, 21, 199–215. [Google Scholar] [CrossRef]
- Yu, J.; Boudjelida, S.; Galiano, F.; Figoli, A.; Bonchio, M.; Carraro, M. Porous Polymeric Membranes Doped with Halloysite Nanotubes and Oxygenic Polyoxometalates. Adv. Mater. Interfaces 2022, 9, 2102152. [Google Scholar] [CrossRef]
- Lin, C.-H.; Chien, M.-Y.; Chuang, Y.-C.; Lai, C.-C.; Sun, Y.-M.; Liu, T.-Y. Porous Membranes of Polysulfone and Graphene Oxide Nanohybrids for Vanadium Redox Flow Battery. Polymers 2022, 14, 5405. [Google Scholar] [CrossRef]
- Kuzminova, A.; Dmitrenko, M.; Dubovenko, R.; Puzikova, M.; Mikulan, A.; Korovina, A.; Koroleva, A.; Selyutin, A.; Semenov, K.; Su, R.; et al. Development and Study of Novel Ultrafiltration Membranes Based on Cellulose Acetate. Polymers 2024, 16, 1236. [Google Scholar] [CrossRef]
- Kamp, J.; Emonds, S.; Borowec, J.; Restrepo Toro, M.A.; Wessling, M. On the organic solvent free preparation of ultrafiltration and nanofiltration membranes using polyelectrolyte complexation in an all aqueous phase inversion process. J. Membr. Sci. 2021, 618, 118632. [Google Scholar] [CrossRef]
- Regmi, C.; Kshetri, Y.K.; Wickramasinghe, S.R. Carbon-Based Nanocomposite Membranes for Membrane Distillation: Progress, Problems and Future Prospects. Membranes 2024, 14, 160. [Google Scholar] [CrossRef] [PubMed]
- Qian, X.; Li, N.; Wang, Q.; Ji, S. Chitosan/graphene oxide mixed matrix membrane with enhanced water permeability for high-salinity water desalination by pervaporation. Desalination 2018, 438, 83–96. [Google Scholar] [CrossRef]
- Kim, J.; Park, S.; Choi, M.; Kim, S.; Heo, J.; Yeom, E.; Kim, S.; Lee, H.; Kim, S. Simply controlling the surface structure of graphene oxide films using multiple drop-casting. Diam. Relat. Mater. 2023, 139, 110327. [Google Scholar] [CrossRef]
- Li, J.; Wang, Q.; Deng, L.; Kou, X.; Tang, Q.; Hu, Y. Fabrication and characterization of carbon nanotubes-based porous composite forward osmosis membrane: Flux performance, separation mechanism, and potential application. J. Membr. Sci. 2020, 604, 118050. [Google Scholar] [CrossRef]
- Ngoma, M.M.; Mathaba, M.; Moothi, K. Effect of carbon nanotubes loading and pressure on the performance of a polyethersulfone (PES)/carbon nanotubes (CNT) membrane. Sci. Rep. 2021, 11, 23805. [Google Scholar] [CrossRef]
- Grover, C.N.; Gwynne, J.H.; Pugh, N.; Hamaia, S.; Farndale, R.W.; Best, S.M.; Cameron, R.E. Crosslinking and composition influence the surface properties, mechanical stiffness and cell reactivity of collagen-based films. Acta Biomater. 2012, 8, 3080–3090. [Google Scholar] [CrossRef]
- Dmitrenko, M.E.; Penkova, A.V.; Kuzminova, A.I.; Atta, R.R.; Zolotarev, A.A.; Mazur, A.S.; Vezo, O.S.; Lahderanta, E.; Markelov, D.A.; Ermakov, S.S. Development and investigation of novel polyphenylene isophthalamide pervaporation membranes modified with various fullerene derivatives. Sep. Purif. Technol. 2019, 226, 241–251. [Google Scholar] [CrossRef]
- Li, J.; Krishna, B.A.; van Ewijk, G.; van Dijken, D.J.; de Vos, W.M.; van der Gucht, J. A comparison of complexation induced brittleness in PEI/PSS and PEI/NaPSS single-step coatings. Colloids Surf. A Physicochem. Eng. Asp. 2022, 648, 129143. [Google Scholar] [CrossRef]
- Koruga, D.; Stanković, I.; Matija, L.; Kuhn, D.; Christ, B.; Dembski, S.; Jevtić, N.; Janać, J.; Pavlović, V.; De Wever, B. Comparative Studies of the Structural and Physicochemical Properties of the First Fullerene Derivative FD-C60 (Fullerenol) and Second Fullerene Derivate SD-C60 (3HFWC). Nanomaterials 2024, 14, 480. [Google Scholar] [CrossRef]
- Pearson, R.G. Hard and Soft Acids and Bases. J. Am. Chem. Soc. 1963, 85, 3533–3539. [Google Scholar] [CrossRef]
- Lu, T.; Chen, F. Atomic Dipole Moment Corrected Hirshfeld Population Method. J. Theor. Comput. Chem. 2012, 11, 163–183. [Google Scholar] [CrossRef]
- Bayly, C.I.; Cieplak, P.; Cornell, W.; Kollman, P.A. A well-behaved electrostatic potential based method using charge restraints for deriving atomic charges: The RESP model. J. Phys. Chem. 1993, 97, 10269–10280. [Google Scholar] [CrossRef]
- Cheranyova, A.M.; Zelenkov, L.E.; Baykov, S.V.; Izotova, Y.A.; Ivanov, D.M.; Bokach, N.A.; Kukushkin, V.Y. Intermolecular Metal-Involving Pnictogen Bonding: The Case of σ-(SbIII)-Hole···dz2 [PtII] Interaction. Inorg. Chem. 2024, 63, 14943–14957. [Google Scholar] [CrossRef]
- Bader, R.F.W. Atoms in Molecules; Oxford University Press: Oxford, UK, 1990; ISBN 9780198551683. [Google Scholar]
- Johnson, E.R.; Keinan, S.; Mori-Sánchez, P.; Contreras-García, J.; Cohen, A.J.; Yang, W. Revealing Noncovalent Interactions. J. Am. Chem. Soc. 2010, 132, 6498–6506. [Google Scholar] [CrossRef]
- Wiberg, K.B. Application of the pople-santry-segal CNDO method to the cyclopropylcarbinyl and cyclobutyl cation and to bicyclobutane. Tetrahedron 1968, 24, 1083–1096. [Google Scholar] [CrossRef]
- Trindle, C. Bond index description of delocalization. J. Am. Chem. Soc. 1969, 91, 219–220. [Google Scholar] [CrossRef]
- Mayer, I.; Salvador, P. Overlap populations, bond orders and valences for ‘fuzzy’ atoms. Chem. Phys. Lett. 2004, 383, 368–375. [Google Scholar] [CrossRef]
- Ji, Y.; An, Q.; Zhao, Q.; Chen, H.; Qian, J.; Gao, C. Fabrication and performance of a new type of charged nanofiltration membrane based on polyelectrolyte complex. J. Membr. Sci. 2010, 357, 80–89. [Google Scholar] [CrossRef]
- Hung, S.-H.J.; Chiang, M.-C.; Schiffman, J.D. Optimization of Polyelectrolyte Coacervate Membranes via Aqueous Phase Separation. ACS Appl. Mater. Interfaces 2025, 17, 1361–1373. [Google Scholar] [CrossRef]
- Ye, C.-C.; Zhao, F.-Y.; Wu, J.-K.; Weng, X.-D.; Zheng, P.-Y.; Mi, Y.-F.; An, Q.-F.; Gao, C.-J. Sulfated polyelectrolyte complex nanoparticles structured nanoflitration membrane for dye desalination. Chem. Eng. J. 2017, 307, 526–536. [Google Scholar] [CrossRef]
- Li, C.; Hu, D.; Liu, L.; Zhu, L.; Xu, M.; Wang, C.; Li, Y. Positively charged loose nanofiltration membranes prepared by a green ionic cross-link method. J. Mater. Sci. 2022, 57, 3067–3082. [Google Scholar] [CrossRef]
- Li, X.; Goyens, W.; Ahmadiannamini, P.; Vanderlinden, W.; De Feyter, S.; Vankelecom, I. Morphology and performance of solvent-resistant nanofiltration membranes based on multilayered polyelectrolytes: Study of preparation conditions. J. Membr. Sci. 2010, 358, 150–157. [Google Scholar] [CrossRef]
- Zhang, W.-H.; Liu, Z.-J.; Yin, M.-J.; Ren, Y.-H.; Jin, C.-G.; Wang, N.; An, Q.-F. Fabrication of stable polyelectrolyte complexed membrane for dye/salt separation via dynamic self-assembly coupled ice-templating technique. Desalination 2022, 535, 115803. [Google Scholar] [CrossRef]



















| Membrane | PSS:PEI Ratio | CP Content, wt.% | Cross-Linking |
|---|---|---|---|
| PEC | 1:1.75 | - | - |
| PEC/HF | 1 | - | |
| PEC/GO | 1 | - | |
| PEC/MWCNT | 1 | - | |
| PECGA | - | 0.01% GA | |
| PEC/HFGA | 1 | 0.01% GA |
| Structure | Molar Mass, g/mol | Wavelength Corresponding to Maximum Absorbance, nm | |
|---|---|---|---|
| Sunset yellow (SY, E110) | ![]() | 452.37 | 483 |
| Congo red (CR, E129) | ![]() | 696.67 | 505 |
| Alphazurine (AZ, E133) | ![]() | 690.80 | 628 |
| Membranes | Surface Parameters | Water Contact Angle, ° | |
|---|---|---|---|
| Ra, nm | Rq, nm | ||
| PEC | 8.5 | 11.0 | 70 ± 2 |
| PEC/GO | 16.3 | 24.9 | 64 ± 2 |
| PEC/MWCNT | 14.4 | 23.0 | 63 ± 2 |
| PEC/HF | 13.9 | 22.2 | 61 ± 2 |
| PECGA | 4.3 | 13.8 | 42 ± 2 |
| PEC/HFGA | 2.22 | 4.1 | 39 ± 2 |
| ∆G (kJ/mol) | |||||||||
|---|---|---|---|---|---|---|---|---|---|
| B3LYP/6-311++G(d,p) | PSS | PEI1+ | PEI1v2+ | PEI2+ | PEI3+ | PEI1 | PEI1v2 | PEI2 | PEI3 |
| PSS | ~ | −410.3 | −397.1 | −383.6 | −356.2 | ||||
| H2O | −16.0 | −35.8 | −36.5 | −20.3 | −9.0 | 3.1 | 7.0 | 7.1 | 17.8 |
| B3LYP/6-311++G(d,p) | Atom | ADCH | RESP | E, eV |
|---|---|---|---|---|
| PSS | O1 | −0.53 | −0.71 | −2.40 |
| O2 | −0.53 | −0.71 | ||
| O3 | −0.52 | −0.71 | ||
| PEI1+ | H1 | 0.30 | 0.38 | −5.40 |
| H2 | 0.28 | 0.35 | ||
| H3 | 0.28 | 0.36 | ||
| PEI1v2+ | H1 | 0.31 | 0.38 | −5.47 |
| H2 | 0.29 | 0.34 | ||
| H3 | 0.28 | 0.34 | ||
| PEI2+ | H1 | 0.26 | 0.24 | −4.70 |
| H2 | 0.26 | 0.25 | ||
| PEI3+ | H | 0.24 | 0.22 | −3.95 |
| PEC Membranes | Water Permeability/Permeance | Dye | Molar Mass, g/mol | Rejection Coefficient, % | Ref. |
|---|---|---|---|---|---|
| PSS/PEI/HFGA | 9.90 kg/(m2 h atm) | SY | 452 | 99.99 | This study |
| CR | 697 | 99.99 | |||
| AZ | 691 | 99.99 | |||
| PEI-modified GO/polyacrylic acid | 0.84 kg/(m2 h bar) | CR | 697 | 99.5 | [9] |
| quaternary ammonium cellulose ether/sodium carboxymethyl cellulose) | 1.9 L/(m2 h bar) | XO * | 673 | 99.3 | [84] |
| PSS/PDADMAC | 6.2 L/(m2 h bar) | MO * | 327 | 91.7 | [85] |
| chitosan/dextran sulfate sodium | 6.7 L/(m2 h bar) | MB * | 800 | 99.5 | [86] |
| polyether ether ketone (SPEEK)/PEI | 20 L/(m2 h bar) | CR | 697 | 99 | [87] |
| MO * | 327 | 99 | |||
| SPEEK/PDADMAC | ~27 L/(m2 h bar) | MO * | 327 | ~93 | [88] |
| PEI/sodium alginate | 57.4 L/(m2 h bar) | CR | 697 | 99.4 | [89] |
Disclaimer/Publisher’s Note: The statements, opinions and data contained in all publications are solely those of the individual author(s) and contributor(s) and not of MDPI and/or the editor(s). MDPI and/or the editor(s) disclaim responsibility for any injury to people or property resulting from any ideas, methods, instructions or products referred to in the content. |
© 2025 by the authors. Licensee MDPI, Basel, Switzerland. This article is an open access article distributed under the terms and conditions of the Creative Commons Attribution (CC BY) license (https://creativecommons.org/licenses/by/4.0/).
Share and Cite
Dmitrenko, M.; Mikhailovskaya, O.; Dubovenko, R.; Mazur, A.; Kuzminova, A.; Prikhodko, I.; Semenov, K.; Su, R.; Penkova, A. Nanofiltration Membranes from Poly(sodium-p-styrenesulfonate)/Polyethylenimine Polyelectrolyte Complex Modified with Carbon Nanoparticles for Enhanced Water Treatment. Polymers 2025, 17, 1306. https://doi.org/10.3390/polym17101306
Dmitrenko M, Mikhailovskaya O, Dubovenko R, Mazur A, Kuzminova A, Prikhodko I, Semenov K, Su R, Penkova A. Nanofiltration Membranes from Poly(sodium-p-styrenesulfonate)/Polyethylenimine Polyelectrolyte Complex Modified with Carbon Nanoparticles for Enhanced Water Treatment. Polymers. 2025; 17(10):1306. https://doi.org/10.3390/polym17101306
Chicago/Turabian StyleDmitrenko, Mariia, Olga Mikhailovskaya, Roman Dubovenko, Anton Mazur, Anna Kuzminova, Igor Prikhodko, Konstantin Semenov, Rongxin Su, and Anastasia Penkova. 2025. "Nanofiltration Membranes from Poly(sodium-p-styrenesulfonate)/Polyethylenimine Polyelectrolyte Complex Modified with Carbon Nanoparticles for Enhanced Water Treatment" Polymers 17, no. 10: 1306. https://doi.org/10.3390/polym17101306
APA StyleDmitrenko, M., Mikhailovskaya, O., Dubovenko, R., Mazur, A., Kuzminova, A., Prikhodko, I., Semenov, K., Su, R., & Penkova, A. (2025). Nanofiltration Membranes from Poly(sodium-p-styrenesulfonate)/Polyethylenimine Polyelectrolyte Complex Modified with Carbon Nanoparticles for Enhanced Water Treatment. Polymers, 17(10), 1306. https://doi.org/10.3390/polym17101306




