Natural Rubber Films Reinforced with Cellulose and Chitosan Prepared by Latex Aqueous Microdispersion
Abstract
1. Introduction
2. Materials and Methods
2.1. Materials
2.2. Methods
2.2.1. Preparation of CE Suspension and CS Solution
2.2.2. Preparation of NR Composite Films
2.3. Characterization
2.3.1. Scanning Electron Microscope (SEM)
2.3.2. Fourier Transform Infrared Spectroscopy (FTIR)
2.3.3. Mechanical Properties Testing
2.3.4. Thermogravimetric Analysis (TGA)
2.3.5. X-ray Diffraction (XRD) Analysis
2.3.6. Contact Angle Analysis
2.3.7. Water Absorption Capacity (WAC) Analysis
2.3.8. Toluene Uptake (TU) Analysis
2.3.9. Antimicrobial Ability Analysis
2.3.10. Statistical Analysis
3. Results and Discussion
3.1. Scanning Electron Microscopy (SEM)
3.2. Fourier-Transform Infrared Spectroscopy (FTIR)
3.3. Mechanical Properties
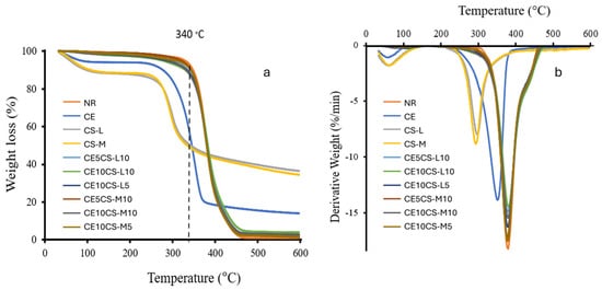
3.4. Thermogravimetric Analysis (TGA) and Derivative Thermogravimetry (DTG)
3.5. X-ray Diffraction (XRD)
3.6. Contact Angle
3.7. Water Absorption Capacity (WAC)
3.8. Toluene Uptake
3.9. Antimicrobial Ability
4. Conclusions
Supplementary Materials
Author Contributions
Funding
Institutional Review Board Statement
Data Availability Statement
Conflicts of Interest
References
- Li, H.; Yang, J.; Chen, G.; Liu, X.; Zhang, Z.; Li, G.; Liu, W. Towards intelligent design optimization: Progress and challenge of design optimization theories and technologies for plastic forming. Chin. J. Aeronaut. 2021, 34, 104–123. [Google Scholar] [CrossRef]
- Maitlo, G.; Ali, I.; Maitlo, H.A.; Ali, S.; Unar, I.N.; Ahmad, M.B.; Bhutto, D.K.; Karmani, R.K.; Naich, S.u.R.; Sajjad, R.U.; et al. Plastic Waste Recycling, Applications, and Future Prospects for a Sustainable Environment. Sustainability 2022, 14, 11637. [Google Scholar] [CrossRef]
- Luzi, F.; Torre, L.; Kenny, J.M.; Puglia, D. Bio- and Fossil-Based Polymeric Blends and Nanocomposites for Packaging: Structure–Property Relationship. Materials 2019, 12, 471. [Google Scholar] [CrossRef] [PubMed]
- Reowdecha, M.; Dittanet, P.; Sae-oui, P.; Loykulnant, S.; Prapainainar, P. Film and Latex Forms of Silica-Reinforced Natural Rubber Composite Vulcanized using Electron Beam Irradiation. Heliyon 2021, 7, e07176. [Google Scholar] [CrossRef]
- Jiang, Y.; Zhang, Y. Improving thermal oxidative aging resistance and anti-reversion property of natural rubber by adding a crosslinking agent. J. Appl. Polym. Sci. 2022, 139, 51882. [Google Scholar] [CrossRef]
- Zhang, B.L.; Huang, H.H.; Wang, Y.Z.; Ding, L.; Liang, Y. Study on molecular structure and property of highly purified natural rubber. J. Anal. Appl. Pyrolysis 2018, 134, 130–135. [Google Scholar] [CrossRef]
- Pojanavaraphan, T.; Magaraphan, R. Prevulcanized natural rubber latex/clay aerogel nanocomposites. Eur. Polym. J. 2008, 44, 1968–1977. [Google Scholar] [CrossRef]
- Sanjay, M.R.; Madhu, P.; Jawaid, M.; Senthamaraikannan, P.; Senthil, S.; Pradeep, S. Characterization and properties of natural fiber polymer composites: A comprehensive review. J. Clean. Prod. 2018, 172, 566–581. [Google Scholar] [CrossRef]
- Klemm, D.; Heublein, B.; Fink, H.-P.; Bohn, A. Cellulose: Fascinating Biopolymer and Sustainable Raw Material. Angew. Chem. Int. Ed. 2005, 44, 3358–3393. [Google Scholar] [CrossRef]
- Kumagai, A.; Tajima, N.; Iwamoto, S.; Morimoto, T.; Nagatani, A.; Okazaki, T.; Endo, T. Properties of natural rubber reinforced with cellulose nanofibers based on fiber diameter distribution as estimated by differential centrifugal sedimentation. Int. J. Biol. Macromol. 2019, 121, 989–995. [Google Scholar] [CrossRef]
- Trovatti, E.; Carvalho, A.J.F.; Ribeiro, S.J.L.; Gandini, A. Simple Green Approach to Reinforce Natural Rubber with Bacterial Cellulose Nanofibers. Biomacromolecules 2013, 14, 2667–2674. [Google Scholar] [CrossRef] [PubMed]
- Jiang, W.; Gu, J. Nanocrystalline cellulose isolated from different renewable sources to fabricate natural rubber composites with outstanding mechanical properties. Cellulose 2020, 27, 5801–5813. [Google Scholar] [CrossRef]
- Phomrak, S.; Phisalaphong, M. Reinforcement of Natural Rubber with Bacterial Cellulose via a Latex Aqueous Microdispersion Process. J. Nanomater. 2017, 2017, 4739793. [Google Scholar] [CrossRef]
- Fouda, M.M.G.; Wittke, R.; Knittel, D.; Schollmeyer, E. Use of chitosan/polyamine biopolymers based cotton as a model system to prepare antimicrobial wound dressing. Int. J. Diabetes Mellit. 2009, 1, 61–64. [Google Scholar] [CrossRef][Green Version]
- Thou, C.Z.; Khan, F.S.A.; Mubarak, N.M.; Ahmad, A.; Khalid, M.; Jagadish, P.; Walvekar, R.; Abdullah, E.C.; Khan, S.; Khan, M.; et al. Surface charge on chitosan/cellulose nanowhiskers composite via functionalized and untreated carbon nanotube. Arab. J. Chem. 2021, 14, 103022. [Google Scholar] [CrossRef]
- Strnad, S.; Zemljič, L.F. Cellulose–Chitosan Functional Biocomposites. Polymers 2023, 15, 425. [Google Scholar] [CrossRef] [PubMed]
- Lazaridou, M.; Nanaki, S.; Zamboulis, A.; Papoulia, C.; Chrissafis, K.; Klonos, P.A.; Kyritsis, A.; Vergkizi-Nikolakaki, S.; Kostoglou, M.; Bikiaris, D.N. Super absorbent chitosan-based hydrogel sponges as carriers for caspofungin antifungal drug. Int. J. Pharm. 2021, 606, 120925. [Google Scholar] [CrossRef] [PubMed]
- Wang, H.; Qian, J.; Ding, F. Emerging Chitosan-Based Films for Food Packaging Applications. J. Agric. Food Chem. 2018, 66, 395–413. [Google Scholar] [CrossRef]
- Lazaridou, M.; Bikiaris, D.N.; Lamprou, D.A. 3D Bioprinted Chitosan-Based Hydrogel Scaffolds in Tissue Engineering and Localised Drug Delivery. Pharmaceutics 2022, 14, 1978. [Google Scholar] [CrossRef]
- Štiglic, A.D.; Gürer, F.; Lackner, F.; Bračič, D.; Winter, A.; Gradišnik, L.; Makuc, D.; Kargl, R.; Duarte, I.; Plavec, J.; et al. Organic acid cross-linked 3D printed cellulose nanocomposite bioscaffolds with controlled porosity, mechanical strength, and biocompatibility. iScience 2022, 25, 104263. [Google Scholar] [CrossRef]
- Lackner, F.; Liu, H.; Štiglic, A.D.; Bračič, M.; Kargl, R.; Nidetzky, B.; Mohan, T.; Kleinschek, K.S. 3D Printed Porous Nanocellulose-Based Scaffolds as Carriers for Immobilization of Glycosyltransferases. ACS Appl. Bio Mater. 2022, 5, 5728–5740. [Google Scholar] [CrossRef] [PubMed]
- Lazaridou, M.; Moroni, S.; Klonos, P.; Kyritsis, A.; Bikiaris, D.N.; Lamprou, D.A. 3D-printed hydrogels based on amphiphilic chitosan derivative loaded with levofloxacin for wound healing applications. Int. J. Polym. Mater. 2024, 1–18. [Google Scholar] [CrossRef]
- Yang, J.; Kwon, G.-J.; Hwang, K.; Kim, D.-Y. Cellulose–Chitosan Antibacterial Composite Films Prepared from LiBr Solution. Polymers 2018, 10, 1058. [Google Scholar] [CrossRef] [PubMed]
- H.P.S, A.K.; Saurabh, C.K.; A.S., A.; Nurul Fazita, M.R.; Syakir, M.I.; Davoudpour, Y.; Rafatullah, M.; Abdullah, C.K.; Haafiz, M.K.M.; Dungani, R. A review on chitosan-cellulose blends and nanocellulose reinforced chitosan biocomposites: Properties and their applications. Carbohydr. Polym. 2016, 150, 216–226. [Google Scholar] [CrossRef]
- Suppanucroa, N.; Nimpaiboon, A.; Boonchuay, K.; Khamkeaw, A.; Phisalaphong, M. Green composite sponge of natural rubber reinforced with cellulose filler using alginate as a dispersing agent. J. Mater. Res. Technol. 2023, 27, 3119–3130. [Google Scholar] [CrossRef]
- Supanakorn, G.; Taokaew, S.; Phisalaphong, M. Multifunctional Cellulosic Natural Rubber and Silver Nanoparticle Films with Superior Chemical Resistance and Antibacterial Properties. Nanomaterials 2023, 13, 521. [Google Scholar] [CrossRef]
- Jenkhongkarn, R.; Phisalaphong, M. Effect of Reduction Methods on the Properties of Composite Films of Bacterial Cellulose-Silver Nanoparticles. Polymers 2023, 15, 2996. [Google Scholar] [CrossRef]
- Supanakorn, G.; Varatkowpairote, N.; Taokaew, S.; Phisalaphong, M. Alginate as Dispersing Agent for Compounding Natural Rubber with High Loading Microfibrillated Cellulose. Polymers 2021, 13, 468. [Google Scholar] [CrossRef] [PubMed]
- Supanakorn, G.; Taokaew, S.; Phisalaphong, M. Ternary composite films of natural rubber, cellulose microfiber, and carboxymethyl cellulose for excellent mechanical properties, biodegradability and chemical resistance. Cellulose 2021, 28, 8553–8566. [Google Scholar] [CrossRef]
- Geng, C.-z.; Hu, X.; Yang, G.-h.; Zhang, Q.; Chen, F.; Fu, Q. Mechanically reinforced chitosan/cellulose nanocrystals composites with good transparency and biocompatibility. Chin. J. Polym. Sci. 2015, 33, 61–69. [Google Scholar] [CrossRef]
- Xu, C.; Wu, W.; Nie, J.; Fu, L.; Lin, B. Preparation of carboxylic styrene butadiene rubber/chitosan composites with dense supramolecular network via solution mixing process. Compos. Part A Appl. Sci. Manuf. 2019, 117, 116–124. [Google Scholar] [CrossRef]
- Kralevich, M.L.; Koenig, J.L. FTIR Analysis of Silica-Filled Natural Rubber. Rubber Chem. Technol. 1998, 71, 300–309. [Google Scholar] [CrossRef]
- Atykyan, N.; Revin, V.; Shutova, V. Raman and FT-IR Spectroscopy investigation the cellulose structural differences from bacteria Gluconacetobacter sucrofermentans during the different regimes of cultivation on a molasses media. AMB Express 2020, 10, 84. [Google Scholar] [CrossRef] [PubMed]
- Osman, Z.; Arof, A.K. FTIR studies of chitosan acetate based polymer electrolytes. Electrochim. Acta 2003, 48, 993–999. [Google Scholar] [CrossRef]
- Shekh, M.I.; Amirian, J.; Stadler, F.J.; Du, B.; Zhu, Y. Oxidized chitosan modified electrospun scaffolds for controllable release of acyclovir. Int. J. Biol. Macromol. 2020, 151, 787–796. [Google Scholar] [CrossRef]
- Sivaselvi, K.; Varma, V.S.; Harikumar, A.; Jayaprakash, A.; Sankar, S.; Krishna, C.Y.; Gopal, K. Improving the mechanical properties of natural rubber composite with carbon black (N220) as filler. Mater. Today Proc. 2021, 42, 921–925. [Google Scholar] [CrossRef]
- Wang, J.; Chen, D. Mechanical Properties of Natural Rubber Nanocomposites Filled with Thermally Treated Attapulgite. J. Nanomater. 2013, 2013, 496584. [Google Scholar] [CrossRef]
- Boonrasri, S.; Sae–Oui, P.; Rachtanapun, P. Chitosan and Natural Rubber Latex Biocomposite Prepared by Incorporating Negatively Charged Chitosan Dispersion. Molecules 2020, 25, 2777. [Google Scholar] [CrossRef]
- Rao, V.; Johns, J. Mechanical properties of thermoplastic elastomeric blends of chitosan and natural rubber latex. J. Appl. Polym. Sci. 2008, 107, 2217–2223. [Google Scholar] [CrossRef]
- Thomas, M.G.; Abraham, E.; Jyotishkumar, P.; Maria, H.J.; Pothen, L.A.; Thomas, S. Nanocelluloses from jute fibers and their nanocomposites with natural rubber: Preparation and characterization. Int. J. Biol. Macromol. 2015, 81, 768–777. [Google Scholar] [CrossRef]
- Akter, N.; Khan, R.A.; Tuhin, M.O.; Haque, M.E.; Nurnabi, M.; Parvin, F.; Islam, R. Thermomechanical, barrier, and morphological properties of chitosan-reinforced starch-based biodegradable composite films. J. Thermoplast. Compos. Mater. 2014, 27, 933–948. [Google Scholar] [CrossRef]
- Czaja, W.; Romanovicz, D.; Brown, R.m. Structural investigations of microbial cellulose produced in stationary and agitated culture. Cellulose 2004, 11, 403–411. [Google Scholar] [CrossRef]
- Gong, J.; Li, J.; Xu, J.; Xiang, Z.; Mo, L. Research on cellulose nanocrystals produced from cellulose sources with various polymorphs. RSC Adv. 2017, 7, 33486–33493. [Google Scholar] [CrossRef]
- Osorio-Madrazo, A.; David, L.; Trombotto, S.; Lucas, J.-M.; Peniche-Covas, C.; Domard, A. Kinetics Study of the Solid-State Acid Hydrolysis of Chitosan: Evolution of the Crystallinity and Macromolecular Structure. Biomacromolecules 2010, 11, 1376–1386. [Google Scholar] [CrossRef] [PubMed]
- Dey, S.; Al-Amin, M.; Rashid, T.; Sultan, Z.; Ashaduzzaman, M.; Sarker, M.; Shamsuddin, S. Preparation, characterization and performance evaluation of chitosan as an adsorbent for remazol red. Int. J. Latest Res. Eng. Technol. 2016, 2, 52–62. [Google Scholar]
- Abraham, E.; Elbi, P.A.; Deepa, B.; Jyotishkumar, P.; Pothen, L.A.; Narine, S.S.; Thomas, S. X-ray diffraction and biodegradation analysis of green composites of natural rubber/nanocellulose. Polym. Degrad. Stab. 2012, 97, 2378–2387. [Google Scholar] [CrossRef]
- Rajisha, K.R.; Maria, H.J.; Pothan, L.A.; Ahmad, Z.; Thomas, S. Preparation and characterization of potato starch nanocrystal reinforced natural rubber nanocomposites. Int. J. Biol. Macromol. 2014, 67, 147–153. [Google Scholar] [CrossRef]
- Scott, C.E.; Macosko, C.W. Morphology development during the initial stages of polymer-polymer blending. Polymer 1995, 36, 461–470. [Google Scholar] [CrossRef]
- Busscher, H.J.; van Pelt, A.W.J.; de Boer, P.; de Jong, H.P.; Arends, J. The effect of surface roughening of polymers on measured contact angles of liquids. Colloids Surf. 1984, 9, 319–331. [Google Scholar] [CrossRef]
- Lin, W.-C.; Lien, C.-C.; Yeh, H.-J.; Yu, C.-M.; Hsu, S.-h. Bacterial cellulose and bacterial cellulose–chitosan membranes for wound dressing applications. Carbohydr. Polym. 2013, 94, 603–611. [Google Scholar] [CrossRef]
- Sintharm, P.; Nimpaiboon, A.; Liao, Y.-C.; Phisalaphong, M. Bacterial cellulose reinforced with skim/fresh natural rubber latex for improved mechanical, chemical and dielectric properties. Cellulose 2022, 29, 1739–1758. [Google Scholar] [CrossRef]
- Goy, R.C.; Morais, S.T.B.; Assis, O.B.G. Evaluation of the antimicrobial activity of chitosan and its quaternized derivative on E. coli and S. aureus growth. Rev. Bras. Farmacogn. 2016, 26, 122–127. [Google Scholar] [CrossRef]
- Liu, N.; Chen, X.-G.; Park, H.-J.; Liu, C.-G.; Liu, C.-S.; Meng, X.-H.; Yu, L.-J. Effect of MW and concentration of chitosan on antibacterial activity of Escherichia coli. Carbohydr. Polym. 2006, 64, 60–65. [Google Scholar] [CrossRef]
- Poznanski, P.; Hameed, A.; Orczyk, W. Chitosan and Chitosan Nanoparticles: Parameters Enhancing Antifungal Activity. Molecules 2023, 28, 2996. [Google Scholar] [CrossRef] [PubMed]









| Samples | CE (g) | CS (g) | NRL (60% DRC) (g) | |
|---|---|---|---|---|
| CS-L | CS-M | |||
| NR | - | - | - | 6 |
| CE5CS-L5 | 0.18 | 0.18 | - | 6 |
| CE5CS-M5 | 0.18 | - | 0.18 | 6 |
| CE5CS-L10 | 0.18 | 0.36 | - | 6 |
| CE5CS-M10 | 0.18 | - | 0.36 | 6 |
| CE10CS-L5 | 0.36 | 0.18 | - | 6 |
| CE10CS-M5 | 0.36 | - | 0.18 | 6 |
| CE10CS-L10 | 0.36 | 0.36 | - | 6 |
| CE10CS-M10 | 0.36 | - | 0.36 | 6 |
| NR | CE | CS-M | CS-L | CE10 CS-L5 | CE10 CS-M5 | CE10 CS-L10 | CE10 CS-M10 | CE5 CS-L10 | CE5 CS-M10 |
|---|---|---|---|---|---|---|---|---|---|
| 102.2 ± 1.2 | 74.5 ± 1.8 | 94.8 ± 2.8 | 91.2 ± 4.7 | 96.8 ± 4.7 | 95.7 ± 4.7 | 88.3 ± 6.4 | 82.3 ± 3.0 | 94.2 ± 2.6 | 95.2 ± 5.1 |
![]() | ![]() | ![]() | ![]() | ![]() | ![]() | ![]() | ![]() | ![]() | ![]() |
Disclaimer/Publisher’s Note: The statements, opinions and data contained in all publications are solely those of the individual author(s) and contributor(s) and not of MDPI and/or the editor(s). MDPI and/or the editor(s) disclaim responsibility for any injury to people or property resulting from any ideas, methods, instructions or products referred to in the content. |
© 2024 by the authors. Licensee MDPI, Basel, Switzerland. This article is an open access article distributed under the terms and conditions of the Creative Commons Attribution (CC BY) license (https://creativecommons.org/licenses/by/4.0/).
Share and Cite
Sutipanwihan, N.; Kitsawat, V.; Sintharm, P.; Phisalaphong, M. Natural Rubber Films Reinforced with Cellulose and Chitosan Prepared by Latex Aqueous Microdispersion. Polymers 2024, 16, 2652. https://doi.org/10.3390/polym16182652
Sutipanwihan N, Kitsawat V, Sintharm P, Phisalaphong M. Natural Rubber Films Reinforced with Cellulose and Chitosan Prepared by Latex Aqueous Microdispersion. Polymers. 2024; 16(18):2652. https://doi.org/10.3390/polym16182652
Chicago/Turabian StyleSutipanwihan, Naipaporn, Veerapat Kitsawat, Praewpakun Sintharm, and Muenduen Phisalaphong. 2024. "Natural Rubber Films Reinforced with Cellulose and Chitosan Prepared by Latex Aqueous Microdispersion" Polymers 16, no. 18: 2652. https://doi.org/10.3390/polym16182652
APA StyleSutipanwihan, N., Kitsawat, V., Sintharm, P., & Phisalaphong, M. (2024). Natural Rubber Films Reinforced with Cellulose and Chitosan Prepared by Latex Aqueous Microdispersion. Polymers, 16(18), 2652. https://doi.org/10.3390/polym16182652











