Characterization of PPS Piston and Packing Ring Materials for High-Pressure Hydrogen Applications
Abstract
1. Introduction
2. Materials and Methods
2.1. Test Materials
2.2. X-ray Computed Tomography
2.3. Tribometry
2.4. Transmission Electron Microscopy
2.5. Dynamic Mechanical Analysis
2.6. Shear Testing
2.7. Thermal Expansion
2.8. Standard Tests
3. Results
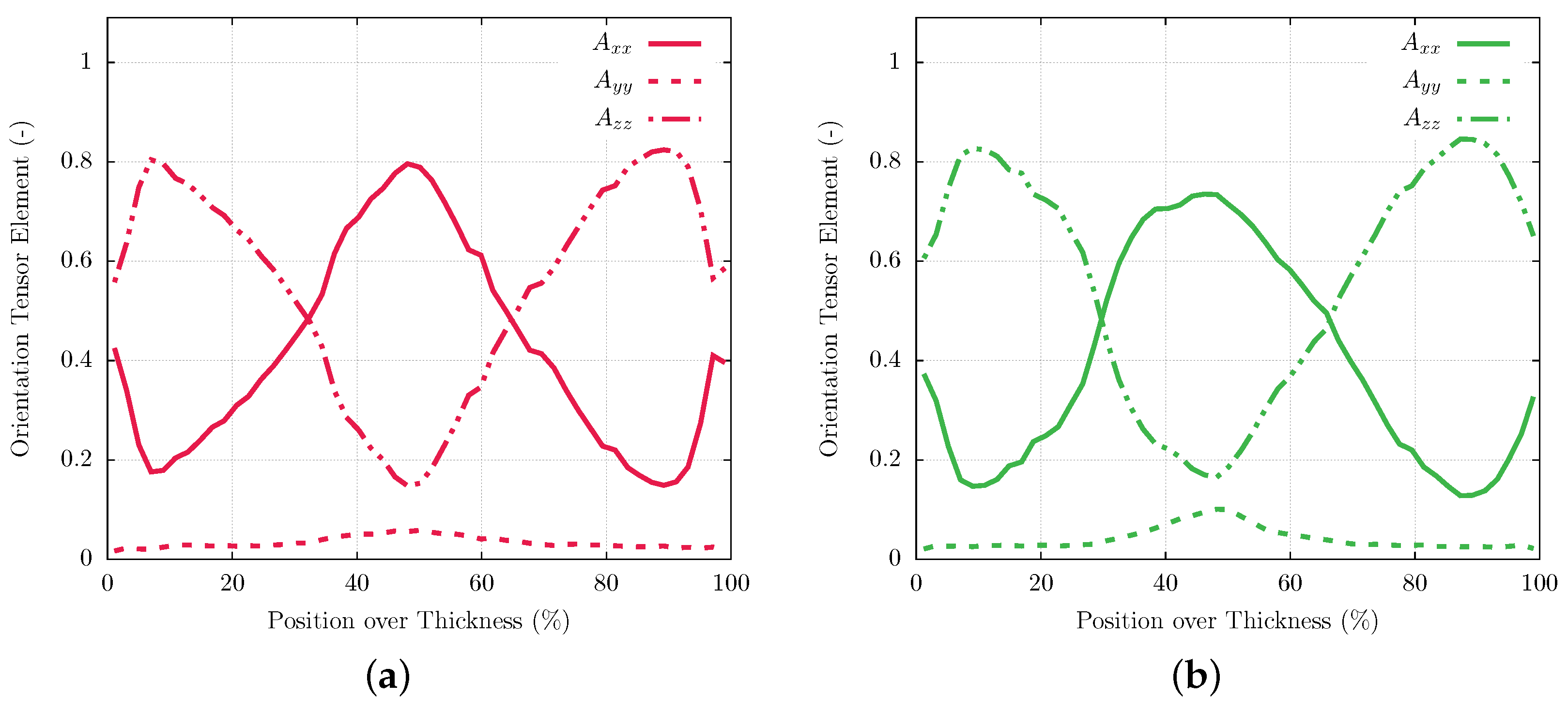
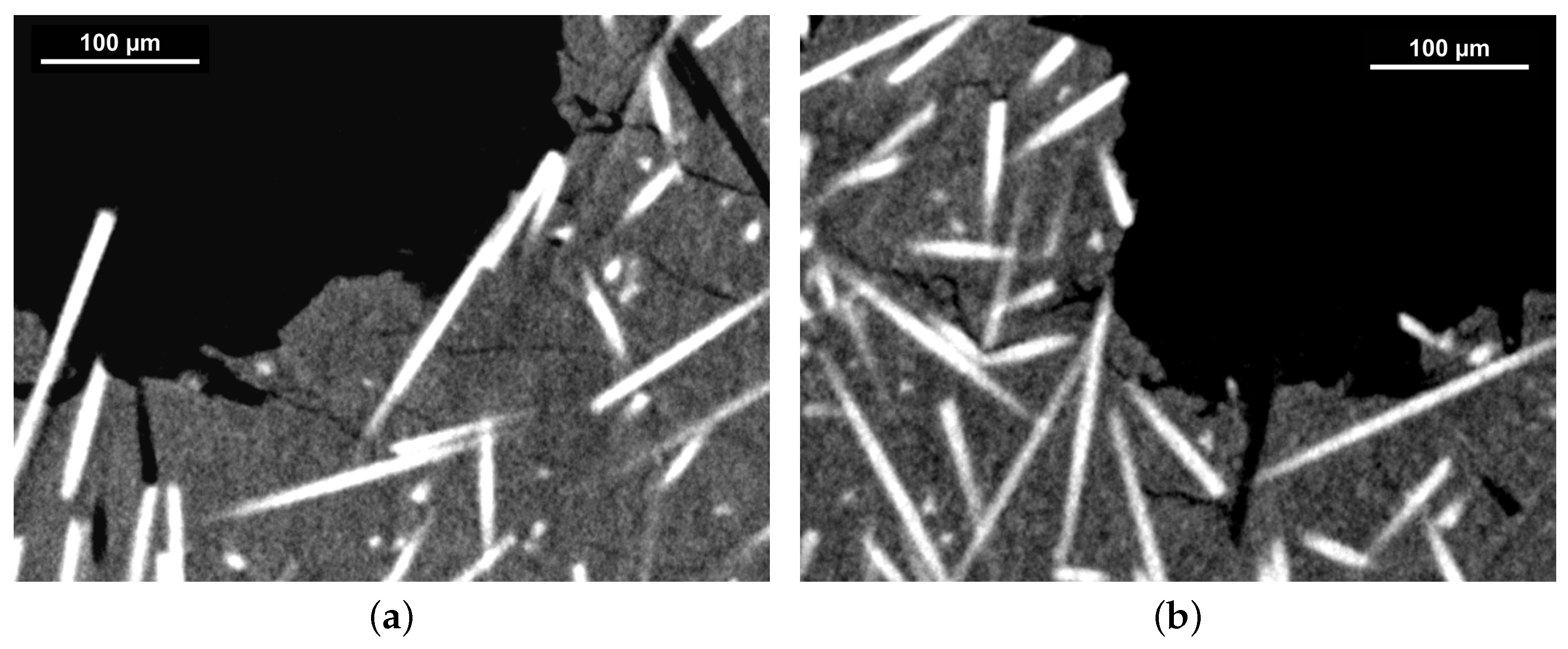
3.1. Microstructure
3.2. Mechanical Testing
3.3. Thermal Properties
3.4. Fracture Analysis
3.5. Tribological Experiments
3.6. Wear Track Analysis
4. Discussion and Conclusions
Author Contributions
Funding
Institutional Review Board Statement
Data Availability Statement
Acknowledgments
Conflicts of Interest
Abbreviations
| PPS | Polyphenylene sulfide |
| PTFE | Polytetrafluoroethylene |
| GF | Glass fiber |
| CF | Carbon fiber |
| LOM | Light optical micrography |
| CT | X-ray computed tomography |
| TEM | Transmission electron microscopy |
| SEM | Scanning electron microscopy |
| FIB | Focused ion beam |
| EELS | Electron energy loss spectroscopy |
| BF | Bright field |
| DF | Dark field |
| DMA | Dynamic mechanical analysis |
| CTE | Coefficient of linear thermal expansion |
| CoF | Coefficient of friction |
| ROI | Region of interest |
References
- Sdanghi, G.; Maranzana, G.; Celzard, A.; Fierro, V. Review of the current technologies and performances of hydrogen compression for stationary and automotive applications. Renew. Sustain. Energy Rev. 2019, 102, 150–170. [Google Scholar] [CrossRef]
- Kakoulaki, G.; Kougias, I.; Taylor, N.; Dolci, F.; Moya, J.; Jäger-Waldau, A. Green hydrogen in Europe—A regional assessment: Substituting existing production with electrolysis powered by renewables. Energy Convers. Manag. 2021, 228, 113649. [Google Scholar] [CrossRef]
- Leobersdorfer Maschinenfabrik GmbH. Alternative Energy—LMF.at, 2022. Available online: https://www.lmf.at (accessed on 31 January 2024).
- Çakir, M.; Akin, E. Characterization of carbon fiber-reinforced thermoplastic and thermosetting polyimide matrix composites manufactured by using various synthesized PI precursor resins. Compos. Part Eng. 2022, 231, 109559. [Google Scholar] [CrossRef]
- Flitney, R. Chapter Four-Reciprocating Seals. In Seals and Sealing Handbook, 6th ed.; Flitney, R., Ed.; Butterworth-Heinemann: Oxford, UK, 2014; pp. 289–368. [Google Scholar] [CrossRef]
- Xin, D.; Feng, J.; Xu, Y.; Peng, X. Study of the Pressure Distribution between the Piston Rings in Reciprocating Compressors. Adv. Mater. Res. 2011, 383-390, 6048–6052. [Google Scholar] [CrossRef]
- Cheng, X.; Shi, Z.; Glass, N.; Zhang, L.; Zhang, J.; Song, D.; Liu, Z.; Wang, H.; Shen, J. A review of PEM hydrogen fuel cell contamination: Impacts, mechanisms, and mitigation. J. Power Sources 2007, 165, 739–756. [Google Scholar] [CrossRef]
- Maer, P.; Mitchell, P.; Atkins, B. Multi-phase filled-plastics piston rings for non-lubricated compressors: A comparison of the performance of filled ptfe and epoxy-bonded materials in dry gases. Tribology 1973, 6, 129–134. [Google Scholar] [CrossRef]
- Madhan, K.; Padmanaban, R.; Venkatesh, G. Formulation and Numerical Investigation of PTFE-Based Composites for Piston Rings of Oil Free Air Compressors. In Recent Advances in Materials Technologies; Springer: Singapore, 2023; pp. 87–98. [Google Scholar] [CrossRef]
- Balasaheb W., A.L. Experimental investigation of Tribological Properties of Compressor Piston Ring with PEEK. Int. J. Eng. Dev. Res. 2012, 8, 207–216. [Google Scholar]
- Hill Jr., H.W.; Brady, D.G. Properties, environmental stability, and molding characteristics of polyphenylene sulfide. Polym. Eng. Sci. 1976, 16, 831–835. [Google Scholar] [CrossRef]
- Noll, A.; Friedrich, K.; Burkhart, T.; Breuer, U. Effective multifunctionality of poly(p-phenylene sulfide) nanocomposites filled with different amounts of carbon nanotubes, graphite, and short carbon fibers. Polym. Compos. 2013, 34, 1405–1412. [Google Scholar] [CrossRef]
- Lopes de Oliveira, M.C.; Sayeg, I.J.; Ett, G.; Antunes, R.A. Corrosion behavior of polyphenylene sulfide–carbon black–graphite composites for bipolar plates of polymer electrolyte membrane fuel cells. Int. J. Hydrogen Energy 2014, 39, 16405–16418. [Google Scholar] [CrossRef]
- Huang, J.; Baird, D.G.; McGrath, J.E. Development of fuel cell bipolar plates from graphite filled wet-lay thermoplastic composite materials. J. Power Sources 2005, 150, 110–119. [Google Scholar] [CrossRef]
- Hoadley, J.; Ginter, J. Polyphenylene Sulfide (PPS) as a Membrane in Electrolysis Cells. In 26th International Conference on Environmental Systems; Society of Automotive Engineers: Warrendale, PA, USA, 1996. [Google Scholar] [CrossRef]
- Lopez, L.C.; Wilkes, G.L. Poly(p-Phenylene Sulfide)—An Overview of an Important Engineering Thermoplastic. J. Macromol. Sci. Part 1989, 29, 83–151. [Google Scholar] [CrossRef]
- Moran, K.; Lake, P.; Dole, J. Using polyphenylene sulphide in high-performance pumps. World Pumps 2002, 2002, 27–31. [Google Scholar] [CrossRef]
- Ning, H.; Vaidya, U.; Janowski, G.M.; Husman, G. Design, manufacture and analysis of a thermoplastic composite frame structure for mass transit. Compos. Struct. 2007, 80, 105–116. [Google Scholar] [CrossRef]
- Yu, L.; Bahadur, S. An investigation of the transfer film characteristics and the tribological behaviors of polyphenylene sulfide composites in sliding against tool steel. Wear 1998, 214, 245–251. [Google Scholar] [CrossRef]
- Zhao, Q.; Bahadur, S. A study of the modification of the friction and wear behavior of polyphenylene sulfide by particulate Ag2S and PbTe fillers. Wear 1998, 217, 62–72. [Google Scholar] [CrossRef]
- Han, Y.; Schmitt, S.; Friedrich, K. Microfriction studies of filled PPS/PTFE-composite blends. Ind. Lubr. Tribol. 2001, 53, 32–43. [Google Scholar] [CrossRef]
- Chen, Z.; Liu, X.; Lü, R.; Li, T. Mechanical and tribological properties of PA66/PPS blend. III. Reinforced with GF. J. Appl. Polym. Sci. 2006, 102, 523–529. [Google Scholar] [CrossRef]
- Blanchet, T.A.; Kennedy, F.E. Sliding wear mechanism of polytetrafluoroethylene (PTFE) and PTFE composites. Wear 1992, 153, 229–243. [Google Scholar] [CrossRef]
- Salaberger, D. Micro-structure of discontinuous fibre polymer matrix composites determined by X-ray Computed Tomography. Ph.D. Thesis, TU Wien, Vienna, Austria, 2019. [Google Scholar]
- Fröhler, B.; Weissenböck, J.; Schiwarth, M.; Kastner, J.; Heinzl, C. open_iA: A tool for processing and visual analysis of industrial computed tomography datasets. J. Open Source Softw. 2019, 4, 1185. [Google Scholar] [CrossRef]
- Pöllinger, A.; Koch, T.; Krenn, S.; Wilde, F.; Tolnai, D.; Plank, B.; Heupl, S.; Bernardi, J.; Whitmore, K.; Langela, M.; et al. Thermo-mechanical properties and internal architecture of PI composites for high-pressure hydrogen applications. Polymer 2023, 289, 126500. [Google Scholar] [CrossRef]
- Nevosad, A.; Azhaarudeen, S.; Rojacz, H. Tribological Interaction of Manganese Phosphate Coatings with Grease and Solid Lubricant Particles. Tribol. Lett. 2020, 68, 20. [Google Scholar] [CrossRef]
- Voestalpine BÖHLER Edelstahl GmbH & Co KG. W720 VMR-BÖHLER Edelstahl GmbH & Co KG, 2022. Available online: https://www.bohler-edelstahl.com/en/products/w720-vmr/ (accessed on 31 January 2024).
- ISO 6721-5:2019; Determination of Dynamic Mechanical Properties—Part 5: Flexural Vibration — Non-Resonance Method. International Organization for Standardization: Geneva, Switzerland, 2019.
- ASTM D 732-17; Standard Test Method for Shear Strength of Plastics by Punch Tool. ASTM International: West Conshohocken, PA, USA, 2012.
- ISO 527-2:2012; Plastics—Determination of Tensile Properties—Part 2: Test Conditions for Moulding and Extrusion Plastics. International Organization for Standardization: Geneva, Switzerland, 2012.
- Zhandarov, S.; Mäder, E. Characterization of fiber/matrix interface strength: Applicability of different tests, approaches and parameters. Compos. Sci. Technol. 2005, 65, 149–160. [Google Scholar] [CrossRef]
- Patcharaphun, S.; Mennig, G. Prediction of tensile strength for sandwich injection molded short-glass-fiber reinforced thermoplastics. J. Met. Mater. Miner. 2017, 17, 9–16. [Google Scholar]
- Brown, E.N.; Dattelbaum, D.M. The role of crystalline phase on fracture and microstructure evolution of polytetrafluoroethylene (PTFE). Polymer 2005, 46, 3056–3068. [Google Scholar] [CrossRef]
- Qi, H.; Li, G.; Zhang, G.; Liu, G.; Yu, J.; Zhang, L. Distinct tribological behaviors of polyimide composites when rubbing against various metals. Tribol. Int. 2020, 146, 106254. [Google Scholar] [CrossRef]














| Abbreviated Form | GF (wt.%) | CF (wt.%) | PTFE (wt.%) |
|---|---|---|---|
| PPS/GF30f | 30 | 0 | 0 |
| PPS/CF30f | 0 | 30 | 0 |
| PPSPTFE/GF30f | 30 | 0 | 15 |
| PPSPTFE/CF30f | 0 | 30 | 15 |
| Device (X-ray Target) | Mode | Voxel Edge Length Text (μm3) | Voltage (kV) | Integration Time (ms) | Average | Aim |
|---|---|---|---|---|---|---|
| Nanotom 180 NF (DW) | 0 (big) | 2 | 80 | 600 | 3 | Fiber characterization |
| Nanotom 180 NF (Mo) | 2 (small) | 1 | 55 | 1200 | 9 | Fracture surface |
| Easytom (LaB6) | small | 0.5 | 60 | 1000 | 3 | Fracture details |
| C (wt.%) | Si (wt.%) | Mn (wt.%) | Mo (wt.%) | Ni (wt.%) | Co (wt.%) | Ti (wt.%) | Al (wt.%) |
|---|---|---|---|---|---|---|---|
| ≤0.03 | ≤0.1 | ≤0.1 | 5.0 | 18.5 | 9.0 | 0.7 | 0.1 |
| Abbreviated Form | Ultimate Tensile Strength (MPa) | Shear Strength (MPa) |
|---|---|---|
| PPS/GF30f | ||
| PPS/CF30f | ||
| PPSPTFE/GF30f | ||
| PPSPTFE/CF30f |
| Abbreviated Form | Vickers Hardness (HV) |
|---|---|
| PPS/GF30f | |
| PPS/CF30f | |
| PPSPTFE/GF30f | |
| PPSPTFE/CF30f |
| Abbreviated Form | CTE |
|---|---|
| PPS/GF30f | |
| PPS/CF30f | |
| PPSPTFE/GF30f | |
| PPSPTFE/CF30f |
| Abbreviated Form | CoF | Specific Wear Rate (mm3/(N m)) |
|---|---|---|
| PPS/GF30f | ||
| PPS/CF30f | ||
| PPSPTFE/GF30f | ||
| PPSPTFE/CF30f |
Disclaimer/Publisher’s Note: The statements, opinions and data contained in all publications are solely those of the individual author(s) and contributor(s) and not of MDPI and/or the editor(s). MDPI and/or the editor(s) disclaim responsibility for any injury to people or property resulting from any ideas, methods, instructions or products referred to in the content. |
© 2024 by the authors. Licensee MDPI, Basel, Switzerland. This article is an open access article distributed under the terms and conditions of the Creative Commons Attribution (CC BY) license (https://creativecommons.org/licenses/by/4.0/).
Share and Cite
Pöllinger, A.; Maurer, J.; Koch, T.; Krenn, S.; Plank, B.; Schwarz, S.; Stöger-Pollach, M.; Siakkou, E.; Smrczkova, K.; Schöbel, M. Characterization of PPS Piston and Packing Ring Materials for High-Pressure Hydrogen Applications. Polymers 2024, 16, 412. https://doi.org/10.3390/polym16030412
Pöllinger A, Maurer J, Koch T, Krenn S, Plank B, Schwarz S, Stöger-Pollach M, Siakkou E, Smrczkova K, Schöbel M. Characterization of PPS Piston and Packing Ring Materials for High-Pressure Hydrogen Applications. Polymers. 2024; 16(3):412. https://doi.org/10.3390/polym16030412
Chicago/Turabian StylePöllinger, Alexander, Julia Maurer, Thomas Koch, Stefan Krenn, Bernhard Plank, Sabine Schwarz, Michael Stöger-Pollach, Eleni Siakkou, Karolina Smrczkova, and Michael Schöbel. 2024. "Characterization of PPS Piston and Packing Ring Materials for High-Pressure Hydrogen Applications" Polymers 16, no. 3: 412. https://doi.org/10.3390/polym16030412
APA StylePöllinger, A., Maurer, J., Koch, T., Krenn, S., Plank, B., Schwarz, S., Stöger-Pollach, M., Siakkou, E., Smrczkova, K., & Schöbel, M. (2024). Characterization of PPS Piston and Packing Ring Materials for High-Pressure Hydrogen Applications. Polymers, 16(3), 412. https://doi.org/10.3390/polym16030412

