Non-Woven Fabric Thermal-Conductive Triboelectric Nanogenerator via Compositing Zirconium Boride
Abstract
1. Introduction
2. Experiment
2.1. Materials
2.2. Specimen Preparation
2.2.1. Polyurethane Synthesis
2.2.2. Fabrication of Zirconium Boride/Polyurethane Composite
2.2.3. Preparation of Nanofiber Membrane
2.3. Characterization
3. Results and Discussion
3.1. Preparation and Morphology
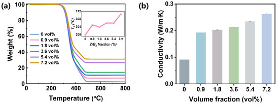
3.2. Thermal Conductivity
3.3. Breathable Triboelectric Nanogenerator
4. Conclusions
Supplementary Materials
Author Contributions
Funding
Institutional Review Board Statement
Data Availability Statement
Conflicts of Interest
References
- Wan, Y.B.; Wang, Y.; Guo, C.F. Recent progresses on flexible tactile sensors. Today Phys. 2017, 1, 61–73. [Google Scholar] [CrossRef]
- Huang, Y.; Fan, X.; Chen, S.-C.; Zhao, N. Emerging Technologies of Flexible Pressure Sensors: Materials, Modeling, Devices, and Manufacturing. Adv. Funct. Mater. 2019, 29, 1808509. [Google Scholar] [CrossRef]
- Xiong, Y.; Shen, Y.; Tian, L.; Hu, Y.; Zhu, P.; Sun, R.; Wong, C.-P. A flexible, ultra-highly sensitive and stable capacitive pressure sensor with convex microarrays for motion and health monitoring. Nano Energy 2020, 70, 104436. [Google Scholar] [CrossRef]
- Nela, L.; Tang, J.; Cao, Q.; Tulevski, G.; Han, S.-J. Large-Area High-Performance Flexible Pressure Sensor with Carbon Nanotube Active Matrix for Electronic Skin. Nano Lett. 2018, 18, 2054–2059. [Google Scholar] [CrossRef]
- Han, S.-T.; Peng, H.; Sun, Q.; Venkatesh, S.; Chung, K.-S.; Lau, S.C.; Zhou, Y.; Roy, V.A.L. An Overview of the Development of Flexible Sensors. Adv. Mater. 2017, 29, 1700375. [Google Scholar] [CrossRef]
- Wang, Z.L. Triboelectric nanogenerators as new energy technology and self-powered sensors—Principles, problems and perspectives. Faraday Discuss. 2014, 176, 447–458. [Google Scholar] [CrossRef]
- Wang, Z.L. Triboelectric Nanogenerators as New Energy Technology for Self-Powered Systems and as Active Mechanical and Chemical Sensors. ACS Nano 2013, 7, 9533–9557. [Google Scholar] [CrossRef] [PubMed]
- Wu, C.; Wang, A.C.; Ding, W.; Guo, H.; Wang, Z.L. Triboelectric Nanogenerator: A Foundation of the Energy for the New Era. Adv. Energy Mater. 2019, 9, 1802906. [Google Scholar] [CrossRef]
- Henniker, J. Triboelectricity in Polymers. Nature 1962, 196, 474. [Google Scholar] [CrossRef]
- Fan, F.-R.; Tian, Z.-Q.; Wang, Z.L. Flexible triboelectric generator! Nano Energy 2012, 1, 328–334. [Google Scholar] [CrossRef]
- Lin, S.; Chen, X.; Wang, Z.L. Contact Electrification at the Liquid-Solid Interface. Chem. Rev. 2022, 122, 5209–5232. [Google Scholar] [CrossRef]
- Liu, S.; Li, Y.; Guo, W.; Huang, X.; Xu, L.; Lai, Y.-C.; Zhang, C.; Wu, H. Triboelectric nanogenerators enabled sensing and actuation for robotics. Nano Energy 2019, 65, 104005. [Google Scholar] [CrossRef]
- Chen, J.; Guo, H.; He, X.; Liu, G.; Xi, Y.; Shi, H.; Hu, C. Enhancing Performance of Triboelectric Nanogenerator by Filling High Dielectric Nanoparticles into Sponge PDMS Film. ACS Appl. Mater. Interfaces 2016, 8, 736–744. [Google Scholar] [CrossRef]
- Wang, H.L.; Guo, Z.H.; Zhu, G.; Pu, X.; Wang, Z.L. Boosting the Power and Lowering the Impedance of Triboelectric Nanogenerators through Manipulating the Permittivity for Wearable Energy Harvesting. ACS Nano 2021, 15, 7513–7521. [Google Scholar] [CrossRef] [PubMed]
- Liu, W.; Wang, Z.; Hu, C. Advanced designs for output improvement of triboelectric nanogenerator system. Mater. Today 2021, 45, 93–119. [Google Scholar] [CrossRef]
- Kim, D.; Tcho, I.-W.; Jin, I.K.; Park, S.-J.; Jeon, S.-B.; Kim, W.-G.; Cho, H.-S.; Lee, H.-S.; Jeoung, S.C.; Choi, Y.-K. Direct-laser-patterned friction layer for the output enhancement of a triboelectric nanogenerator. Nano Energy 2017, 35, 379–386. [Google Scholar] [CrossRef]
- Cheng, G.-G.; Jiang, S.-Y.; Li, K.; Zhang, Z.-Q.; Wang, Y.; Yuan, N.-Y.; Ding, J.-N.; Zhang, W. Effect of argon plasma treatment on the output performance of triboelectric nanogenerator. Appl. Surf. Sci. 2017, 412, 350–356. [Google Scholar] [CrossRef]
- Zhu, G.; Lin, Z.-H.; Jing, Q.; Bai, P.; Pan, C.; Yang, Y.; Zhou, Y.; Wang, Z.L. Toward Large-Scale Energy Harvesting by a Nanoparticle-Enhanced Triboelectric Nanogenerator. Nano Lett. 2013, 13, 847–853. [Google Scholar] [CrossRef] [PubMed]
- Choi, H.-J.; Lee, J.H.; Jun, J.; Kim, T.Y.; Kim, S.-W.; Lee, H. High-performance triboelectric nanogenerators with artificially well-tailored interlocked interfaces. Nano Energy 2016, 27, 595–601. [Google Scholar] [CrossRef]
- Shin, S.-H.; Bae, Y.E.; Moon, H.K.; Kim, J.; Choi, S.-H.; Kim, Y.; Yoon, H.J.; Lee, M.H.; Nah, J. Formation of Triboelectric Series via Atomic-Level Surface Functionalization for Triboelectric Energy Harvesting. ACS Nano 2017, 11, 6131–6138. [Google Scholar] [CrossRef] [PubMed]
- Lv, S.; Zhang, X.; Huang, T.; Yu, H.; Zhang, Q.; Zhu, M. Trap Distribution and Conductivity Synergic Optimization of High-Performance Triboelectric Nanogenerators for Self-Powered Devices. ACS Appl. Mater. Interfaces 2021, 13, 2566–2575. [Google Scholar] [CrossRef]
- Fan, Y.; Li, S.; Tao, X.; Wang, Y.; Liu, Z.; Chen, H.; Wu, Z.; Zhang, J.; Ren, F.; Chen, X.; et al. Negative triboelectric polymers with ultrahigh charge density induced by ion implantation. Nano Energy 2021, 90, 106574. [Google Scholar] [CrossRef]
- Kumar, R.; Singh, P. Influence of SHI upon nanohole free volume and micro scale level surface modifications of polyethyleneterephthalate polymer films. Appl. Surf. Sci. 2015, 337, 19–26. [Google Scholar] [CrossRef]
- Li, S.; Fan, Y.; Chen, H.; Nie, J.; Liang, Y.; Tao, X.; Zhang, J.; Chen, X.; Fu, E.; Wang, Z. Manipulating the triboelectric surface charge density of polymers by low-energy helium ion irradiation/implantation. Energy Environ. Sci. 2020, 13, 896–907. [Google Scholar] [CrossRef]
- Lv, G.; Jensen, E.; Evans, C.M.; Cahill, D.G. High Thermal Conductivity Semicrystalline Epoxy Resins with Anthraquinone-Based Hardeners. ACS Appl. Polym. Mater. 2021, 3, 4430–4435. [Google Scholar] [CrossRef]
- Cao, R.; Xia, Y.; Wang, J.; Jia, X.; Jia, C.; Zhu, S.; Zhang, W.; Gao, X.; Zhang, X. Suppressing Thermal Negative Effect and Maintaining High-Temperature Steady Electrical Performance of Triboelectric Nanogenerators by Employing Phase Change Material. ACS Appl. Mater. Interfaces 2021, 13, 41657–41668. [Google Scholar] [CrossRef]
- Ma, M.; Zhang, Z.; Liao, Q.; Zhang, G.; Gao, F.; Zhao, X.; Zhang, Q.; Xun, X.; Zhang, Z.; Zhang, Y. Integrated hybrid nanogenerator for gas energy recycle and purification. Nano Energy 2017, 39, 524–531. [Google Scholar] [CrossRef]
- Wang, Z.; Wu, Z.; Weng, L.; Ge, S.; Jiang, D.; Huang, M.; Mulvihill, D.M.; Chen, Q.; Guo, Z.; Jazzar, A.; et al. A Roadmap Review of Thermally Conductive Polymer Composites: Critical Factors, Progress, and Prospects. Adv. Funct. Mater. 2023, 33, 2301549. [Google Scholar] [CrossRef]
- Zhu, B.W.; Liu, J.; Wang, T.Y.; Han, M.; Valloppilly, S.; Xu, S.; Wang, X.W. Novel Polyethylene Fibers of Very High Thermal Conductivity Enabled by Amorphous Restructuring. ACS Omega 2017, 2, 3931–3944. [Google Scholar] [CrossRef]
- Mehra, N.; Mu, L.W.; Zhu, J.H. Developing heat conduction pathways through short polymer chains in a hydrogen bonded polymer system. Compos. Sci. Technol. 2017, 148, 97–105. [Google Scholar] [CrossRef]
- Guo, Y.; Ruan, K.; Shi, X.; Yang, X.; Gu, J. Factors affecting thermal conductivities of the polymers and polymer composites: A review. Compos. Sci. Technol. 2020, 193, 108134. [Google Scholar] [CrossRef]
- Dong, J.; Cao, L.; Li, Y.; Wu, Z.; Teng, C. Largely improved thermal conductivity of PI/BNNS nanocomposites obtained by constructing a 3D BNNS network and filling it with AgNW as the thermally conductive bridges. Compos. Sci. Technol. 2020, 196, 108242. [Google Scholar] [CrossRef]
- Zuo, S.; Li, M.; Xie, S.; Luo, J.; Xu, L.; Shi, Y.; Lan, N.; Zhou, L.; Yu, J.; Li, X.; et al. Enhanced out-of-plane thermal conductivity of polyimide composite films by adding hollow cube-like boron nitride. Ceram. Int. 2023, 49, 12615–12624. [Google Scholar] [CrossRef]
- Cao, L.; Wang, J.; Dong, J.; Zhao, X.; Li, H.-B.; Zhang, Q. Preparation of highly thermally conductive and electrically insulating PI/BNNSs nanocomposites by hot-pressing self-assembled PI/BNNSs microspheres. Compos. Part B 2020, 188, 107882. [Google Scholar] [CrossRef]
- Zhou, J.; Yu, Z.; Mohideen, M.M.; Ge, J.; Lv, X.; Yao, M.; Xie, Z.; Wang, C.; Hu, P.; Liu, Y. Constructing Hierarchical Polymer Nanocomposites with Strongly Enhanced Thermal Conductivity. ACS Appl. Mater. Interfaces 2023, 15, 42900–42911. [Google Scholar] [CrossRef]
- Yu, L.; Gao, S.; Yang, D.; Wei, Q.; Zhang, L. Improved Thermal Conductivity of Polymer Composites by Noncovalent Modification of Boron Nitride via Tannic Acid Chemistry. Ind. Eng. Chem. Res. 2021, 60, 12570–12578. [Google Scholar] [CrossRef]
- Pan, L.; Yin, J.; Li, J.; Li, Y.; Zhao, H.; Zhu, C.; Yue, D.; Liu, X.; Feng, Y. Effect of ZrB2 nanopellets on microstructure, dielectric, mechanical and thermal stability of polyimide. High Perform. Polym. 2021, 33, 797–805. [Google Scholar] [CrossRef]
- Wu, Y.; Yu, Z. Thermal conductivity of in situ epoxy composites filled with ZrB2 particles. Compos. Sci. Technol. 2015, 107, 61–66. [Google Scholar] [CrossRef]
- Wu, Y.; Yu, Z.; Liu, X. Tribological performance of in-situ epoxy composites filled with micro-sized ZrB2 particles. Compos. Part B 2017, 123, 148–153. [Google Scholar] [CrossRef]
- Sun, W.; Luo, N.; Liu, Y.; Li, H.; Wang, D. A New Self-Healing Triboelectric Nanogenerator Based on Polyurethane Coating and Its Application for Self-Powered Cathodic Protection. ACS Appl. Mater. Interfaces 2022, 14, 10498–10507. [Google Scholar] [CrossRef] [PubMed]
- Xu, X.; Zhou, J.; Chen, J. Thermal Transport in Conductive Polymer-Based Materials. Adv. Funct. Mater. 2020, 30, 1904704. [Google Scholar] [CrossRef]
- Shi, K.; Chai, B.; Zou, H.; Min, D.; Li, S.; Jiang, P.; Huang, X. Dielectric Manipulated Charge Dynamics in Contact Electrification. Research 2022, 2022, 9862980. [Google Scholar] [CrossRef]






Disclaimer/Publisher’s Note: The statements, opinions and data contained in all publications are solely those of the individual author(s) and contributor(s) and not of MDPI and/or the editor(s). MDPI and/or the editor(s) disclaim responsibility for any injury to people or property resulting from any ideas, methods, instructions or products referred to in the content. |
© 2024 by the authors. Licensee MDPI, Basel, Switzerland. This article is an open access article distributed under the terms and conditions of the Creative Commons Attribution (CC BY) license (https://creativecommons.org/licenses/by/4.0/).
Share and Cite
Wang, X.; Liu, J.; Chen, H.; Zhou, S.; Mao, D. Non-Woven Fabric Thermal-Conductive Triboelectric Nanogenerator via Compositing Zirconium Boride. Polymers 2024, 16, 778. https://doi.org/10.3390/polym16060778
Wang X, Liu J, Chen H, Zhou S, Mao D. Non-Woven Fabric Thermal-Conductive Triboelectric Nanogenerator via Compositing Zirconium Boride. Polymers. 2024; 16(6):778. https://doi.org/10.3390/polym16060778
Chicago/Turabian StyleWang, Xin, Jinming Liu, Haiming Chen, Shihao Zhou, and Dongsheng Mao. 2024. "Non-Woven Fabric Thermal-Conductive Triboelectric Nanogenerator via Compositing Zirconium Boride" Polymers 16, no. 6: 778. https://doi.org/10.3390/polym16060778
APA StyleWang, X., Liu, J., Chen, H., Zhou, S., & Mao, D. (2024). Non-Woven Fabric Thermal-Conductive Triboelectric Nanogenerator via Compositing Zirconium Boride. Polymers, 16(6), 778. https://doi.org/10.3390/polym16060778

