Polypropylene Crystallinity Reduction through the Synergistic Effects of Cellulose and Silica Formed via Sol–Gel Synthesis
Abstract
1. Introduction
2. Materials and Methods
2.1. Materials
2.2. Methods
2.2.1. Preparation of Blends
2.2.2. Rheological Analysis
2.2.3. Optical Microscopy
2.2.4. Differential Scanning Calorimetry (DSC)
3. Results and Discussion
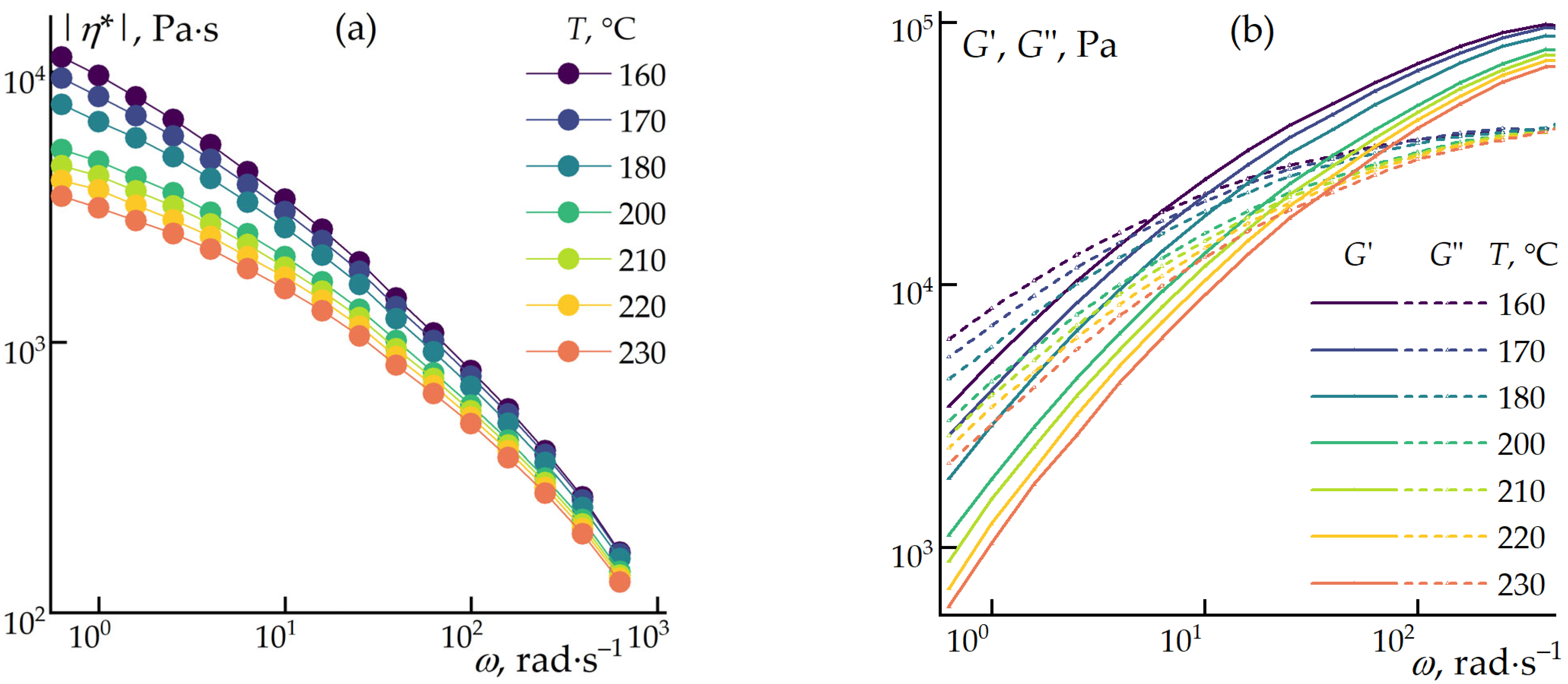
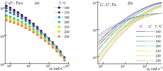
3.1. Rheology
3.2. Morphology
3.3. Differential Scanning Calorimetry (DSC)
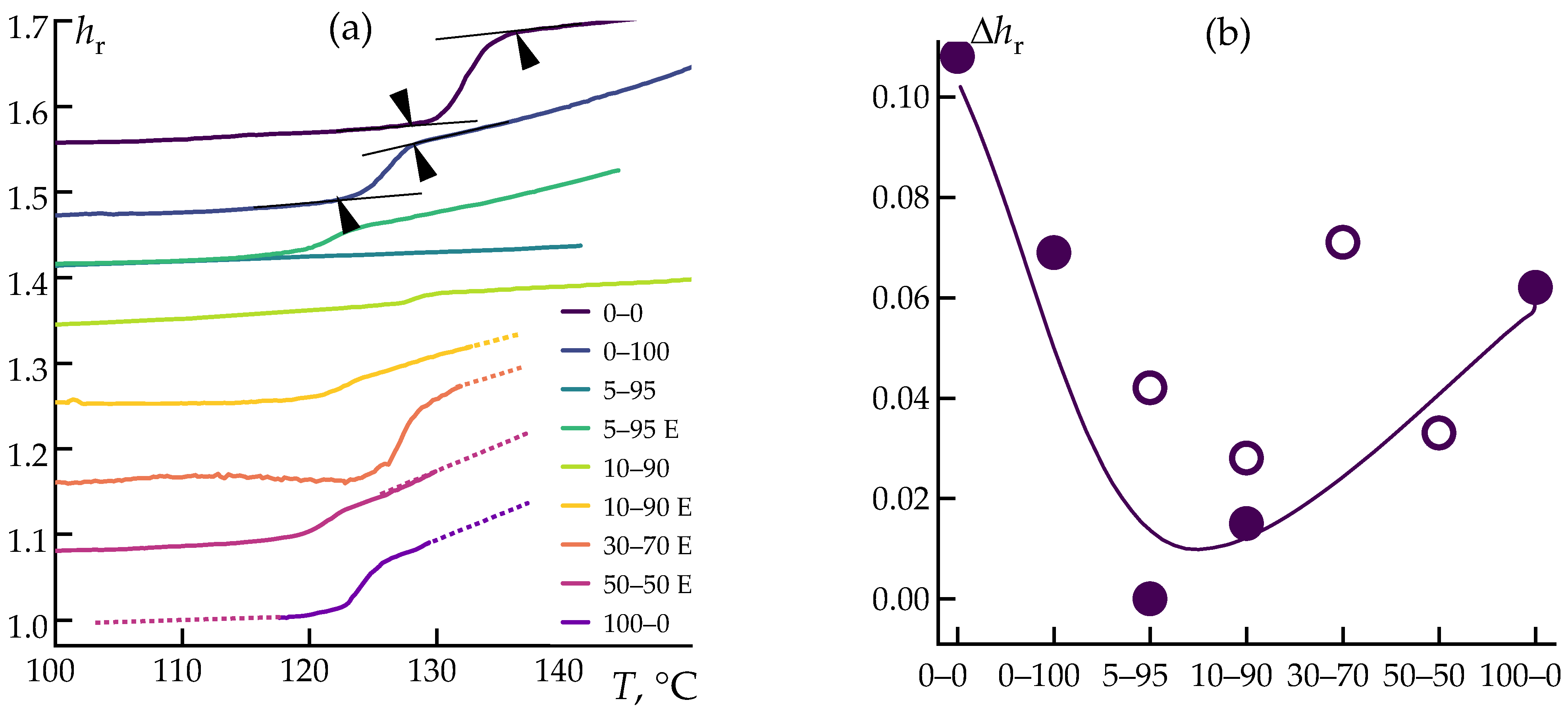
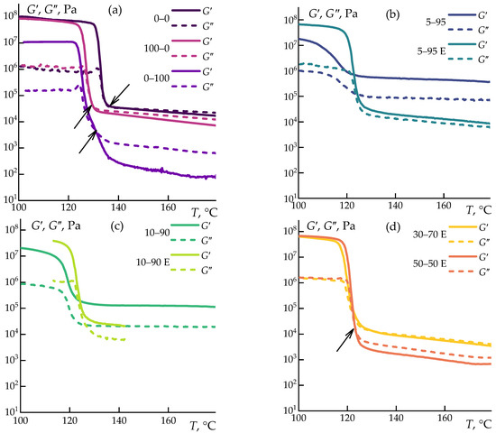
3.4. Dynamic Thermomechanical Analysis (DTMA)
4. Conclusions
Author Contributions
Funding
Data Availability Statement
Acknowledgments
Conflicts of Interest
References
- Mathew, A.P.; Oksman, K.; Sain, M. Mechanical Properties of Biodegradable Composites from Poly Lactic Acid (PLA) and Microcrystalline Cellulose (MCC). J. Appl. Polym. Sci. 2005, 97, 2014–2025. [Google Scholar] [CrossRef]
- Terenzi, A.; Kenny, J.M.; Barbosa, S.E. Natural Fiber Suspensions in Thermoplastic Polymers. I. Analysis of Fiber Damage during Processing. J. Appl. Polym. Sci. 2007, 103, 2501–2506. [Google Scholar] [CrossRef]
- Demjén, Z.; Pukánszky, B.; Nagy, J. Evaluation of Interfacial Interaction in Polypropylene/Surface Treated CaCO3 Composites. Compos.-A Appl. Sci. Manuf. 1998, 29, 323–329. [Google Scholar] [CrossRef]
- Silveira, D.; Varum, H.; Costa, A.; Martins, T.; Pereira, H.; Almeida, J. Mechanical Properties of Adobe Bricks in Ancient Constructions. Constr. Build. Mater. 2012, 28, 36–44. [Google Scholar] [CrossRef]
- Peters, S.T. Handbook of Composites; Springer: New York, NY, USA, 2013; ISBN 1-4615-6389-5. [Google Scholar]
- Maddah, H.A. Polypropylene as a Promising Plastic: A Review. Am. J. Polym. Sci. 2016, 6, 1–11. [Google Scholar]
- Sanadi, A.R.; Calufield, D.; Rowell, R.M. Reinforcing Polypropylene with Natural Fibers. Plast. Eng. 1994, 50, 27–28. [Google Scholar]
- Unterweger, C.; Brüggemann, O.; Fürst, C. Effects of Different Fibers on the Properties of Short-Fiber-Reinforced Polypropylene Composites. Compos. Sci. Technol. 2014, 103, 49–55. [Google Scholar] [CrossRef]
- Shubhra, Q.T.; Alam, A.M.; Quaiyyum, M.A. Mechanical Properties of Polypropylene Composites: A Review. J. Thermoplast. Compos. Mater. 2013, 26, 362–391. [Google Scholar] [CrossRef]
- Bataille, P.; Ricard, L.; Sapieha, S. Effects of Cellulose Fibers in Polypropylene Composites. Polym. Compos. 1989, 10, 103–108. [Google Scholar] [CrossRef]
- Mark, U.C.; Madufor, I.C.; Obasi, H.C.; Mark, U. Influence of Filler Loading on the Mechanical and Morphological Properties of Carbonized Coconut Shell Particles Reinforced Polypropylene Composites. J. Compos. Mater. 2020, 54, 397–407. [Google Scholar] [CrossRef]
- Çelebi, H. Thermal Conductivity and Tensile Properties of Hollow Glass Microsphere/Polypropylene Composites. Anadolu Univ. J. Sci. Technol. A-Appl. Sci. Eng. 2017, 18, 746–753. [Google Scholar] [CrossRef]
- Zolfaghari, S.; Paydayesh, A.; Jafari, M. Mechanical and Thermal Properties of Polypropylene/Silica Aerogel Composites. J. Macromol. Sci. Part B Phys. 2019, 58, 305–316. [Google Scholar] [CrossRef]
- Gao, W.; Zheng, Y.; Shen, J.; Guo, S. Electrical Properties of Polypropylene-Based Composites Controlled by Multilayered Distribution of Conductive Particles. ACS Appl. Mater. Interfaces 2015, 7, 1541–1549. [Google Scholar] [CrossRef] [PubMed]
- Panwar, V.; Park, J.; Park, S.; Kumar, S.; Mehra, R. Electrical, Dielectric, and Electromagnetic Shielding Properties of Polypropylene-graphite Composites. J. Appl. Polym. Sci. 2010, 115, 1306–1314. [Google Scholar] [CrossRef]
- Peng, Y.; Nair, S.S.; Chen, H.; Yan, N.; Cao, J. Effects of Lignin Content on Mechanical and Thermal Properties of Polypropylene Composites Reinforced with Micro Particles of Spray Dried Cellulose Nanofibrils. ACS Sustain.Chem. Eng. 2018, 6, 11078–11086. [Google Scholar] [CrossRef]
- Liang, J.; Li, F. Measurement of Thermal Conductivity of Hollow Glass-Bead-Filled Polypropylene Composites. Polym. Test. 2006, 25, 527–531. [Google Scholar] [CrossRef]
- Liu, W.; Cheng, L.; Li, S. Review of Electrical Properties for Polypropylene Based Nanocomposite. Compos. Commun. 2018, 10, 221–225. [Google Scholar] [CrossRef]
- Chattopadhyay, S.K.; Singh, S.; Pramanik, N.; Niyogi, U.; Khandal, R.; Uppaluri, R.; Ghoshal, A.K. Biodegradability Studies on Natural Fibers Reinforced Polypropylene Composites. J. Appl. Polym. Sci. 2011, 121, 2226–2232. [Google Scholar] [CrossRef]
- Nourbakhsh, A.; Ashori, A.; Tabrizi, A.K. Characterization and Biodegradability of Polypropylene Composites Using Agricultural Residues and Waste Fish. Compos. Part B 2014, 56, 279–283. [Google Scholar] [CrossRef]
- Usman, M.A.; Momohjimoh, I.; Usman, A.O. Mechanical, Physical and Biodegradability Performances of Treated and Untreated Groundnut Shell Powder Recycled Polypropylene Composites. Mater. Res. Express 2020, 7, 035302. [Google Scholar] [CrossRef]
- Díaz-Montes, E. Polysaccharides: Sources, Characteristics, Properties, and Their Application in Biodegradable Films. Polysaccharides 2022, 3, 480–501. [Google Scholar] [CrossRef]
- Kaczmarek, H.; Ołdak, D.; Malanowski, P.; Chaberska, H. Effect of Short Wavelength UV-Irradiation on Ageing of Polypropylene/Cellulose Compositions. Polym. Degrad. Stab. 2005, 88, 189–198. [Google Scholar] [CrossRef]
- Arutchelvi, J.; Sudhakar, M.; Arkatkar, A.; Doble, M.; Bhaduri, S.; Uppara, P.V. Biodegradation of Polyethylene and Polypropylene. Indian J. Biotechnol. 2008, 7, 9–22. [Google Scholar]
- Ramamoorthy, S.K.; Skrifvars, M.; Persson, A. A Review of Natural Fibers Used in Biocomposites: Plant, Animal and Regenerated Cellulose Fibers. Polym. Rev. 2015, 55, 107–162. [Google Scholar] [CrossRef]
- Manian, A.P.; Cordin, M.; Pham, T. Extraction of Cellulose Fibers from Flax and Hemp: A Review. Cellulose 2021, 28, 8275–8294. [Google Scholar] [CrossRef]
- Chopra, L. Extraction of Cellulosic Fibers from the Natural Resources: A Short Review. Mater. Today 2022, 48, 1265–1270. [Google Scholar] [CrossRef]
- Belgacem, M.N.; Gandini, A. The Surface Modification of Cellulose Fibres for Use as Reinforcing Elements in Composite Materials. Compos. Interfaces. 2005, 12, 41–75. [Google Scholar] [CrossRef]
- Cordin, M.; Bechtold, T.; Pham, T. Effect of Fibre Orientation on the Mechanical Properties of Polypropylene–Lyocell Composites. Cellulose 2018, 25, 7197–7210. [Google Scholar] [CrossRef]
- Makarov, I.S.; Golova, L.K.; Vinogradov, M.I.; Levin, I.S.; Shandryuk, G.A.; Arkharova, N.A.; Golubev, Y.V.; Berkovich, A.K.; Eremin, T.V.; Obraztsova, E.D. The Effect of Alcohol Precipitants on Structural and Morphological Features and Thermal Properties of Lyocell Fibers. Fibers 2020, 8, 43. [Google Scholar] [CrossRef]
- Zhang, S.; Chen, C.; Duan, C.; Hu, H.; Li, H.; Li, J.; Liu, Y.; Ma, X.; Stavik, J.; Ni, Y. Regenerated Cellulose by the Lyocell Process, a Brief Review of the Process and Properties. BioResource 2018, 13, 4577–4592. [Google Scholar] [CrossRef]
- Rosenau, T.; Potthast, A.; Sixta, H.; Kosma, P. The Chemistry of Side Reactions and Byproduct Formation in the System NMMO/Cellulose (Lyocell Process). Prog. Polym. Sci. 2001, 26, 1763–1837. [Google Scholar] [CrossRef]
- Smith, D.; Bampton, R.; Alexander, W. Use of New Solvents for Evaluating Chemical Cellulose for the Viscose Process. Ind. Eng. Chem. Process Des. Dev. 1963, 2, 57–62. [Google Scholar] [CrossRef]
- Wilkes, A.G. The Viscose Process. In Regenerated Cellulose Fibres; Woodhead Publishing: Sawston, UK, 2001; pp. 37–61. [Google Scholar] [CrossRef]
- Mitchell, R. Viscose Processing of Cellulose. Ind. Eng. Chem. 1949, 41, 2197–2201. [Google Scholar] [CrossRef]
- Karsli, N.G.; Aytac, A. Effects of Maleated Polypropylene on the Morphology, Thermal and Mechanical Properties of Short Carbon Fiber Reinforced Polypropylene Composites. Mater. Des. 2011, 32, 4069–4073. [Google Scholar] [CrossRef]
- Lee, E.S.; Kim, J.S.; Kim, K.Y.; Lim, D.Y.; Kim, D.H. Preparation of Polypropylene Composites Reinforced with Long Carbon Fibers and Their Properties. Fibers Polym. 2014, 15, 2613–2617. [Google Scholar] [CrossRef]
- Park, S.-J. Carbon Fibers, 2nd ed.; Springer Nature: Singapore, 2015; p. 210. [Google Scholar]
- Newcomb, B.A. Processing, Structure, and Properties of Carbon Fibers. Compos. Part A 2016, 91, 262–282. [Google Scholar] [CrossRef]
- Donnet, J.-B.; Bansal, R.C. Carbon Fibers, 3rd ed.; CRC Press: Boca Raton, FL, USA, 1998; ISBN 0-429-07781-5. [Google Scholar]
- Ito, H.; Hattori, H.; Hirai, S.; Okamoto, T.; Takatani, M. Effect of Spherical Silica on the Molding and Properties of Cellulose/Plastic Composite with High Cellulose Content. J. Wood Chem. Technol. 2010, 30, 175–185. [Google Scholar] [CrossRef]
- Li, Y.; He, H.; Huang, B.; Zhou, L.; Yu, P.; Lv, Z. In Situ Fabrication of Cellulose Nanocrystal-silica Hybrids and Its Application in UHMWPE: Rheological, Thermal, and Wear Resistance Properties. Polym. Compos. 2018, 39, 1701–1713. [Google Scholar] [CrossRef]
- Varfolomeeva, L.A.; Skvortsov, I.Y.; Kuzin, M.S.; Kulichikhin, V.G. Silica-Filled Polyacrylonitrile Solutions: Rheology, Morphology, Coagulation, and Fiber Spinning. Polymers 2022, 14, 4548. [Google Scholar] [CrossRef]
- Makarov, I.S.; Golova, L.K.; Kuznetsova, L.K.; Bondarenko, G.N.; Skvortsov, I.Y.; Mironova, M.V.; Bermeshev, M.V. Composite Fibers Based on Cellulose and Tetraetoxysilane: Preparation, Structure and Properties. Fibre Chem. 2017, 49, 101–107. [Google Scholar] [CrossRef]
- Wang, X.-D.; Shen, Z.-X.; Sang, T.; Cheng, X.-B.; Li, M.-F.; Chen, L.-Y.; Wang, Z.-S. Preparation of Spherical Silica Particles by Stöber Process with High Concentration of Tetra-Ethyl-Orthosilicate. J. Colloid Interface Sci. 2010, 341, 23–29. [Google Scholar] [CrossRef] [PubMed]
- Wang, W.; Gu, B.; Liang, L.; Hamilton, W. Fabrication of Two-and Three-Dimensional Silica Nanocolloidal Particle Arrays. J. Phys. Chem. B 2003, 107, 3400–3404. [Google Scholar] [CrossRef]
- Zhang, T.; Zhang, Q.; Ge, J.; Goebl, J.; Sun, M.; Yan, Y.; Liu, Y.; Chang, C.; Guo, J.; Yin, Y. A Self-Templated Route to Hollow Silica Microspheres. J. Phys. Chem. C 2009, 113, 3168–3175. [Google Scholar] [CrossRef]
- Varfolomeeva, L.A.; Skvortsov, I.Y.; Levin, I.S.; Shandryuk, G.A.; Patsaev, T.D.; Kulichikhin, V.G. Polyacrylonitrile Fibers with a Gradient Silica Distribution as Precursors of Carbon-Silicon-Carbide Fibers. Polymers 2023, 15, 2579. [Google Scholar] [CrossRef] [PubMed]
- Malkin, A.Y.; Isayev, A.I. Rheology: Concepts, Methods, and Applications, 3rd ed.; ChemTec Publishing: Toronto, ON, Canada, 2017; ISBN 1-927885-94-9. [Google Scholar]
- Vinogradov, G.V.; Malkin, A.Y. Rheology of Polymers: Viscoelasticity and Flow of Polymers; Springer: Berlin/Heidelberg, Germany, 1980; pp. 105–121. [Google Scholar]
- Azlina, H.; Hasnidawani, J.; Norita, H.; Surip, S. Synthesis of SiO2 Nanostructures Using Sol-Gel Method. Acta Phys. Pol. A 2016, 129, 842–844. [Google Scholar] [CrossRef]
- Rahman, I.A.; Padavettan, V. Synthesis of Silica Nanoparticles by Sol-gel: Size-dependent Properties, Surface Modification, and Applications in Silica-polymer Nanocomposites—A Review. J. Nanomater. 2012, 2012, 132424. [Google Scholar] [CrossRef]
- Chen, T.; Dvorak, G.J.; Yu, C. Size-Dependent Elastic Properties of Unidirectional Nano-Composites with Interface Stresses. Acta Mech. 2007, 188, 39–54. [Google Scholar] [CrossRef]
- Ehrburger, P. Interface in Composite Materials. Philos. Trans. R. Soc. Lond. Ser. A Math. Phys. Sci. 1980, 294, 495–505. [Google Scholar] [CrossRef]
- Subramaniam, A.B.; Abkarian, M.; Mahadevan, L.; Stone, H.A. Mechanics of Interfacial Composite Materials. Langmuir 2006, 22, 10204–10208. [Google Scholar] [CrossRef]
- Vaes, D.; Van Puyvelde, P. Semi-Crystalline Feedstock for Filament-Based 3D Printing of Polymers. Prog. Polym. Sci. 2021, 118, 101411. [Google Scholar] [CrossRef]
- Liao, Y.; Liu, C.; Coppola, B.; Barra, G.; Di Maio, L.; Incarnato, L.; Lafdi, K. Effect of Porosity and Crystallinity on 3D Printed PLA Properties. Polymers 2019, 11, 1487. [Google Scholar] [CrossRef] [PubMed]
- Rodzeń, K.; McIlhagger, A.; Strachota, B.; Strachota, A.; Meenan, B.J.; Boyd, A. Controlling Crystallization: A Key Factor during 3D Printing with the Advanced Semicrystalline Polymeric Materials PEEK, PEKK 6002, and PEKK 7002. Macromol. Mater. Eng. 2023, 308, 2200668. [Google Scholar] [CrossRef]
- Skvortsov, I.; Kandyrin, L.; Surikov, P.; Kuleznev, V. The Composites Based on Liquid Thermosetting Binder Modified Low Concentrations Silicic Acid Esters and Study of Their Physical and Mechanical Properties. Fine Chem. Technol. 2010, 5, 98–100. [Google Scholar]









| Sample | Component Concentration, wt.% | Cellulose-ES-40 Ratio | ||
|---|---|---|---|---|
| Polypropylene | Cellulose | ES-40 | ||
| 0–0 | 100 | 0 | 0 | |
| 100–0 | 85 | 15 | 0 | 100–0 |
| 0–100 | 85 | 0 | 15 | 0–100 |
| 5–95 | 85 | 0.8 | 14.2 | 5–95 |
| 5–95 E | 85 | 0.8 | 14.2 | 5–95 |
| 10–90 | 85 | 1.5 | 13.5 | 10–90 |
| 10–90 E | 85 | 1.5 | 13.5 | 10–90 |
| 30–70 E | 85 | 4.5 | 10.5 | 30–70 |
| 50–50 E | 85 | 7.5 | 7.5 | 50–50 |
Disclaimer/Publisher’s Note: The statements, opinions and data contained in all publications are solely those of the individual author(s) and contributor(s) and not of MDPI and/or the editor(s). MDPI and/or the editor(s) disclaim responsibility for any injury to people or property resulting from any ideas, methods, instructions or products referred to in the content. |
© 2024 by the authors. Licensee MDPI, Basel, Switzerland. This article is an open access article distributed under the terms and conditions of the Creative Commons Attribution (CC BY) license (https://creativecommons.org/licenses/by/4.0/).
Share and Cite
Shambilova, G.K.; Iskakov, R.M.; Bukanova, A.S.; Kairliyeva, F.B.; Kalauova, A.S.; Kuzin, M.S.; Novikov, E.M.; Gerasimenko, P.S.; Makarov, I.S.; Skvortsov, I.Y. Polypropylene Crystallinity Reduction through the Synergistic Effects of Cellulose and Silica Formed via Sol–Gel Synthesis. Polymers 2024, 16, 2855. https://doi.org/10.3390/polym16202855
Shambilova GK, Iskakov RM, Bukanova AS, Kairliyeva FB, Kalauova AS, Kuzin MS, Novikov EM, Gerasimenko PS, Makarov IS, Skvortsov IY. Polypropylene Crystallinity Reduction through the Synergistic Effects of Cellulose and Silica Formed via Sol–Gel Synthesis. Polymers. 2024; 16(20):2855. https://doi.org/10.3390/polym16202855
Chicago/Turabian StyleShambilova, Gulbarshin K., Rinat M. Iskakov, Aigul S. Bukanova, Fazilat B. Kairliyeva, Altynay S. Kalauova, Mikhail S. Kuzin, Egor M. Novikov, Pavel S. Gerasimenko, Igor S. Makarov, and Ivan Yu. Skvortsov. 2024. "Polypropylene Crystallinity Reduction through the Synergistic Effects of Cellulose and Silica Formed via Sol–Gel Synthesis" Polymers 16, no. 20: 2855. https://doi.org/10.3390/polym16202855
APA StyleShambilova, G. K., Iskakov, R. M., Bukanova, A. S., Kairliyeva, F. B., Kalauova, A. S., Kuzin, M. S., Novikov, E. M., Gerasimenko, P. S., Makarov, I. S., & Skvortsov, I. Y. (2024). Polypropylene Crystallinity Reduction through the Synergistic Effects of Cellulose and Silica Formed via Sol–Gel Synthesis. Polymers, 16(20), 2855. https://doi.org/10.3390/polym16202855

