Preparation and Performance Study of HTPB-g-(PNIPAM/PEG) Thermoresponsive Polymer Brush
Abstract
1. Introduction
2. Experimental Section
2.1. Materials
2.2. Modification of HTPB by Epoxidation with MCPBA
2.3. Preparation of HTPB with Hydroxyl and Azide Side Groups (N3-HTPB-OH)
2.4. Preparation of a Macroinitiator with Side Groups of Bromine Atoms and Azide (N3-HTPB-Br)
2.5. Synthesis of Alkyne-Terminated Methoxypolyethylene Glycol (mPEG-Alk)
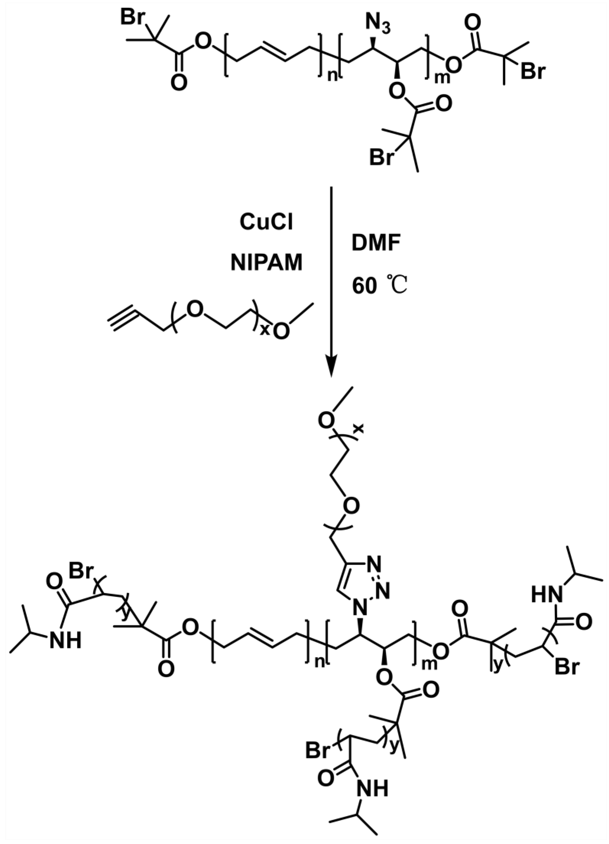
2.6. Preparation of HTPB-g-(PNIPAM/PEG) Using Click Reaction and ATRP
2.7. Characterization of Polymers
2.8. Preparation of the Micellar Solution
2.9. Study of the Self-Assembly Behaviour of the Branched Polymer in Aqueous Solution
3. Results and Discussion
3.1. Synthesis and Characterization of N3-HTPB-Br
3.2. Synthesis and Characterization of mPEG-Alk
3.3. Synthesis and Characterization of HTPB-g-(PNIPAM/PEG)
3.4. Self-Assembly Behaviour of the Branched Polymer in Aqueous Solution
3.5. Determination of LCST of HTPB-g-(PNIPAM/PEG) via UV-vis Spectroscopy
4. Conclusions
Supplementary Materials
Author Contributions
Funding
Institutional Review Board Statement
Data Availability Statement
Conflicts of Interest
References
- Shymborska, Y.; Budkowski, A.; Raczkowska, J.; Donchak, V.; Melnyk, Y.; Vasiichuk, V.; Stetsyshyn, Y. Switching it Up: The Promise of Stimuli-Responsive Polymer Systems in Biomedical Science. Chem. Rec. 2024, 24, e202300217. [Google Scholar] [CrossRef] [PubMed]
- Zhang, J.; Bai, S.; Li, Z.; Gu, G.; Wang, H.; Wei, L.; Sun, X.; Xuan, F.; Guo, X.; Wang, Y. Light-triggered reversible phase transition of non-photoresponsive PNIPAm for remote-controlled smart objects. Chem. Eng. J. 2023, 455, 140636. [Google Scholar] [CrossRef]
- Tian, J.; Peng, H.; Du, X.; Wang, H.; Cheng, X.; Du, Z. Hybrid thermochromic microgels based on UCNPs/PNIPAm hydrogel for smart window with enhanced solar modulation. J. Alloys Compd. 2021, 858, 157725. [Google Scholar] [CrossRef]
- Wang, S.; Liu, C.; Zhou, H.; Gao, C.; Zhang, W. An efficient route to synthesize thermoresponsive molecular bottlebrushes of poly[o-aminobenzyl alcohol-graft-poly(N-isopropylacrylamide)]. Polym. Chem. 2017, 8, 1932–1942. [Google Scholar] [CrossRef]
- Wang, X.; Yan, S.; Song, L.; Shi, H.; Yang, H.; Luan, S.; Huang, Y.; Yin, J.; Khan, A.F.; Zhao, J. Temperature-Responsive Hierarchical Polymer Brushes Switching from Bactericidal to Cell Repellency. ACS Appl. Mater. Interfaces 2017, 9, 40930–40939. [Google Scholar] [CrossRef] [PubMed]
- Tian, H.; Tang, Z.; Zhuang, X.; Chen, X.; Jing, X. Biodegradable synthetic polymers: Preparation, functionalization and biomedical application. Prog. Polym. Sci. 2012, 37, 237–280. [Google Scholar] [CrossRef]
- Feng, C.; Zhu, T.; Jiang, Z.; Ren, C.; Ma, Y. Temperature–regulated non-monotonic behavior of DNA immobilization on poly(N–isopropylacrylamide) (PNIPAm)–grafted surface. Colloids Surf. A 2022, 640, 128507. [Google Scholar] [CrossRef]
- Ayar, Z.; Shafieian, M.; Mahmoodi, N.; Sabzevari, O.; Hassannejad, Z. A rechargeable drug delivery system based on PNIPAM hydrogel for the local release of curcumin. J. Appl. Polym. Sci. 2021, 138, e51167. [Google Scholar] [CrossRef]
- Gheysoori, P.; Paydayesh, A.; Jafari, M.; Peidayesh, H. Thermoresponsive nanocomposite hydrogels based on Gelatin/poly (N–isopropylacrylamide) (PNIPAM) for controlled drug delivery. Eur. Polym. J. 2023, 186, 111846. [Google Scholar] [CrossRef]
- Hou, W.; Wei, L.; Liu, L.; Zhao, H. Surface Coassembly of Polymer Brushes and Polymer–Protein Bioconjugates: An Efficient Approach to the Purification of Bioconjugates under Mild Conditions. Biomacromolecules 2018, 19, 4463–4471. [Google Scholar] [CrossRef] [PubMed]
- Feng, C.; Liu, Y.; Ren, C. Temperature-regulated protein adsorption on a PNIPAm layer. Soft Matter. 2018, 14, 6521–6529. [Google Scholar] [CrossRef] [PubMed]
- Nakayama, M.; Okano, T.; Winnik, F. Poly(N isopropylacrylamide)-based smart surfaces for cell sheet tissue engineering. Mater. Matters 2010, 5, 56–58. [Google Scholar] [CrossRef]
- Kano, K.; Yamato, M.; Okano, T. Ectopic transplantation of hepatocyte sheets fabricated with temperature-responsive culture dishes. Hepatol. Res. 2008, 38, 1140–1147. [Google Scholar] [CrossRef] [PubMed]
- Pei, X.; Zhai, K.; Wang, C.; Deng, Y.; Tan, Y.; Zhang, B.; Bai, Y.; Xu, K.; Wang, P. Polymer Brush Graft-Modified Starch-Based Nanoparticles as Pickering Emulsifiers. Langmuir 2019, 35, 7222–7230. [Google Scholar] [CrossRef]
- Peng, C.; Li, X.; Jiang, P.; Peng, W.; Tang, J.; Li, L.; Ye, L.; Pan, S.; Chen, S. Thermoresponsive MXene composite system with high adsorption capacity for quick and simple removal of toxic metal ions from aqueous environment. J. Hazard. Mater. 2022, 440, 129740. [Google Scholar] [CrossRef] [PubMed]
- Wang, Q.; Cui, L.; Xu, J.; Dong, F.; Xiong, Y. Ionic liquid decorated MXene/Poly (N-isopropylacrylamide) composite hydrogel with high strength, chemical stability and strong adsorption. Chemosphere 2022, 303, 135083. [Google Scholar] [CrossRef] [PubMed]
- Fei, Y.; Gou, S.; He, Y.; Zhou, L.; Peng, C.; Zhang, H.; Zhang, Q.; Wu, Y. The properties of polyoxyethylene polymers with temperature-sensitive and instant-solubility. J. Mol. Liq. 2019, 275, 146–156. [Google Scholar] [CrossRef]
- Tu, S.; Choudhury, C.K.; Luzinov, I.; Kuksenok, O. Recent advances towards applications of molecular bottlebrushes and their conjugates. Curr. Opin. Solid State Mater. Sci. 2019, 23, 50–61. [Google Scholar] [CrossRef]
- Sudre, G.; Siband, E.; Gallas, B.; Cousin, F.; Hourdet, D.; Tran, Y. Responsive Adsorption of N-Isopropylacrylamide Based Copolymers on Polymer Brushes. Polymers 2020, 12, 153. [Google Scholar] [CrossRef]
- Alfhaid, L.; Seddon, W.D.; Williams, N.H.; Geoghegan, M. Double-network hydrogels improve pH-switchable adhesion. Soft Matter. 2016, 12, 5022–5028. [Google Scholar] [CrossRef] [PubMed]
- Du, T.; Ma, S.; Pei, X.; Wang, S.; Zhou, F. Bio-Inspired Design and Fabrication of Micro/Nano-Brush Dual Structural Surfaces for Switchable Oil Adhesion and Antifouling. Small 2017, 13, 1602020. [Google Scholar] [CrossRef] [PubMed]
- Kong, L.; Zhang, M.; Zhang, Y.; Zhang, W.; Zhou, X.; Zhang, L.; Wang, X. Influence of the interfacial molecular structures of quaternary ammonium-type poly(ionic liquid) brushes on their antibacterial properties. Polym. Chem. 2020, 11, 7429–7438. [Google Scholar] [CrossRef]
- Zhao, B.; Brittain, W.J. Polymer brushes: Surface-immobilized macromolecules. Prog. Polym. Sci. 2000, 25, 677–710. [Google Scholar] [CrossRef]
- Stuart, M.A.C.; Huck, W.T.S.; Genzer, J.; Müller, M.; Ober, C.; Stamm, M.; Sukhorukov, G.B.; Szleifer, I.; Tsukruk, V.V.; Urban, M.; et al. Emerging applications of stimuli-responsive polymer materials. Nat. Mater. 2010, 9, 101–113. [Google Scholar] [CrossRef] [PubMed]
- Zhou, F.; Huck, W.T.S. Surface grafted polymer brushes as ideal building blocks for “smart” surfaces. Phys. Chem. Chem. Phys. 2006, 8, 3815–3823. [Google Scholar] [CrossRef] [PubMed]
- Plunkett, K.; Zhu, X.; Moore, J.; Leckband, D. PNIPAM chain collapse depends on the molecular weight and grafting density. Langmuir 2006, 22, 4259–4266. [Google Scholar] [CrossRef] [PubMed]
- Morgese, G.; Shaghasemi, B.S.; Causin, V.; Zenobi-Wong, M.; Ramakrishna, S.N.; Reimhult, E.; Benetti, E.M. Next-Generation Polymer Shells for Inorganic Nanoparticles are Highly Compact, Ultra-Dense, and Long-Lasting Cyclic Brushes. Angew. Chem. Int. Ed. 2017, 56, 4507–4511. [Google Scholar] [CrossRef] [PubMed]
- Kokubo, M.; Sato, M.; Yamato, M.; Mitani, G.; Kutsuna, T.; Ebihara, G.; Okano, T.; Mochida, J. Characterization of chondrocyte sheets prepared using a co-culture method with temperatureresponsive culture inserts. J. Tissue Eng. Regen. Med. 2016, 10, 486–495. [Google Scholar] [CrossRef] [PubMed]
- Yaguchi, Y.; Murakami, D.; Yamato, M.; Hama, T.; Yamamoto, K.; Kojima, H.; Moriyama, H.; Okano, T. Middle ear mucosal regeneration with three-dimensionally tissue-engineered autologous middle ear cell sheets in rabbit model. J. Tissue Eng. Regen. Med. 2016, 10, E188–E194. [Google Scholar] [CrossRef] [PubMed]
- Cavallaro, G.; Lazzara, G.; Lisuzzo, L.; Milioto, S.; Parisi, F. Selective adsorption of oppositely charged PNIPAAM on halloysite surfaces: A route to thermo-responsive nanocarriers. Nanotechnology 2018, 29, 325702. [Google Scholar] [CrossRef] [PubMed]
- Durkut, S.; Elçin, Y.M. Synthesis and characterization of thermosensitive poly(N-vinylcaprolactam)-g-collagen. Artif. Cells Nanomed. B 2017, 45, 1665–1674. [Google Scholar] [CrossRef] [PubMed]
- Nagase, K.; Okano, T.; Kanazawa, H. Poly(Nisopropylacrylamide) based thermoresponsive polymer brushes for bioseparation, cellular tissue fabrication, and nano actuators. Nano-Struct. Nano-Objects 2018, 16, 9–23. [Google Scholar] [CrossRef]
- Ma, L.; Zhu, X.; Zhang, W.; Zhang, H.; Wang, J.; Qu, J. Study on the preparation and performance comparison of side-chain hydroxyl-terminated polybutadiene derivatives with narrowly molecular weight distribution used for polyurethane. Polym. Test. 2021, 104, 107389. [Google Scholar] [CrossRef]
- Zhang, W.; Zhang, T.; Liu, H.; Zheng, Y.; Zhong, Y.; Wang, G.; Zhu, Q.; Liu, X.; Zhang, L.; Li, H. Synthesis and characterization of a novel hydroxy telechelic polyfluoroether to enhance the properties of HTPB solid propellant binders. Colloids Surf. A 2022, 648, 129199. [Google Scholar] [CrossRef]
- Wang, Y.; Hu, S.; Liu, X.; Liu, L. Regression rate modeling of HTPB/paraffin fuels in hybrid rocket motor. Aerosp. Sci. Technol. 2022, 121, 107324. [Google Scholar] [CrossRef]
- Geng, T.; Qiang, H.; Wang, Z.; Wang, X.; Zhu, Z.; Qiao, D. Macroscopic and mesoscopic properties of HTPB propellant under low temperature dynamic biaxial compression loading. Polym. Test. 2023, 119, 107922. [Google Scholar] [CrossRef]
- Luo, Y.; Yang, X.; Xu, F.; Chen, Y.; Zhang, B. Thermosensitive PNIPAM-b-HTPB block copolymer micelles: Molecular architectures and camptothecin drug release. Colloids Surf. B 2014, 114, 150–157. [Google Scholar] [CrossRef] [PubMed]
- Zhu, X.; Fan, X.; Zhao, N.; Liu, J.; Min, X.; Wang, Z. Comparative study of structures and properties of HTPBs synthesized via three different polymerization methods. Polym. Test. 2018, 68, 201–207. [Google Scholar] [CrossRef]















Disclaimer/Publisher’s Note: The statements, opinions and data contained in all publications are solely those of the individual author(s) and contributor(s) and not of MDPI and/or the editor(s). MDPI and/or the editor(s) disclaim responsibility for any injury to people or property resulting from any ideas, methods, instructions or products referred to in the content. |
© 2024 by the authors. Licensee MDPI, Basel, Switzerland. This article is an open access article distributed under the terms and conditions of the Creative Commons Attribution (CC BY) license (https://creativecommons.org/licenses/by/4.0/).
Share and Cite
Bi, P.; Zhu, X.; Tian, L.; Han, J.; Zhang, W.; Wang, T. Preparation and Performance Study of HTPB-g-(PNIPAM/PEG) Thermoresponsive Polymer Brush. Polymers 2024, 16, 1248. https://doi.org/10.3390/polym16091248
Bi P, Zhu X, Tian L, Han J, Zhang W, Wang T. Preparation and Performance Study of HTPB-g-(PNIPAM/PEG) Thermoresponsive Polymer Brush. Polymers. 2024; 16(9):1248. https://doi.org/10.3390/polym16091248
Chicago/Turabian StyleBi, Pengzhi, Xiuzhong Zhu, Li Tian, Jinbang Han, Wanbin Zhang, and Tong Wang. 2024. "Preparation and Performance Study of HTPB-g-(PNIPAM/PEG) Thermoresponsive Polymer Brush" Polymers 16, no. 9: 1248. https://doi.org/10.3390/polym16091248
APA StyleBi, P., Zhu, X., Tian, L., Han, J., Zhang, W., & Wang, T. (2024). Preparation and Performance Study of HTPB-g-(PNIPAM/PEG) Thermoresponsive Polymer Brush. Polymers, 16(9), 1248. https://doi.org/10.3390/polym16091248

