Applicability of Electron-Beam and Hybrid Plasmas for Polyethylene Terephthalate Processing to Obtain Hydrophilic and Biocompatible Surfaces
Abstract
1. Introduction
- The reaction volume is uniform and doesn’t contract with an increase of the plasma generating gas pressure to values at which the RF discharge is filamentary or does not glow at all;
- The EB attracts RF discharge and controls its location at the surface of the polymeric substrate as well as fluxes of neutral active particles that are produced by RF discharge and are mainly responsible for the wettability increase and the improvement of bioactivity of polymers.
2. Materials and Methods
2.1. Materials
2.1.1. Polymeric Materials
2.1.2. Cell Culture Materials
2.2. Characterization of Plasma-Modified PET Surface
2.2.1. Atomic Force Microscopy
2.2.2. Fourier Transform Infrared (FTIR) Spectroscopy
2.2.3. X-ray Photoelectron Spectroscopy
2.2.4. Contact Angle and Surface Free Energy (SFE) Measurements
2.3. Cell Culture and Cytotoxic Activity Analysis
2.3.1. Cell Adhesion Assay
2.3.2. Protein Adsorption
2.3.3. Hemolysis Assay
2.4. Plasma Chemical Treatment of PET
2.5. Physical Aspects of PET Modification in Beam-Plasma Chemical Reactor
3. Results
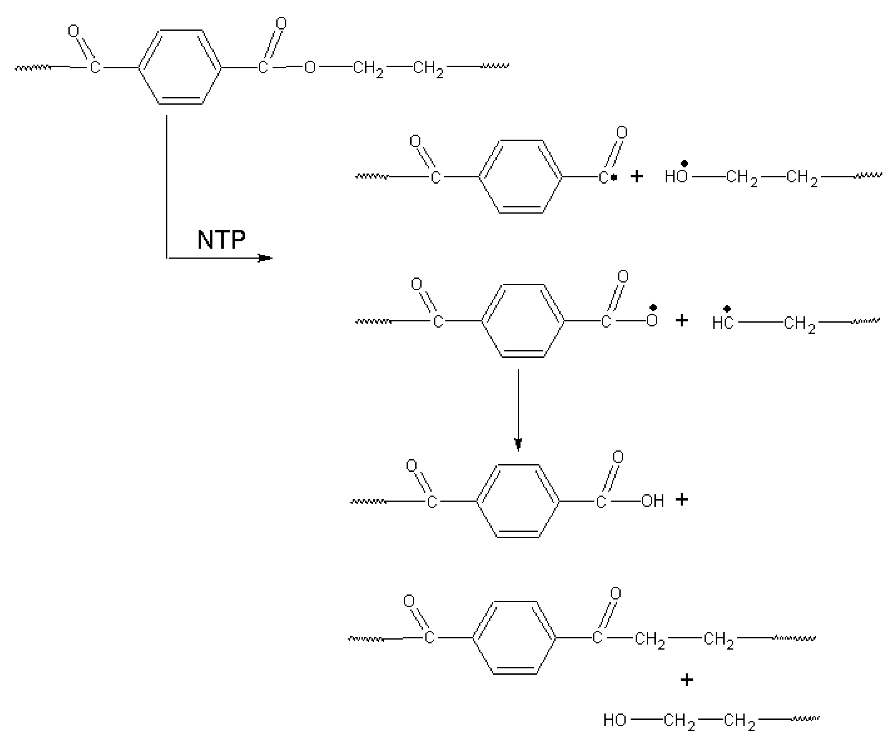
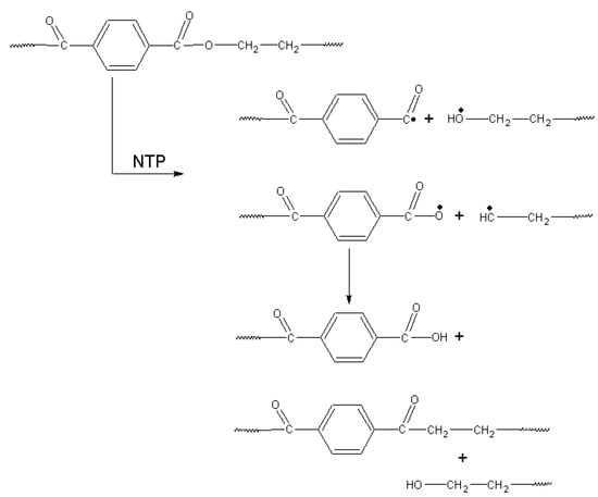
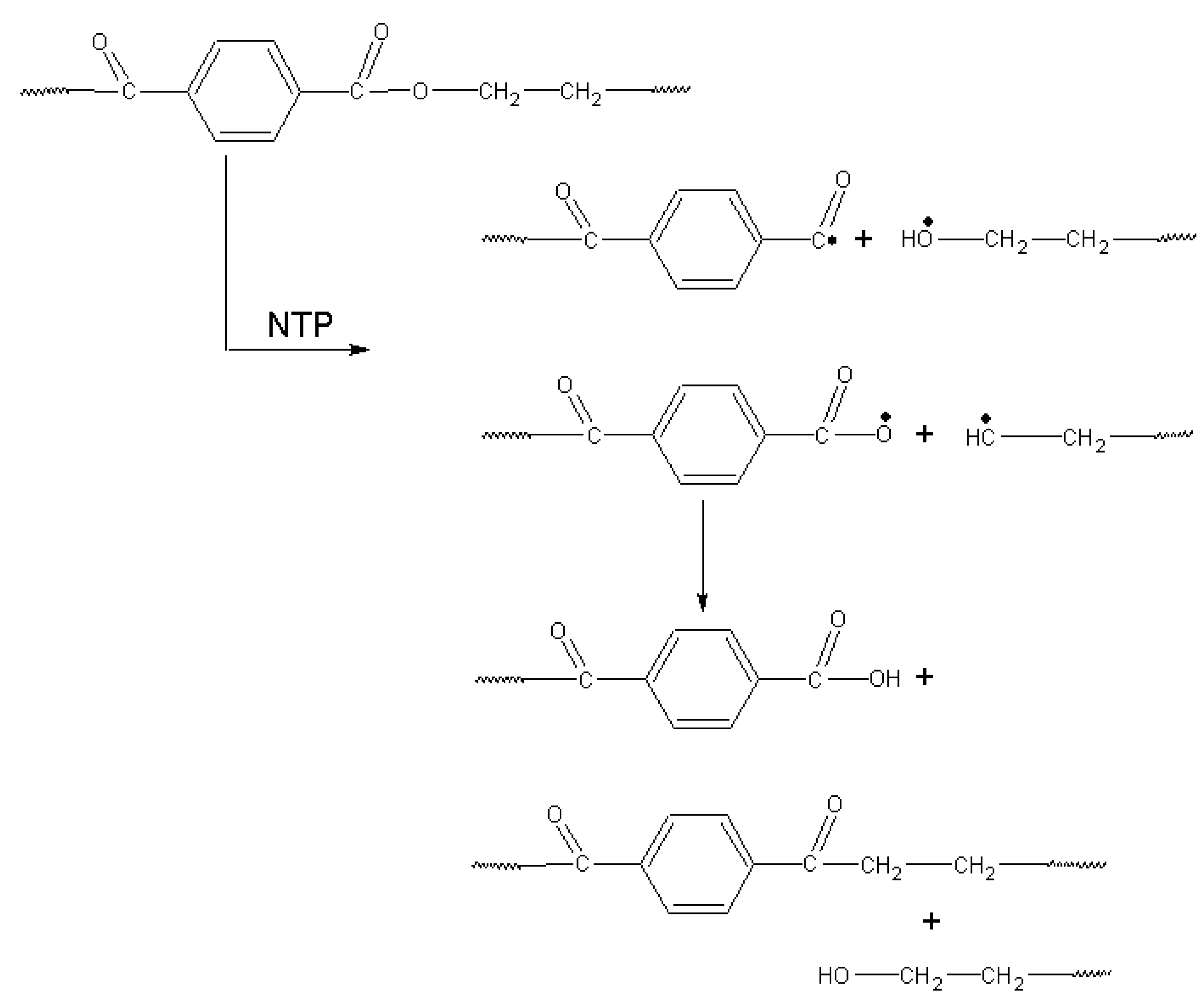
3.1. Morphology and Chemical Composition of the NTPs-Modified Polymers
3.2. Hydrophilic Properties of NTPs-Modified PET Films
3.3. The Effects of NTPs-Modified PET Films on Cell Attachment and Growth
3.3.1. Cell Adhesion Assay
3.3.2. Protein Adsorption
3.3.3. Hemolytic Activity
4. Discussion
5. Conclusions
Author Contributions
Funding
Institutional Review Board Statement
Data Availability Statement
Conflicts of Interest
Appendix A
| Beam-Plasma Generator Part | Equipment Purpose and Unit Version | Weight, kg | Product Manufacturer | Maintenance |
|---|---|---|---|---|
| Electron gun | Thermionic cathode LaB6 | ≈10 | Numerous manufacturers of welding electron guns, e.g., PROGRESS Company, Izhevsk, Russia | A lifetime of more than 100 h under normal conditions |
| High voltage power source | High voltage generators of positive or negative polarity | ≈15 | Spellman High Voltage Electronics Corporation, Hauppauge, NY, USA | No maintenance |
| Beam control units | Version 1. Controller of the beam power (semi-automatic) | ≈20 | TUSUR University, Tomsk, Russia | No maintenance |
| Version 2 Controllers of the beam power and beam scanning (automatic) | ≈25 | TUSUR University, Tomsk, Russia | No maintenance | |
| Injection window | Version 1. Gas-dynamic window | ≈2 | Moscow Institute of Physics and Technology, Moscow, Russia | Lifetime of about 100 h |
| Version 2. Gas-dynamic window with a differential pumping stage | ≈5 | Moscow Institute of Physics and Technology, Moscow, Russia | Lifetime of about 200 h | |
| High vacuum system | Version 1. Diffusion pump in combination with oil-sealed pump | ≈35 | Numerous producers, e.g., Agilent Technologies, Inc., Santa Clara, CA, USA | Minimal maintenance |
| Version 2. Turbo molecular pump with dry scroll pump | ≈35 | Numerous manufacturers, e.g., STP Maglev with XDS, Edwards Vacuum, Burgess Hill, UK | Minimal maintenance | |
| The reaction chamber and its inner equipment | Low vacuum chamber and sample holders | ≈30 | Moscow Institute of Physics and Technology, Moscow, Russia | Periodic cleaning by conventional means |
| Low vacuum system | Support of pressure in the reaction chamber | ≈20 | Numerous producers, e.g., Edwards Vacuum, Burgess Hill, UK | Minimal maintenance |
| Gas feeding system | Plasma generation gas supply | ≈5 | Numerous producers, e.g., MKS Instruments, Milpitas, CA, USA | No maintenance |
| RF-generator and electrode system | Gas discharge generation | ≈10 | Numerous producers, e.g., MKS Instruments, Milpitas, CA, USA | Periodic electrode system cleaning by conventional means |
| Total weight | ≈150 |
References
- Nazeer, N.; Ahmed, M. Polymers in medicine. In Polymer Science and Nanotechnology: Fundamentals and Applications; Ravin, N., Ed.; Elsevier: Amsterdam, The Netherlands, 2020; pp. 281–323. [Google Scholar]
- Braybrook, J.H.; Hall, L.D. Organic polymer surfaces for use in medicine: Their formation, modification, characterisation and application. Prog. Polym. Sci. 1990, 15, 715–734. [Google Scholar] [CrossRef]
- Jaberi, J.; Gambrell, K.; Tiwana, P.; Madden, C.; Finn, R. Longterm clinical outcome analysis of poly-methyl-methacrylate cranioplasty for large skull defects. J. Oral Maxillofac. Surg. 2013, 71, e81–e88. [Google Scholar] [CrossRef] [PubMed]
- Xu, X.; He, L.; Zhu, B.; Li, J.; Li, J. Advances in polymeric materials for dental applications. Polym. Chem. 2017, 8, 807–823. [Google Scholar] [CrossRef]
- Rajendran, S.; Anand, S.C. Woven textiles for medical applications. In Woven Textiles: Principles, Technologies and Applications (The Textile Institute Book Series), 2nd ed.; Gandhi, K., Ed.; Woodhead Publishing: Sawston, UK, 2019; pp. 441–470. [Google Scholar]
- Çaykara, T.; Sande, M.G.; Azoia, N.; Rodrigues, L.R.; Silva, C.J. Exploring the potential of polyethylene terephthalate in the design of antibacterial surfaces. Med. Microbiol. Immunol. 2020, 209, 363–372. [Google Scholar] [CrossRef] [PubMed]
- Mumtaz, S.; Khan, R.; Rana, J.N.; Javed, R.; Iqbal, M.; Choi, E.H.; Han, I. Review on the biomedical and environmental applications of nonthermal plasma. Catalysts 2023, 13, 685. [Google Scholar] [CrossRef]
- Braný, D.; Dvorská, D.; Halašová, E.; Škovierová, H. Cold atmospheric plasma: A powerful tool for modern medicine. Int. J. Mol. Sci. 2020, 21, 2932. [Google Scholar] [CrossRef]
- Laroussi, M. Plasma medicine: A brief introduction. Plasma 2018, 1, 47–60. [Google Scholar] [CrossRef]
- van Deynse, A.; Morent, R.; de Geyter, N. Surface modification of polymers using atmospheric pressure cold plasma technology. In Polymer Science: Research Advances, Practical Applications and Educational Aspects; Méndez-Vilas, A., Solano, A., Eds.; Formatex Research Center: Badajoz, Spain, 2016; pp. 506–516. [Google Scholar]
- Sui, S.; Li, L.; Shen, J.; Ni, G.; Xie, H.; Lin, Q.; Zhao, Y.; Guo, J.; Duan, W. Plasma treatment of polymethyl methacrylate to improve surface hydrophilicity and antifouling performance. Polym. Eng. Sci. 2021, 61, 506–513. [Google Scholar] [CrossRef]
- Koodaryan, R.; Hafezeqoran, A. Surface modification of dental polymers by plasma treatment: A review. Biomed. Pharmacol. J. 2016, 9, 317–321. [Google Scholar] [CrossRef]
- Taraballi, F.; Zanini, S.; Lupo, C.; Panseri, S.; Cunha, C.; Riccardi, C.; Marcacci, M.; Campione, M.; Cipolla, L. Amino and carboxyl plasma functionalization of collagen films for tissue engineering applications. J. Colloid Interface Sci. 2013, 394, 590–597. [Google Scholar] [CrossRef]
- Soygun, K.; Tamam, E.; Dogan, A.; Keskin, S. Does the plasma application time affect the tensile bond strength between PMMA and a silicone-based denture liner? Niger J. Clin. Pract. 2020, 23, 1266–1273. [Google Scholar] [PubMed]
- Rezaei, F.; Shokri, B.; Sharifian, M. Atmospheric-pressure DBD plasma-assisted surface modification of polymethyl methacrylate: A study on cell growth/proliferation and antibacterial properties. Appl. Surf. Sci. 2016, 360 Pt B, 641–651. [Google Scholar] [CrossRef]
- Ozge, O.; Nesrin, H. Modification of poly(methyl methacrylate) surfaces with oxygen, nitrogen and argon plasma. J. Biomater. Tissue Eng. 2014, 4, 479–487. [Google Scholar] [CrossRef]
- Jacobs, T.; Morent, R.; De Geyter, N.; Dubruel, P.; Leys, C. Plasma surface modification of biomedical polymers: Influence on cell-material interaction. Plasma Chem. Plasma Proc. 2012, 32, 1039–1073. [Google Scholar] [CrossRef]
- Yang, H.; Sun, M.; Zhou, P.; Pan, L.; Wu, C. Silk fibroins modify the atmospheric low temperature plasma-treated poly (3-hydroxybutyrate-co-3-hydroxyhexanoate) film for the application of cardiovascular tissue engineering. J. Biomed. Sci. Eng. 2010, 3, 1146–1155. [Google Scholar] [CrossRef]
- Duarte, B.S.; Panariello, H.D. Comprehensive biomedical applications of low temperature plasmas. Arch. Biochem. Biophys. 2020, 693, 108560. [Google Scholar] [CrossRef] [PubMed]
- Mangindaan, D.; Kuo, W.H.; Kurniawan, H.; Wang, M.J. Creation of biofunctionalized plasma polymerized allylamine gradients. J. Polym. Sci. B Polym. Phys. 2013, 51, 1361–1367. [Google Scholar] [CrossRef]
- Nageswaran, G.; Sureshkumar, A.; Neogi, S. RF plasma-treated polymers for biomedical applications. Curr. Sci. 2008, 94, 1478–1486. [Google Scholar]
- Michelmore, A.; Whittle, J.D.; Bradley, J.W.; Short, R.D. Where physics meets chemistry: Thin film deposition from reactive plasmas. Front. Chem. Sci. Eng. 2016, 10, 441–458. [Google Scholar] [CrossRef]
- Vasiliev, M.; Vasilieva, T. Beam plasmas: Materials production. In Encyclopedia of Plasma Technology; Shohet, J.L., Ed.; CRC Press, Taylor and Francis Inc.: Boka Ralton, FL, USA, 2016; pp. 152–166. [Google Scholar]
- Vasiliev, M.; Vasilieva, T.; Hein, A.M. Hybrid plasma chemical reactors for bio-polymers processing. J. Phys. D Appl. Phys. 2019, 52, 335202. [Google Scholar] [CrossRef]
- Koch, M. Design, construction and testing of hybrid plasma reactor for gas processing. Ph.D. Thesis, Massachusetts Institute of Technology, Cambridge, MA, USA, 1991. [Google Scholar]
- Hadidi, K.; Cohn, D.R.; Vitale, S.; Bromberg, L. Economic study of the tunable electron beam plasma reactor for volatile organic compound treatment. J. Air Waste Manag. Assoc. 1999, 49, 225–228. [Google Scholar] [CrossRef] [PubMed][Green Version]
- Yang, R. Analytical Methods for Polymer Characterization, 2nd ed.; CRC Press, Taylor and Francis Inc.: Boka Ralton, FL, USA, 2018; 318p. [Google Scholar]
- Maliszewska, I.; Gazińska, M.; Łojkowski, M.; Choińska, E.; Nowinski, D.; Czapka, T.; Święszkowski, W. On the effect of non-thermal atmospheric pressure plasma treatment on the properties of PET film. Polymers 2023, 15, 4289. [Google Scholar] [CrossRef] [PubMed]
- El-Saftawy, A.A.; Elfalaky, A.; Ragheb, M.S.; Zakhary, S.G. Electron beam induced surface modifications of PET film. Rad. Phys. Chem. 2014, 102, 96–102. [Google Scholar] [CrossRef]
- Singh, N.L.; Qureshi, A.; Shah, N.; Rakshit, A.K.; Mukherjee, S.; Tripathi, A.; Avasthi, D.K. Surface modification of polyethylene terephthalate by plasma treatment. Rad. Meas. 2005, 40, 746–749. [Google Scholar] [CrossRef]
- Nakanishi, K. Infrared Absorption Spectroscopy; Nankodo: Tokyo, Japan, 1962; 233p. [Google Scholar]
- Vandencasteele, N.; Reniers, F. Plasma-modified polymer surfaces: Characterization using XPS. J. Electron. Spectrosc. Relat. Phenom. 2010, 178–179, 394–408. [Google Scholar] [CrossRef]
- Gonzalez, E., II; Barankin, M.D.; Guschl, P.C.; Hicks, R.F. Surface activation of poly(methyl methacrylate) via remote atmospheric pressure plasma. Plasma Process. Polym. 2010, 7, 482–493. [Google Scholar]
- Nisol, B.; Reniers, F.J. Challenges in the characterization of plasma polymers using XPS. J. Electron. Spectrosc. Relat. Phenom. 2015, 200, 311–331. [Google Scholar] [CrossRef]
- Owens, D.K.; Wendt, R.C. Estimation of the surface free energy of polymers. J. Appl. Polym. Sci. 1969, 13, 1741–1747. [Google Scholar] [CrossRef]
- Mossman, T. Rapid colorimetric assay for cellular growth and survival: Application to proliferation and cytotoxicity assays. J. Immunol. Meth. 1983, 65, 55–63. [Google Scholar] [CrossRef]
- Sun, X.; Bao, J.; Li, K.; Argyle, M.D.; Gang Tan, G.; Adidharma, H.; Zhang, K.; Fan, M.; Ning, P. Advance in using plasma technology for modification or fabrication of carbon-based materials and their applications in environmental, material, and energy fields. Adv. Funct. Mat. 2021, 31, 2006287. [Google Scholar] [CrossRef]
- Mrsic, I.; Bäuerle, T.; Ulitzsch, S.; Lorenz, G.; Rebner, K.; Kandelbauer, A.; Chassé, T. Oxygen plasma surface treatment of polymer films—Pellethane 55DE and EPR-g-VTMS. Appl. Surf. Sci. 2021, 536, 147782. [Google Scholar] [CrossRef]
- Esmail, A.; Pereira, J.R.; Zoio, P.; Silvestre, S.; Menda, U.D.; Sevrin, C.; Grandfils, C.; Fortunato, E.; Reis, M.A.M.; Henriques, C.; et al. Oxygen plasma treated-electrospun polyhydroxyalkanoate scaffolds for hydrophilicity improvement and cell adhesion. Polymers 2021, 13, 1056. [Google Scholar] [CrossRef] [PubMed]
- Bronold, F.X.; Matyash, K.; Tskhakaya, D.; Schneider, R.; Fehske, H. Radio-frequency discharges in oxygen: I. Particle-based modeling. J. Phys. D Appl. Phys. 2007, 40, 6583–6592. [Google Scholar] [CrossRef]
- Derzsi, A.; Laeur, T.; Booth, J.-P.; Korolov, I.; Donkó, Z. Experimental and simulation study of a capacitively coupled oxygen discharge driven by tailored voltage waveforms. Plasma Sources Sci. Technol. 2016, 25, 015004. [Google Scholar] [CrossRef]
- Bellamy, L.J. The Infra-Red Spectra of Complex Molecules; Methuen & Co.: London, UK, 1954; 323p. [Google Scholar]
- Morokov, E.; Yabbarov, N.; Sedush, N.; Bogachenkov, A.; Malykhin, A.; Demina, V.; Azarkevich, P.; Nikolskay, E.; Chirkina, M.; Sokol, M. Observation of discrepancy between the degradation of polymer scaffolds in vitro and in vivo according to high-resolution ultrasound technique. Eur. Polym. J. 2023, 195, 112248. [Google Scholar] [CrossRef]
- Sokol, M.; Yabbarov, N.; Mollaeva, M.; Chirkina, M.; Mollaev, M.; Zabolotsky, A.; Kuznetsov, S.; Nikolskaya, E. Alpha-fetoprotein mediated targeting of polymeric nanoparticles to treat solid tumors. Nanomedicine 2022, 17, 1217–1235. [Google Scholar] [CrossRef]
- Pranantyo, D.; Xu, L.Q.; Hou, Z.; Kang, E.-T.; Chan-Park, M.B. Increasing bacterial affinity and cytocompatibility with four-arm star glycopolymers and antimicrobial α-polylysine. Polym. Chem. 2017, 8, 3364–3373. [Google Scholar] [CrossRef]
- Takahashi, H.; Caputo, G.A.; Vemparala, S.; Kuroda, K. Synthetic random copolymers as a molecular platform to mimic host-defense antimicrobial peptides. Bioconjug. Chem. 2017, 28, 1340–1350. [Google Scholar] [CrossRef]
- Azeem, M.; Javed, A.; Morikawa, H.; Noman, M.T.; Khan, M.Q.; Shahid, M.; Wiener, J. Hydrophilization of polyester textiles by nonthermal plasma. Autex Res. J. 2019, 21, 142–149. [Google Scholar] [CrossRef]
- Zhang, Y.; Ishikawa, K.; Mozetič, M.; Tsutsumi, T.; Kondo, H.; Sekine, M.; Hori, M. Polyethylene terephthalate (PET) surface modification by VUV and neutral active species in remote oxygen or hydrogen plasmas. Plasma Process. Polym. 2019, 16, 1800175. [Google Scholar] [CrossRef]
- Klebert, S.; Tilajka, S.; Romanszki, L.; Mohai, M.; Csiszar, E.; Karoly, Z. Degradation phenomena on atmospheric air plasma treatment of polyester fabrics. Surf. Interfaces 2021, 22, 100826. [Google Scholar] [CrossRef]
- Majhy, B.; Priyadarshini, P.; Sen, A.K. Effect of surface energy and roughness on cell adhesion and growth—facile surface modification for enhanced cell culture. RSC Adv. 2021, 11, 15467–15476. [Google Scholar] [CrossRef] [PubMed]
- Gentili, P.L.; Perez-Mercader, J. Quantitative estimation of chemical microheterogeneity through the determination of fuzzy entropy. Front. Chem. 2022, 10, 950769. [Google Scholar] [CrossRef] [PubMed]
- Giuliani, G.; Vumbaca, S.; Fuoco, C.; Gargioli, C.; Giorda, E.; Massacci, G.; Palma, A.; Reggio, A.; Riccio, F.; Rosina, M.; et al. SCA-1 micro-heterogeneity in the fate decision of dystrophic fibro/adipogenic progenitors. Cell Death Dis. 2021, 12, 122. [Google Scholar] [CrossRef]











| Parameter | Value |
|---|---|
| Accelerating voltage (U) | 30 kV |
| EB current (Ib) | 1–5 mA |
| Electron beam scanning mode | Concentric circles with a diameter of 10 cm |
| Electron beam scanning speed | 140–150 ms |
| Spin speed of electron beam shape rotation | 20–25 rpm |
| Plasma-generating gas pressure (Pm) | 200–650 Pa |
| Oxygen flow rate (G) | 200–1000 sccm |
| RF discharge power (NRF) | 25–35 W |
| Treatment time (τ) | 5 min |
| Material temperature (Ts) | 40 °C |
| Reaction | The Energy (eV (*)) or the Rate Constant (cm3 × s−1 or cm6 × s−1 (**)) |
|---|---|
| eb + O2 → eb + O + O | 20.2 (*) |
| eb + O2 → eb + O2(a) | 23.1 (*) |
| O + 2O2 → O3 + O2 | 6.9 × 10−34 (300/Tg)1.25 (**) |
| O + O3 → O2 + O2 | 2 × 10−11 exp (−2300/Tg) |
| O + O + O2 → 2O2 | 6.7 × 10−33 (300/Tg)0.63 (**) |
| O3 + O2 → O + 2O2 | 1.65 × 10−9 exp (−11,400/Tg) |
| Peak | Original PET | PET Treated in RF Discharge | PET Treated in EBP | PET Treated in Hybrid Plasma | |||||
|---|---|---|---|---|---|---|---|---|---|
| BE, eV | Content of the Element, % | BE, eV | Content of the Element, % | BE, eV | Content of the Element, % | BE, eV | Content of the Element, % | ||
| C1s | A | 283.57 | 59.19 | 283.55 | 23.19 | 283.49 | 25.72 | 283.51 | 24.81 |
| B | 285.13 | 8.43 | 285.17 | 13.08 | 284.69 | 7.71 | 284.89 | 7.44 | |
| C | – | − | 285.94 | 6.80 | 285.57 | 13.18 | 285.63 | 12.40 | |
| D | 287.54 | 8.37 | 287.60 | 16.30 | 287.56 | 15.20 | 287.60 | 15.09 | |
| O1s | A | 530.71 | 13.92 | 530.88 | 18.96 | 530.87 | 19.23 | 530.84 | 19.89 |
| B | 532.32 | 7.44 | 532.18 | 21.67 | 532.18 | 18.97 | 532.18 | 20.38 | |
| Sample | D3250/D1500 O–H | D1776/D1500 CO–O–C=C | D1712/D1500 C=O (Ehter Group) | D1686/D1500 C=O (Carboxyl Group) | D1608/D1500 C=C |
|---|---|---|---|---|---|
| Original PET | 0.140 | 0.040 | 7.172 | 2.068 | 0.528 |
| PET treated in RF discharge | 0.106 | 0.092 | 6.778 | 2.644 | 0.633 |
| PET treated in EBP | 0.243 | 0.254 | 7.215 | 3.519 | 1.068 |
| PET treated in hybrid plasma | 0.267 | 0.192 | 7.248 | 2.852 | 0.877 |
| Sample | θW, ° | θDM, ° | γpol, mJ/m2 | γdisp, mJ/m2 | γtot, mJ/m2 |
|---|---|---|---|---|---|
| Control | 80.6 ± 0.2 | 40.2 ± 1.5 | 3.3 | 38.4 | 42.7 |
| RF discharge treated | 27.3 ± 0.6 | 36.3 ± 1.8 | 30.1 | 40.2 | 70.4 |
| EBP-treated | 44.9 ± 0.1 | 42.8 ± 0.3 | 19.1 | 45.8 | 64.9 |
| HP-treated | 26.8 ± 0.4 | 36.8 ± 0.2 | 30.3 | 41.3 | 71.6 |
| Sample | Hemolytic Activity, % |
|---|---|
| Tritox X-100, 1% PBS | 100 1.7 ± 0.5 |
| Untreated PET, ~3.14 cm2 | 7.1 ± 0.6 * |
| RF discharge 35 W, ~3.14 cm2 | 3.2 ± 0.6 |
| EBP, ~3.14 cm2 | 3.9 ± 0.9 |
| Hybrid plasma, ~3.14 cm2 | 4.2 ± 0.7 |
Disclaimer/Publisher’s Note: The statements, opinions and data contained in all publications are solely those of the individual author(s) and contributor(s) and not of MDPI and/or the editor(s). MDPI and/or the editor(s) disclaim responsibility for any injury to people or property resulting from any ideas, methods, instructions or products referred to in the content. |
© 2024 by the authors. Licensee MDPI, Basel, Switzerland. This article is an open access article distributed under the terms and conditions of the Creative Commons Attribution (CC BY) license (https://creativecommons.org/licenses/by/4.0/).
Share and Cite
Vasilieva, T.; Nikolskaya, E.; Vasiliev, M.; Mollaeva, M.; Chirkina, M.; Sokol, M.; Yabbarov, N.; Shikova, T.; Abramov, A.; Ugryumov, A. Applicability of Electron-Beam and Hybrid Plasmas for Polyethylene Terephthalate Processing to Obtain Hydrophilic and Biocompatible Surfaces. Polymers 2024, 16, 172. https://doi.org/10.3390/polym16020172
Vasilieva T, Nikolskaya E, Vasiliev M, Mollaeva M, Chirkina M, Sokol M, Yabbarov N, Shikova T, Abramov A, Ugryumov A. Applicability of Electron-Beam and Hybrid Plasmas for Polyethylene Terephthalate Processing to Obtain Hydrophilic and Biocompatible Surfaces. Polymers. 2024; 16(2):172. https://doi.org/10.3390/polym16020172
Chicago/Turabian StyleVasilieva, Tatiana, Elena Nikolskaya, Michael Vasiliev, Mariia Mollaeva, Margarita Chirkina, Maria Sokol, Nikita Yabbarov, Tatiana Shikova, Artem Abramov, and Aleksandr Ugryumov. 2024. "Applicability of Electron-Beam and Hybrid Plasmas for Polyethylene Terephthalate Processing to Obtain Hydrophilic and Biocompatible Surfaces" Polymers 16, no. 2: 172. https://doi.org/10.3390/polym16020172
APA StyleVasilieva, T., Nikolskaya, E., Vasiliev, M., Mollaeva, M., Chirkina, M., Sokol, M., Yabbarov, N., Shikova, T., Abramov, A., & Ugryumov, A. (2024). Applicability of Electron-Beam and Hybrid Plasmas for Polyethylene Terephthalate Processing to Obtain Hydrophilic and Biocompatible Surfaces. Polymers, 16(2), 172. https://doi.org/10.3390/polym16020172

