Sulphur Copolymers with Pyrrole Compounds as Crosslinking Agents of Elastomer Composites for High-Performance Tyres
Abstract
1. Introduction
2. Experimental Section
2.1. Materials
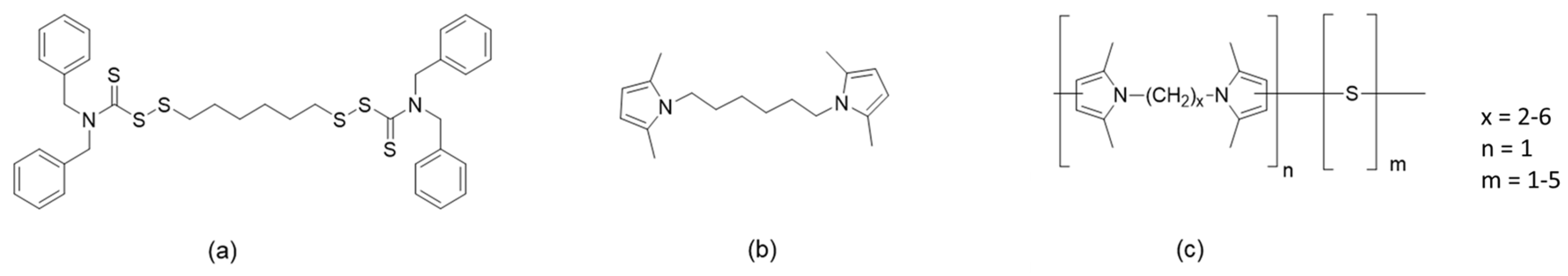
2.2. Synthesis of 1,6-Bis(2,5-Dimethyl-1H-Pyrrol-1-yl)Hexane (HMDP)
2.3. Preparation of Poly(S-co-PyC) Copolymers
Synthesis of Poly(S-co-HMDP) Polymers
2.4. Preparation of Elastomer Composites
2.4.1. Non-Productive Mixing: Preparation of Masterbatch
2.4.2. Final Mixing: Addition of the Vulcanization Agents
2.5. Characterization Methods
2.5.1. Characterization of HMDP
2.5.2. Characterization of Poly(S-co-PyC) Copolymers
2.5.3. Characterization of Elastomeric Composites
3. Results and Discussion
3.1. Synthesis and Characterization of HMDP
3.2. Synthesis and Characterization of Poly(S-co-HMDP) Copolymers
3.2.1. NMR Analysis
3.2.2. 1H-NMR Analysis
3.2.3. 13C-NMR Analysis
3.3. Preparation and Characterization of Elastomer Composites
3.3.1. Curing
3.3.2. Crosslinking Network
3.3.3. Dynamic Mechanical Characterization in the Shear Mode
3.3.4. Dynamic Mechanical Characterization in the Axial Mode
3.3.5. Tensile Tests
3.3.6. Stability of the Crosslinking Network
4. Conclusions
Supplementary Materials
Author Contributions
Funding
Institutional Review Board Statement
Data Availability Statement
Acknowledgments
Conflicts of Interest
References
- Gent, A.N. Rubber Elasticity: Basic Concepts and Behavior. In Science and Technology of Rubber, 4th ed.; Mark, J.E., Erman, B., Roland, M., Eds.; Academic Press: San Diego, CA, USA, 2013; pp. 1–27. [Google Scholar] [CrossRef]
- Erman, B.; Mark, J.E. The Molecular Basis of Rubberlike Elasticity. In Science and Technology of Rubber, 4th ed.; Mark, J.E., Erman, B., Roland, M., Eds.; Academic Press: San Diego, CA, USA, 2013; pp. 167–192. [Google Scholar] [CrossRef]
- Eng, A.H.; Ong, E.L. Hevea Natural Rubber. In Handbook of Elastomers, 2nd ed.; Bhowmick, A.K., Stephens, H.L., Eds.; CRC Press: Boca Raton, FL, USA, 2000; Volume 61, pp. 29–59. [Google Scholar]
- Karpeles, R.; Grossi, A.V. EPDM Rubber Technology. In Handbook of Elastomers, 2nd ed.; Bhowmick, A.K., Stephens, H.L., Eds.; CRC Press: Boca Raton, FL, USA, 2000; pp. 845–875. [Google Scholar]
- Magill, J.H. Crystallization and morphology of rubber. Rubber Chem. Technol. 1995, 68, 507–539. [Google Scholar] [CrossRef]
- Tosaka, M. Strain-induced crystallization of crosslinked natural rubber as revealed by X-ray diffraction using synchrotron radiation. Polym. J. 2007, 39, 1207–1220. [Google Scholar] [CrossRef]
- Huneau, B. Strain-Induced Crystallization of natural rubber: A Review of X ray diffraction investigations. Rubber Chem. Technol. 2011, 84, 425–452. [Google Scholar] [CrossRef]
- Galimberti, M.; Resconi, L.; Martini, E.; Guglielmi, F.; Albizzati, E. Elastomeric Copolymer of Ethylene with Alha Olefin. EP 0585658 B1, 28 January 1998. [Google Scholar]
- Guerra, G.; Galimberti, M.; Piemontesi, F.; Ruiz de Ballesteros, O. Influence of regio- and stereoregularity of propene insertion on crystallization behaviour and elasticity of ethene-propene copolymers. J. Am. Chem. Soc. 2002, 124, 1566–1567. [Google Scholar] [CrossRef] [PubMed]
- Guerra, G.; Ruiz de Ballesteros, O.; Venditto, V.; Galimberti, M.; Sartori, F. Pseudo-hexagonal crystallinity and thermal and tensile properties of ethene/propene copolymers. J. Polym. Sci. Part B Polym. Phys. 1999, 37, 1095–1103. [Google Scholar] [CrossRef]
- Natta, G.; Allegra, G. Stereochemical aspects of crystalline synthetic macromolecules. Tetrahedron 1974, 30, 1987–2000. [Google Scholar] [CrossRef]
- Brock, M.J.; Hackathorn, M.J. The synergistic effect of natural rubber on the crystallization of lithium poly(isoprene)S (coral rubber). Rubber Chem. Technol. 1972, 45, 1303–1314. [Google Scholar] [CrossRef]
- Burfield, D.R.; Tanaka, Y. Cold crystallization of natural rubber and its synthetic analogues: The influence of chain microstructure. Polymer 1987, 28, 907–910. [Google Scholar] [CrossRef]
- Corradini, P. Conformation of polymer molecules and entropy of melting. J. Polym. Sci. Polym. Symp. 1975, 50, 327–344. [Google Scholar] [CrossRef]
- Allegra, G.; Bruzzone, M. Effect of entropy of melting on strain-induced crystallization. Macromolecules 1983, 16, 1167–1170. [Google Scholar] [CrossRef]
- Chaikumpollert, O.; Yamamoto, Y.; Suchiva, K.; Kawahara, S. Protein-free natural rubber. Colloid Polym. Sci. 2012, 290, 331. [Google Scholar] [CrossRef]
- Tanaka, Y. Structural characterization of natural polyisoprenes: Solve the mystery of natural rubber based on structural study. Rubber Chem. Technol. 2001, 74, 355. [Google Scholar] [CrossRef]
- Kawahara, S.; Kakubo, T.; Nishiyama, N.; Tanaka, Y.; Isono, Y.; Sakdapipanich, J.T. Crystallization behavior and strength of natural rubber: Skim rubber, deproteinized natural rubber, and pale crepe. J. Appl. Polym. Sci. 2000, 78, 1510. [Google Scholar] [CrossRef]
- Kawahara, S.; Kakubo, T.; Sakdapipanich, J.T.; Isono, Y.; Tanaka, Y. Characterization of fatty acids linked to natural rubber—Role of linked fatty acids on crystallization of the rubber. Polymer 2000, 41, 7483. [Google Scholar] [CrossRef]
- Kawahara, S.; Isono, Y.; Kakubo, T.; Tanaka, Y.; Aik-Hwee, E. Crystallization Behavior and Strength of Natural Rubber Isolated from Different Hevea Clone. Rubber Chem. Technol. 2000, 73, 39. [Google Scholar] [CrossRef]
- Gent, A.N.; Kawahara, S.; Zhao, J. Crystallization of cis- and trans-1,4-Polyisoprene Dispersed in SBR. Rubber Chem. Technol. 1998, 71, 668. [Google Scholar] [CrossRef]
- Tanaka, Y.; Tarachiwin, L. Recent advances in structural characterization of natural rubber. Rubber Chem. Technol. 2009, 82, 283. [Google Scholar] [CrossRef]
- Kakubo, T.; Matsuura, A.; Kawahara, S.; Tanaka, Y. Origin of Characteristic Properties of Natural Rubber—Effect of Fatty Acids on Crystallization of cis-1,4-Polyisoprene. Rubber Chem. Technol. 1998, 71, 70. [Google Scholar] [CrossRef]
- Musto, S.; Barbera, V.; Maggio, M.; Mauro, M.; Guerra, G.; Galimberti, M. Crystallinity and Crystalline Phase Orientation of Poly(1,4-cis-isoprene) from Hevea brasilliensis and Taraxacum kok-saghyz. Polym. Adv. Technol. 2016, 27, 1082–1090. [Google Scholar] [CrossRef]
- Musto, S.; Barbera, V.; Guerra, G.; Galimberti, M. Processing and strain induced crystallization and reinforcement under strain of poly(1,4-cis-isoprene) from Ziegler-Natta catalysis, Hevea brasiliensis, Taraxacum kok-saghyz and Partenium argentatum. Adv. Ind. Eng. Polym. Res. 2019, 2, 1–12. [Google Scholar] [CrossRef]
- Hosler, D.; Burkett, S.L.; Tarkanian, M.J. Prehistoric polymers: Rubber processing in ancient Mesoamerica. Science 1999, 284, 1988–1991. [Google Scholar] [CrossRef]
- Coran, A.Y. Vulcanization in Science and Technology of Rubber, 4th ed.; Mark, J.E., Erman, B., Roland, M., Eds.; Academic Press: San Diego, CA, USA, 2013; pp. 337–381. [Google Scholar]
- Aprem, A.S.; Joseph, K.; Thomas, S. Recent developments in crosslinking of elastomers. Rubber Chem. Technol. 2005, 78, 458–488. [Google Scholar] [CrossRef]
- Tanaka, Y. Recent advances in structural characterization of elastomers. Rubber Chem. Technol. 1991, 64, 325. [Google Scholar] [CrossRef]
- Wolfman, G.; Hasenhidl, S.; Wolf, S. High resolution solid-state carbon-13 NMR studies of the crosslink structure in accelerated sulfur-vulcanized natural rubber. Kautsch. Gummi Kunststoffe 1991, 44, 118. [Google Scholar]
- Milani, G.; Leroy, E.; Milani, F.; Deterre, R. Mechanistic modeling of reversion phenomenon in sulphur cured natural rubber vulcanization kinetics. Polym. Test. 2013, 32, 1052–1063. [Google Scholar] [CrossRef]
- Buding, H.; Jeske, W.; Weidenhaupt, H.J. Vulcuren trial product KA 9188-A new bifunctional crosslinker for diene rubber. Kautsch. Gummi Kunststoffe 2001, 54, 8–13. [Google Scholar]
- Jiang, Y.; Zhang, Y. Improving thermal oxidative aging resistance and anti-reversion property of natural rubber by adding a crosslinking agent. J. Appl. Polym. Sci. 2022, 139, 51882. [Google Scholar] [CrossRef]
- Park, B.H.; Choi, S.S.; Kim, M.S.; Han, M.H. Effects of 1, 6-bis (N, N’-dibenzyl thiocarbamoyl dithio)-Hexane on Properties of Filled Natural Rubber Vulcanizates. J. Ind. Eng. Chem. 2002, 8, 197–202. [Google Scholar]
- Chung, W.J.; Griebel, J.J.; Kim, E.T.; Yoon, H.; Simmonds, A.G.; Ji, H.J.; Pyun, J. The use of elemental sulphur as an alternative feedstock for polymeric materials. Nat. Chem. 2013, 5, 518–524. [Google Scholar] [CrossRef]
- Naddeo, S.; Gentile, D.; Margani, F.; Prioglio, G.; Magaletti, F.; Galimberti, M.; Barbera, V. Pyrrole Compounds from the Two-Step One-Pot Conversion of 2,5-Dimethylfuran for Elastomer Composites with Low Dissipation of Energy. Molecules 2024, 29, 861. [Google Scholar] [CrossRef]
- Sun, Z.; Xiao, M.; Wang, S.; Han, D.; Song, S.; Chen, G.; Meng, Y. Sulphur-rich polymeric materials with semi-interpenetrating network structure as a novel lithium–sulphur cathode. J. Mater. Chem. A 2014, 2, 9280–9286. [Google Scholar] [CrossRef]
- Arslan, M.; Kiskan, B.; Cengiz, E.C.; Demir-Cakan, R.; Yagci, Y. Inverse vulcanization of bismaleimide and divinylbenzene by elemental sulphur for lithium sulphur batteries. Eur. Polym. J. 2016, 80, 70–77. [Google Scholar] [CrossRef]
- Crockett, M.P.; Evans, A.M.; Worthington, M.J.; Albuquerque, I.S.; Slattery, A.D.; Gibson, C.T.; Chalker, J.M. Sulphur-Limonene Polysulfide: A material synthesized entirely from industrial by-products and its use in removing toxic metals from water and soil. Angew. Chem. Int. Ed. 2016, 55, 1714–1718. [Google Scholar] [CrossRef]
- Shukla, S.; Ghosh, A.; Sen, U.K.; Roy, P.K.; Mitra, S.; Lochab, B. Cardanol benzoxazine-Sulphur Copolymers for Li-S batteries: Symbiosis of Sustainability and Performance. ChemistrySelect 2016, 1, 594–600. [Google Scholar] [CrossRef]
- Zhang, Y.; Griebel, J.J.; Dirlam, P.T.; Nguyen, N.A.; Glass, R.S.; Mackay, M.E.; Pyun, J. Inverse vulcanization of elemental sulphur and styrene for polymeric cathodes in Li-S batteries. J. Polym. Sci. Part A Polym. Chem. 2017, 55, 107–116. [Google Scholar] [CrossRef]
- Khawaja, S.Z.; Kumar, S.V.; Jena, K.K.; Alhassan, S.M. Flexible sulphur film from inverse vulcanization technique. Mater. Lett. 2017, 203, 58–61. [Google Scholar] [CrossRef]
- Akay, S.; Kayan, B.; Kalderis, D.; Arslan, M.; Yagci, Y.; Kiskan, B. Poly (benzoxazine-co-sulphur): An efficient sorbent for mercury removal from aqueous solution. J. Appl. Polym. Sci. 2017, 134, 45306. [Google Scholar] [CrossRef]
- Parker, D.J.; Jones, H.A.; Petcher, S.; Cervini, L.; Griffin, J.M.; Akhtar, R.; Hasell, T. Low cost and renewable sulphur-polymers by inverse vulcanisation, and their potential for mercury capture. J. Mater. Chem. A 2017, 5, 11682–11692. [Google Scholar] [CrossRef]
- Thiounn, T.; Lauer, M.K.; Bedford, M.S.; Smith, R.C.; Tennyson, A.G. Thermally-healable network solids of sulphur-crosslinked poly (4-allyloxystyrene). RSC Adv. 2018, 8, 39074–39082. [Google Scholar] [CrossRef] [PubMed]
- Smith, J.A.; Wu, X.; Berry, N.G.; Hasell, T. High sulphur content polymers: The effect of crosslinker structure on inverse vulcanization. J. Polym. Sci. Part A Polym. Chem. 2018, 56, 1777–1781. [Google Scholar] [CrossRef] [PubMed]
- Naddeo, S.; Barbera, V.; Galimberti, M. A sulphur copolymer with a pyrrole compound for the crosslinking of unsaturated elastomer. Polym. Chem. 2024, 15, 3675–3690. [Google Scholar] [CrossRef]
- Ramli, N.; Yusof, S. Economic and Market Trends of Specialty Rubber. In Epoxidised Natural Rubber: Properties & Applications; Springer Nature: Singapore, 2023; pp. 283–301. [Google Scholar] [CrossRef]
- Farroni, F.; Russo, M.; Sakhnevych, A.; Timpone, F. TRT EVO. Advances in real-time thermodynamic tire modeling for vehicle dynamics simulations. Proc. Inst. Mech. Eng. Part D J. Automob. Eng. 2019, 233, 121–135. [Google Scholar] [CrossRef]
- Sheldon, R.A. The E factor 25 years on: The rise of green chemistry and sustainability. Green Chem. 2017, 19, 18–43. [Google Scholar] [CrossRef]
- Locatelli, D.; Bernardi, A.; Rubino, L.R.; Gallo, S.; Vitale, A.; Bongiovanni, R.; Galimberti, M. Biosourced Janus Molecules as Silica Coupling Agents in Elastomer Composites for Tires with Lower Environmental Impact. ACS Sustain. Chem. Eng. 2023, 11, 2713–2726. [Google Scholar] [CrossRef]
- Flory, P.J.; Rehner, J., Jr. Statistical mechanics of crosslinked polymer networks I. Rubberlike elasticity. J. Chem. Phys. 1943, 11, 512–520. [Google Scholar] [CrossRef]
- Tunnicliffe, L.B.; Busfield, J.J. Reinforcement of Rubber and Filler Network Dynamics at Small Strains. In Designing of Elastomer Nanocomposites: From Theory to Applications; Springer: Cham, Switzerland, 2017; pp. 71–102. [Google Scholar] [CrossRef]
- Dillon, J.H.; Prettyman, I.B.; Hall, G.L. Hysteretic and elastic properties of rubberlike materials under dynamic shear stresses. J. Appl. Phys. 1944, 15, 309–323. [Google Scholar] [CrossRef]
- Fletcher, W.P.; Gent, A.N. Nonlinearity in the dynamic properties of vulcanized rubber compounds. Rubber Chem. Technol. 1954, 27, 209–222. [Google Scholar] [CrossRef]
- Payne, A.R. The dynamic properties of carbon black-loaded natural rubber vulcanizates. Part I. J. Appl. Polym. Sci. 1962, 6, 57–63. [Google Scholar] [CrossRef]
- Wang, D.; Tang, Z.; Fang, S.; Wu, S.; Zeng, H.; Wang, A.; Guo, B. The use of inverse vulcanised polysulfide as an intelligent interfacial modifier in rubber/carbon black composites. Carbon 2021, 184, 409–417. [Google Scholar] [CrossRef]











| Entry | 1 | 2 | 3 | 4 | 5 |
|---|---|---|---|---|---|
| Crosslinking agent b | = | DBTH | HMDP | Copolymer 1 | Copolymer 2 |
| SBR | 100 | 100 | 100 | 100 | 100 |
| CB CRX 1391 | 35 | 35 | 35 | 35 | 35 |
| Stearic acid | 2 | 2 | 2 | 2 | 2 |
| CB CRX 1391 | 25 | 25 | 25 | 25 | 25 |
| Oil | 16 | 16 | 16 | 16 | 16 |
| Resin | 16 | 16 | 16 | 16 | 16 |
| Zinc salt | 1 | 1 | 1 | 1 | 1 |
| ZnO | 2 | 2 | 2 | 2 | 2 |
| 6PPD | 2 | 2 | 2 | 2 | 2 |
| CB CRX 1391 | 5 | 5 | 5 | 5 | 5 |
| Sulphur | 0.70 | 0.70 | 1.25 | 0.69 | 0.51 |
| MBTS c 80% | 2 | 2 | 2 | 2 | 2 |
| Thiuram | 0.6 | 0.6 | 0.6 | 0.6 | 0.6 |
| DBTH | 0.00 | 2.00 | 0.00 | 0.00 | 0.00 |
| HMDP | 0.00 | 0.00 | 0.79 | 0.00 | 0.00 |
| Poly(HMDP-co-Sulphur)Ratio S/-(CH2)6 = 6 | 0.00 | 0.00 | 0.00 | 1.36 | 0.00 |
| HMDP | 0.00 | 0.00 | 0.00 | 0.80 | 0.00 |
| S8 | 0.00 | 0.00 | 0.00 | 0.56 | 0.00 |
| Poly(HMDP-co-Sulphur) Ratio S/-(CH2)6 = 8.9 | 0.00 | 0.00 | 0.00 | 0.00 | 1.53 |
| HMDP | 0 | 0 | 0 | 0 | 0.79 |
| S8 | 0 | 0 | 0 | 0 | 0.74 |
| Sample | Carbon wt% | Hydrogen wt% | Nitrogen wt% | Sulphur wt% |
|---|---|---|---|---|
| Copolymer 1 c | 40.0 | 6.1 | 5.0 | 20.3 |
| Copolymer 2 c | 49.8 | 7.9 | 6.0 | 23.2 |
| Entry a | Carbon wt% | Standard Deviation | Hydrogen wt% | Standard Deviation | Nitrogen wt% | Standard Deviation | Sulphur wt% | Standard Deviation |
|---|---|---|---|---|---|---|---|---|
| 1 | 40.0 | ±0.2 | 6.06 | ±0.3 | 4.96 | ±0.1 | 20.3 | ±0.5 |
| 3 | 49.8 | ±0.2 | 7.90 | ±0.3 | 6.05 | ±0.1 | 23.2 | ±0.5 |
| Sample | Molar Ratio Sulphur/Pyrrole Compound | Mw × 10−3 | Mn × 10−3 | Ð (Mw/Mn) |
|---|---|---|---|---|
| Copolymer 1 | 6.0 | 7.6 | 6.0 | 1.3 |
| Copolymer 2 | 8.9 | 6.4 | 5.0 | 1.3 |
| Entry | 1 | 2 | 3 | 4 | 5 |
|---|---|---|---|---|---|
| Crosslinking agent | = | DBTH | HMDP | Copolymer 1 | Copolymer 2 |
| ML | 2.90 | 2.76 | 2.81 | 3.12 | 3.10 |
| MH | 10.12 | 12.53 | 11.97 | 12.68 | 12.64 |
| MH − ML | 7.22 | 9.77 | 9.16 | 9.56 | 9.54 |
| ts1 | 2.69 | 2.76 | 2.56 | 2.44 | 2.45 |
| t90 | 8.30 | 7.80 | 8.23 | 8.21 | 7.83 |
| t90 − ts1 | 5.61 | 5.04 | 5.67 | 5.77 | 5.38 |
| Curing rate a | 1.29 | 1.94 | 1.61 | 1.66 | 1.77 |
| MH Relative values | 100 | 124 | 118 | 125 | 125 |
| Entry | 1 | 2 | 3 | 4 | 5 |
|---|---|---|---|---|---|
| Crosslinking agent | = | DBTH | HMDP | Copolymer 1 | Copolymer 2 |
| Total X-link mol/g × 10−5 | 1.16 | 1.87 | 1.67 | 1.73 | 1.94 |
| Mono and di-sulphide (wt %) | 97.10 | 89.80 | 97.60 | 87.00 | 94.50 |
| “Poly-sulphide” (wt %) | 2.90 | 10.20 | 2.40 | 13.00 | 5.50 |
| Entry | 1 | 2 | 3 | 4 | 5 |
|---|---|---|---|---|---|
| Reference | DBTH | HMDP | Copolymer 1 | Copolymer 2 | |
| G′γmin (0.2%) | 4.58 | 4.60 | 4.63 | 5.36 | 5.37 |
| G′γmax (25%) | 0.63 | 0.75 | 0.73 | 0.80 | 0.79 |
| ΔG′ | 3.95 | 3.85 | 3.90 | 4.56 | 4.58 |
| ΔG′/G′ | 0.86 | 0.84 | 0.84 | 0.85 | 0.85 |
| G″(max) | 0.77 | 0.71 | 0.76 | 0.84 | 0.83 |
| Tan δ (max) | 0.37 | 0.33 | 0.35 | 0.35 | 0.35 |
| Entry | 1 | 2 | 3 | 4 | 5 |
|---|---|---|---|---|---|
| Crosslinking agent | = | DBTH | HMDP | Copolymer 1 | Copolymer 2 |
| S’max a | 10.5 | 13.1 | 12.5 | 12.8 | 12.9 |
| S’end b | 8.9 | 11.2 | 10.6 | 11.3 | 11.2 |
| 15.2 | 14.5 | 15.2 | 11.7 | 13.2 |
Disclaimer/Publisher’s Note: The statements, opinions and data contained in all publications are solely those of the individual author(s) and contributor(s) and not of MDPI and/or the editor(s). MDPI and/or the editor(s) disclaim responsibility for any injury to people or property resulting from any ideas, methods, instructions or products referred to in the content. |
© 2024 by the authors. Licensee MDPI, Basel, Switzerland. This article is an open access article distributed under the terms and conditions of the Creative Commons Attribution (CC BY) license (https://creativecommons.org/licenses/by/4.0/).
Share and Cite
Naddeo, S.; Barbera, V.; Galimberti, M. Sulphur Copolymers with Pyrrole Compounds as Crosslinking Agents of Elastomer Composites for High-Performance Tyres. Polymers 2024, 16, 2802. https://doi.org/10.3390/polym16192802
Naddeo S, Barbera V, Galimberti M. Sulphur Copolymers with Pyrrole Compounds as Crosslinking Agents of Elastomer Composites for High-Performance Tyres. Polymers. 2024; 16(19):2802. https://doi.org/10.3390/polym16192802
Chicago/Turabian StyleNaddeo, Simone, Vincenzina Barbera, and Maurizio Galimberti. 2024. "Sulphur Copolymers with Pyrrole Compounds as Crosslinking Agents of Elastomer Composites for High-Performance Tyres" Polymers 16, no. 19: 2802. https://doi.org/10.3390/polym16192802
APA StyleNaddeo, S., Barbera, V., & Galimberti, M. (2024). Sulphur Copolymers with Pyrrole Compounds as Crosslinking Agents of Elastomer Composites for High-Performance Tyres. Polymers, 16(19), 2802. https://doi.org/10.3390/polym16192802

