Silica Aerogel-Modified Polyacrylonitrile Nanofibers to Reduce Heat Flux in Heat Storage Tanks of Greenhouse Buildings
Abstract
1. Introduction
2. Numerical Simulation Methodology
3. Results and Discussion
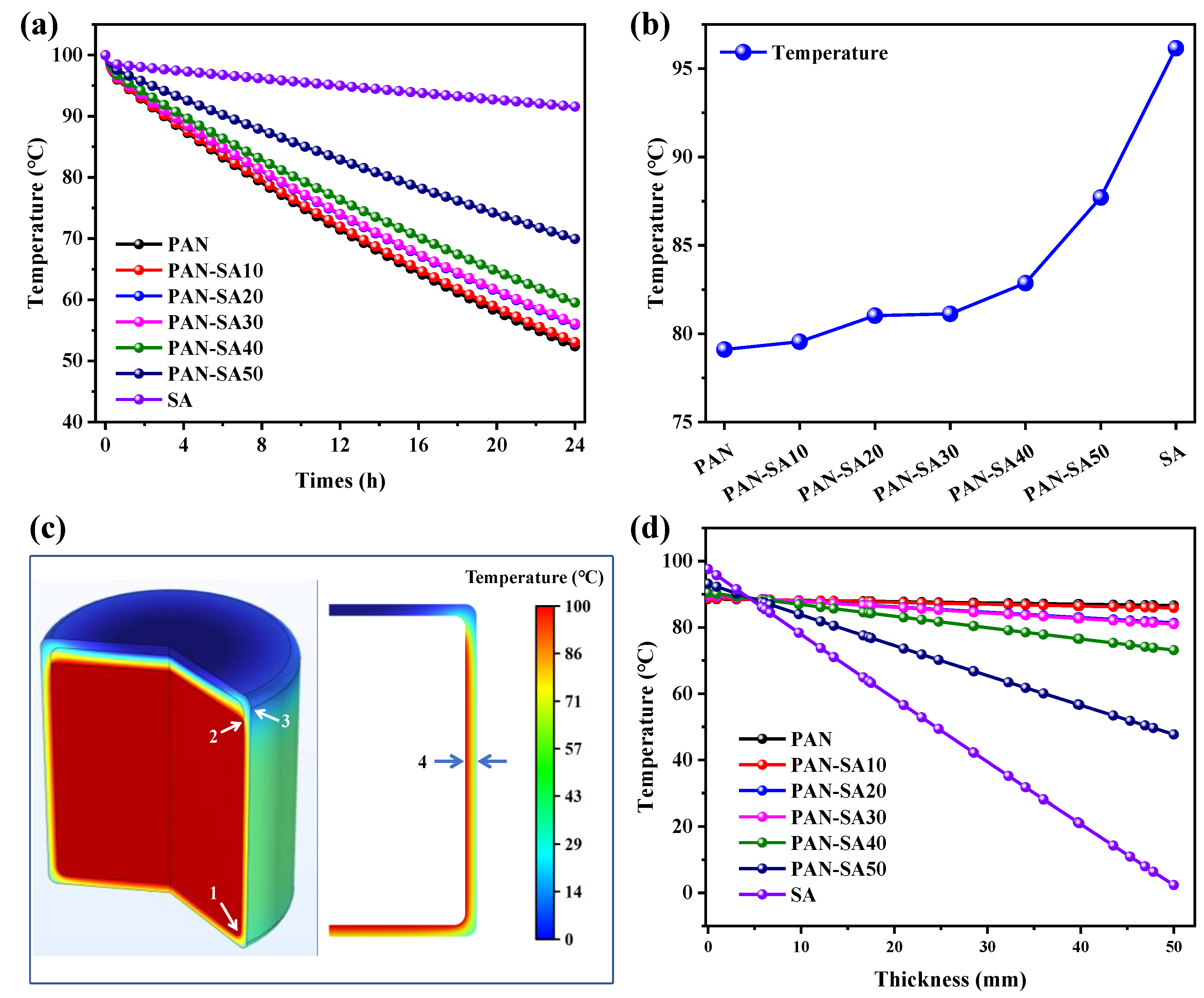
3.1. Modification of Polyacrylonitrile Nanofiber
3.2. Geometry Optimization of the Heat Storage Tank
3.3. Optimization of Thermal Insulation Thickness
3.4. The Influence of Outdoor Temperature on Thermal Performance
4. Conclusions
Author Contributions
Funding
Data Availability Statement
Conflicts of Interest
References
- Aslam, M.; Khan, T.; Basit, M.; Masood, R.; Raza, Z.A. Polyacrylonitrile-based electrospun nanofibers—A critical review. Mater. Werkst. 2022, 53, 1575–1591. [Google Scholar] [CrossRef]
- Arat, R.; Baskan, H.; Ozcan, G.; Altay, P. Hydrophobic silica-aerogel integrated polyacrylonitrile nanofibers. J. Ind. Text. 2020, 51, 4740S–4756S. [Google Scholar] [CrossRef]
- Li, Y.; Liu, X.; Nie, X.; Yang, W.; Wang, Y.; Yu, R.; Shui, J. Multifunctional Organic–Inorganic Hybrid Aerogel for Self-Cleaning, Heat-Insulating, and Highly Efficient Microwave Absorbing Material. Adv. Funct. Mater. 2018, 29, 1807624. [Google Scholar] [CrossRef]
- Rahaman, M.S.A.; Ismail, A.F.; Mustafa, A. A review of heat treatment on polyacrylonitrile fiber. Polym. Degrad. Stab. 2007, 92, 1421–1432. [Google Scholar] [CrossRef]
- Khayyam, H.; Jazar, R.N.; Nunna, S.; Golkarnarenji, G.; Badii, K.; Fakhrhoseini, S.M.; Kumar, S.; Naebe, M. PAN precursor fabrication, applications and thermal stabilization process in carbon fiber production: Experimental and mathematical modelling. Prog. Mater. Sci. 2020, 107, 100575. [Google Scholar] [CrossRef]
- Ghaffari, S.; Yousefzadeh, M.; Mousazadegan, F. Investigation of thermal comfort in nanofibrous three-layer fabric for cold weather protective clothing. Polym. Eng. Sci. 2019, 59, 2032–2040. [Google Scholar] [CrossRef]
- Gbewonyo, S.; Carpenter, A.W.; Gause, C.B.; Mucha, N.R.; Zhang, L. Low thermal conductivity carbon fibrous composite nanomaterial enabled by multi-scale porous structure. Mater. Des. 2017, 134, 218–225. [Google Scholar] [CrossRef]
- Yumrutaş, R.; Ünsal, M. Energy analysis and modeling of a solar assisted house heating system with a heat pump and an underground energy storage tank. Sol. Energy 2012, 86, 983–993. [Google Scholar] [CrossRef]
- Muñoz-Liesa, J.; Royapoor, M.; Cuerva, E.; Gassó-Domingo, S.; Gabarrell, X.; Josa, A. Building-integrated greenhouses raise energy co-benefits through active ventilation systems. Build. Environ. 2022, 208, 108585. [Google Scholar] [CrossRef]
- Falana, J.; Osei-Kyei, R.; Tam, V.W.Y. Towards achieving a net zero carbon building: A review of key stakeholders and their roles in net zero carbon building whole life cycle. J. Build. Eng. 2024, 82, 108223. [Google Scholar] [CrossRef]
- Shirinbakhsh, M.; Harvey, L.D.D. Net-zero energy buildings: The influence of definition on greenhouse gas emissions. Energy Build. 2021, 247, 111118. [Google Scholar] [CrossRef]
- Stephan, A.; Stephan, L. Achieving net zero life cycle primary energy and greenhouse gas emissions apartment buildings in a Mediterranean climate. Appl. Energy 2020, 280, 115932. [Google Scholar] [CrossRef]
- Zhang, B.; Fan, X.; Liu, M.; Hao, W. Experimental study of the burning-cave hot water soil heating system in solar greenhouse. Renew. Energy 2016, 87, 1113–1120. [Google Scholar] [CrossRef]
- Decano-Valentin, C.; Lee, I.-B.; Yeo, U.-H.; Lee, S.-Y.; Kim, J.-G.; Park, S.-J.; Choi, Y.-B.; Cho, J.-H.; Jeong, H.-H. Integrated Building Energy Simulation–Life Cycle Assessment (BES–LCA) Approach for Environmental Assessment of Agricultural Building: A Review and Application to Greenhouse Heating Systems. Agronomy 2021, 11, 1230. [Google Scholar] [CrossRef]
- Lee, C.-G.; Cho, L.-H.; Kim, S.-J.; Park, S.-Y.; Kim, D.-H. Prediction Model for the Internal Temperature of a Greenhouse with a Water-to-Water Heat Pump Using a Pellet Boiler as a Heat Source Using Building Energy Simulation. Energies 2022, 15, 5677. [Google Scholar] [CrossRef]
- Li, X. Application of renewable materials in energy saving of new building solar greenhouse. Therm. Sci. 2022, 26, 2349–2360. [Google Scholar] [CrossRef]
- Choi, I.-S.; Hussain, A.; Bui, V.-H.; Kim, H.-M. A Multi-Agent System-Based Approach for Optimal Operation of Building Microgrids with Rooftop Greenhouse. Energies 2018, 11, 1876. [Google Scholar] [CrossRef]
- Tong, G.; Christopher, D.M.; Li, T.; Wang, T. Passive solar energy utilization: A review of cross-section building parameter selection for Chinese solar greenhouses. Renew. Sustain. Energy Rev. 2013, 26, 540–548. [Google Scholar] [CrossRef]
- Chen, Q.; Wang, H.; Sun, L. Preparation and Characterization of Silica Aerogel Microspheres. Materials 2017, 10, 435. [Google Scholar] [CrossRef]
- He, F.; Zhao, H.; Qu, X.; Zhang, C.; Qiu, W. Modified aging process for silica aerogel. J. Mater. Process. Technol. 2009, 209, 1621–1626. [Google Scholar] [CrossRef]
- Soleimani Dorcheh, A.; Abbasi, M.H. Silica aerogel; synthesis, properties and characterization. J. Mater. Process. Technol. 2008, 199, 10–26. [Google Scholar] [CrossRef]
- Zhao, J.P.; Ge, D.T.; Zhang, S.L.; Wei, X.L. Studies on Thermal Property of Silica Aerogel/Epoxy Composite. Mater. Sci. Forum 2007, 546–549, 1581–1584. [Google Scholar] [CrossRef]
- Chen, S.-L.; Chen, C.-L.; Tin, C.-C.; Lee, T.-S.; Ke, M.-C. An experimental investigation of cold storage in an encapsulated thermal storage tank. Exp. Therm. Fluid Sci. 2000, 23, 133–144. [Google Scholar] [CrossRef]
- Gao, Y.; He, F.; Xu, T.; Meng, X.; Zhang, M.; Yan, L.; Gao, W. Thermal performance analysis of sensible and latent heat thermal energy storage tanks: A contrastive experiment. J. Build. Eng. 2020, 32, 101713. [Google Scholar] [CrossRef]







| Thermal Insulation Material | Thermal Conductivity (W·m−1·K−1) |
|---|---|
| PAN | 15.8 |
| PAN-SA10 | 10.6 |
| PAN-SA20 | 3.5 |
| PAN-SA30 | 3.3 |
| PAN-SA40 | 1.5 |
| PAN-SA50 | 0.4 |
| SA | 0.037 |
Disclaimer/Publisher’s Note: The statements, opinions and data contained in all publications are solely those of the individual author(s) and contributor(s) and not of MDPI and/or the editor(s). MDPI and/or the editor(s) disclaim responsibility for any injury to people or property resulting from any ideas, methods, instructions or products referred to in the content. |
© 2024 by the authors. Licensee MDPI, Basel, Switzerland. This article is an open access article distributed under the terms and conditions of the Creative Commons Attribution (CC BY) license (https://creativecommons.org/licenses/by/4.0/).
Share and Cite
Li, Y.; Zhang, Y.; Sun, W. Silica Aerogel-Modified Polyacrylonitrile Nanofibers to Reduce Heat Flux in Heat Storage Tanks of Greenhouse Buildings. Polymers 2024, 16, 2219. https://doi.org/10.3390/polym16152219
Li Y, Zhang Y, Sun W. Silica Aerogel-Modified Polyacrylonitrile Nanofibers to Reduce Heat Flux in Heat Storage Tanks of Greenhouse Buildings. Polymers. 2024; 16(15):2219. https://doi.org/10.3390/polym16152219
Chicago/Turabian StyleLi, Yuze, Yongping Zhang, and Wenbo Sun. 2024. "Silica Aerogel-Modified Polyacrylonitrile Nanofibers to Reduce Heat Flux in Heat Storage Tanks of Greenhouse Buildings" Polymers 16, no. 15: 2219. https://doi.org/10.3390/polym16152219
APA StyleLi, Y., Zhang, Y., & Sun, W. (2024). Silica Aerogel-Modified Polyacrylonitrile Nanofibers to Reduce Heat Flux in Heat Storage Tanks of Greenhouse Buildings. Polymers, 16(15), 2219. https://doi.org/10.3390/polym16152219
