Frequency-Dependent Fatigue Properties of Additively Manufactured PLA
Abstract
1. Introduction
2. Methods and Materials
2.1. Methods
2.2. Materials
3. Results
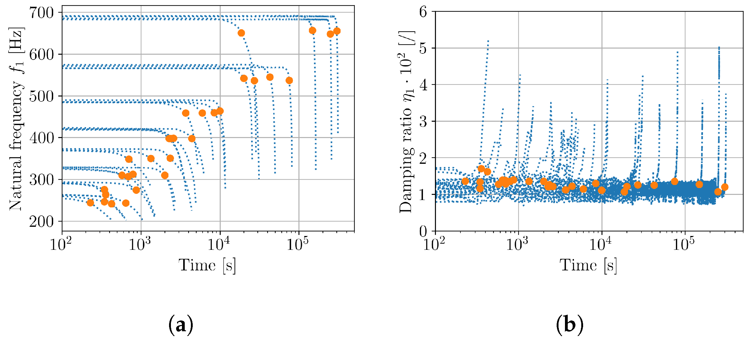
3.1. Experimental Results
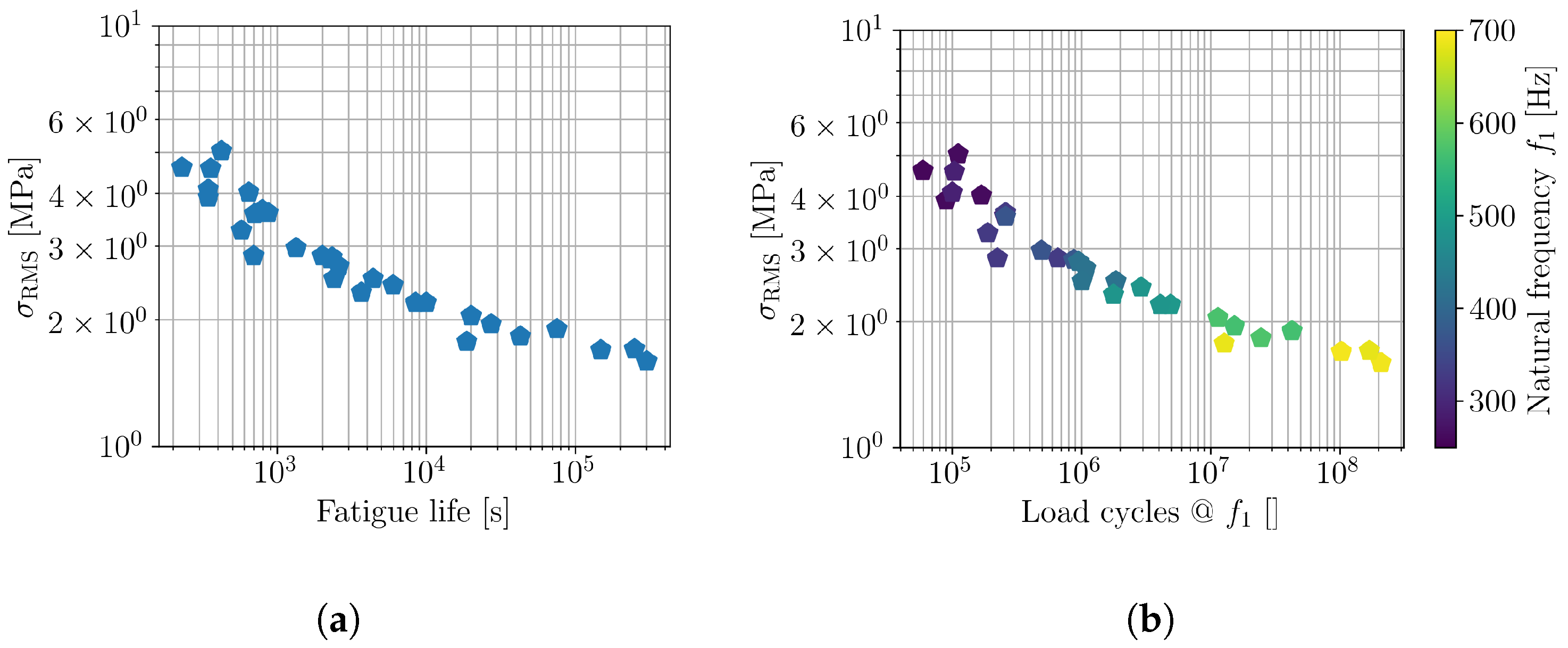
3.2. Vibration-Fatigue Lives
3.3. Frequency-Dependent Fatigue Parameters
4. Discussion and Conclusions
Author Contributions
Funding
Data Availability Statement
Conflicts of Interest
References
- Gibson, I.; Rosen, D.; Stucker, B.; Khorasani, M. Additive Manufacturing Technologies, 2nd ed.; Springer: Cham, Switzerland, 2000. [Google Scholar]
- Munghen, D.; Iacobellis, V.; Behdinan, K. Incorporation of fiber Bragg grating sensors in additive manufactured Acrylonitrile butadiene styrene for strain monitoring during fatigue loading. Int. J. Fatigue 2022, 154, 106485. [Google Scholar] [CrossRef]
- Gao, S.; Liu, W.; Zhang, L.; Gain, A.K. A New Polymer-Based Mechanical Metamaterial with Tailorable Large Negative Poisson’s Ratios. Polymers 2020, 12, 1492. [Google Scholar] [CrossRef] [PubMed]
- Liu, T.; Zhang, M.; Kang, Y.; Tian, X.; Ding, J.; Li, D. Material extrusion 3D printing of polyether ether ketone in vacuum environment: Heat dissipation mechanism and performance. Addit. Manuf. 2023, 62, 103390. [Google Scholar] [CrossRef]
- Benamira, M.; Benhassine, N.; Ayad, A.; Dekhane, A. Investigation of printing parameters effects on mechanical and failure properties of 3D printed PLA. Eng. Fail. Anal. 2023, 148, 107218. [Google Scholar] [CrossRef]
- Khosravani, M.R.; Berto, F.; Ayatollahi, M.R.; Reinicke, T. Characterization of 3D-printed PLA parts with different raster orientations and printing speeds. Sci. Rep. 2022, 12, 1016. [Google Scholar] [CrossRef] [PubMed]
- Bakhtiari, H.; Aamir, M.; Tolouei-Rad, M. Effect of 3D printing parameters on the fatigue properties of parts manufactured by fused filament fabrication: A review. Appl. Sci. 2023, 13, 904. [Google Scholar] [CrossRef]
- Luo, J.; Luo, Q.; Zhang, G.; Li, Q.; Sun, G. On strain rate and temperature dependent mechanical properties and constitutive models for additively manufactured polylactic acid (PLA) materials. Thin-Walled Struct. 2022, 179, 109624. [Google Scholar] [CrossRef]
- Afrose, M.F.; Masood, S.H.; Iovenitti, P.; Nikzad, M.; Sbarski, I. Effects of part build orientations on fatigue behaviour of FDM-processed PLA material. Prog. Addit. Manuf. 2016, 1, 21–28. [Google Scholar] [CrossRef]
- Rendas, P.; Imperadeiro, A.; Martins, R.F.; Soares, B.A.R. High-Cycle Fatigue Behaviour of Polyetheretherketone (PEEK) Produced by Additive Manufacturing. Polymers 2024, 16, 18. [Google Scholar] [CrossRef]
- He, F.; Khan, M. Effects of Printing Parameters on the Fatigue Behaviour of 3D-Printed ABS under Dynamic Thermo-Mechanical Loads. Polymers 2021, 13, 2362. [Google Scholar] [CrossRef]
- Ziemian, C.; Ziemian, R. Residual strength of additive manufactured ABS parts subjected to fatigue loading. Int. J. Fatigue 2020, 134, 105455. [Google Scholar] [CrossRef]
- Travieso-Rodriguez, J.A.; Zandi, M.D.; Jerez-Mesa, R.; Lluma-Fuentes, J. Fatigue behavior of PLA-wood composite manufactured by fused filament fabrication. J. Mater. Res. Technol. 2020, 9, 8507–8516. [Google Scholar] [CrossRef]
- Terekhina, S.; Tarasova, T.; Egorov, S.; Skornyakov, I.; Guillaumat, L.; Hattali, M. The effect of build orientation on both flexural quasi-static and fatigue behaviours of filament deposited PA6 polymer. Int. J. Fatigue 2020, 140, 105825. [Google Scholar] [CrossRef] [PubMed]
- Li, X.; He, J.; Hu, Z.; Ye, X.; Wang, S.; Zhao, Y.; Wang, B.; Ou, Y.; Zhang, J. High strength carbon-fiber reinforced polyamide 6 composites additively manufactured by screw-based extrusion. Compos. Sci. Technol. 2022, 229, 109707. [Google Scholar] [CrossRef]
- He, Y.; Huang, W.; Guo, W.; Li, Y.; Zhao, S.; Lin, D. An Investigation of the Anisotropic Fatigue Properties of Laser Additively Manufactured Ti-6Al-4V under Vibration Loading. Materials 2023, 16, 5099. [Google Scholar] [CrossRef]
- Ezeh, O.; Susmel, L. Fatigue strength of additively manufactured polylactide (PLA): Effect of raster angle and non-zero mean stresses. Int. J. Fatigue 2019, 126, 319–326. [Google Scholar] [CrossRef]
- El Magri, A.; Vanaei, S.; Shirinbayan, M.; Vaudreuil, S.; Tcharkhtchi, A. An Investigation to Study the Effect of Process Parameters on the Strength and Fatigue Behavior of 3D-Printed PLA-Graphene. Polymers 2021, 13, 3218. [Google Scholar] [CrossRef]
- Shanmugam, V.; Das, O.; Babu, K.; Marimuthu, U.; Veerasimman, A.; Johnson, D.J.; Neisiany, R.E.; Hedenqvist, M.S.; Ramakrishna, S.; Berto, F. Fatigue behaviour of FDM-3D printed polymers, polymeric composites and architected cellular materials. Int. J. Fatigue 2021, 143, 106007. [Google Scholar] [CrossRef]
- Crawford, R.J.; Martin, P.J. Plastics Engineering, 4th ed.; Butterworth-Heinemann: Oxford, UK, 2020. [Google Scholar]
- Kuleyin, H.; Gümrük, R.; Çalışkan, S. Fatigue behavior of polymethyl methacrylate/acrylonitrile butadiene styrene blends including blend composition, stress ratio, frequency, and holding pressure effects. Int. J. Fatigue 2024, 187, 108483. [Google Scholar] [CrossRef]
- Nguyen, H.T.; Crittenden, K.; Weiss, L.; Bardaweel, H. Experimental Modal Analysis and Characterization of Additively Manufactured Polymers. Polymers 2022, 14, 2071. [Google Scholar] [CrossRef]
- Xue, F.; Robin, G.; Boudaoud, H.; Cruz Sanchez, F.A.; Daya, E.M. General Methodology to Investigate the Effect of Process Parameters on the Vibration Properties of Structures Produced by Additive Manufacturing Using Fused Filament Fabrication. JOM 2022, 74, 1166–1175. [Google Scholar] [CrossRef]
- Medel, F.; Abad, J.; Esteban, V. Stiffness and damping behavior of 3D printed specimens. Polym. Test. 2022, 109, 107529. [Google Scholar] [CrossRef]
- Huang, Y.H.; Lin, C.Y. Measurement of Orthotropic Material Constants and Discussion on 3D Printing Parameters in Additive Manufacturing. Appl. Sci. 2022, 12, 6812. [Google Scholar] [CrossRef]
- Slavič, J.; Mršnik, M.; Česnik, M.; Javh, J.; Boltežar, M. Vibration Fatigue by Spectral Methods, 1st ed.; Elsevier: Amsterdam, The Netherlands, 2020. [Google Scholar]
- Palmieri, M.; Zucca, G.; Morettini, G.; Landi, L.; Cianetti, F. Vibration Fatigue of FDM 3D Printed Structures: The Use of Frequency Domain Approach. Materials 2022, 15, 854. [Google Scholar] [CrossRef] [PubMed]
- Košir, T.; Slavič, J. Manufacturing of single-process 3D-printed piezoelectric sensors with electromagnetic protection using thermoplastic material extrusion. Addit. Manuf. 2023, 73, 103699. [Google Scholar] [CrossRef]
- Humbert, C.; Barriol, M.; Varsavas, S.D.; Nicolay, P.; Brandstötter, M. A Simple Method to Manufacture a Force Sensor Array Based on a Single-Material 3D-Printed Piezoresistive Foam and Metal Coating. Sensors 2024, 24, 3854. [Google Scholar] [CrossRef] [PubMed]
- Palmić, T.B.; Slavič, J. Single-process 3D-printed stacked dielectric actuator. Int. J. Mech. Sci. 2022, 230, 107555. [Google Scholar] [CrossRef]
- Česnik, M.; Slavič, J.; Boltežar, M. Accelerated vibration-fatigue characterization for 3D-printed structures: Application to fused-filament-fabricated PLA samples. Int. J. Fatigue 2023, 171, 107574. [Google Scholar] [CrossRef]
- Ewins, D.J. Modal Testing: Theory, Practice and Application, 2nd ed.; Research Studies Press Ltd.: Baldock, UK, 2000. [Google Scholar]
- Maia, N.M.M.; Silva, J.M.M. Theoretical and Experimental Modal Analysis; Research Studies Press Ltd.: Baldock, UK, 1997. [Google Scholar]
- Bendat, J.S.; Piersol, A.G. Random Data: Analysis and Measurement Procedures, 4th ed.; Wiley: Hoboken, NJ, USA, 2010. [Google Scholar]
- Bernasconi, A.; Kulin, R.M. Effect of frequency upon fatigue strength of a short glass fiber reinforced polyamide 6: A superposition method based on cyclic creep parameters. Polym. Compos. 2009, 30, 154–161. [Google Scholar] [CrossRef]
- Osti de Moraes, D.V.; Magnabosco, R.; Bolognesi Donato, G.H.; Prado Bettini, S.H.; Antunes, M.C. Influence of loading frequency on the fatigue behaviour of coir fibre reinforced PP composite. Polym. Test. 2015, 41, 184–190. [Google Scholar] [CrossRef]
- Naga, S.A.R.; El-Sayed, T.A. Fatigue Failure in Polymeric Materials: Insights from Experimental Testing. J. Fail. Anal. Prev. 2024, 24, 922–935. [Google Scholar] [CrossRef]
- Newland, D.E. An Introduction to Random Vibrations, Spectral and Wavelet Analysis, 3rd ed.; Longman: Singapore, 1997. [Google Scholar]
- Miles, J.W. On Structural Fatigue under Random Loading. J. Aeronaut. Sci. 1954, 21, 753–762. [Google Scholar] [CrossRef]
- Verboven, P. Frequency-Domain System Identification for Modal Analysis. PhD Thesis, Vrije Universiteit Brussel, Brussel, Belgium, 2002. [Google Scholar]
- Zaletelj, K.; Bregar, T.; Gorjup, D.; Slavič, J. pyEMA. 2020. Available online: https://github.com/ladisk/pyEMA (accessed on 1 June 2024).
- Capponi, L.; Česnik, M.; Slavič, J.; Cianetti, F.; Boltežar, M. Non-stationarity index in vibration fatigue: Theoretical and experimental research. Int. J. Fatigue 2017, 104, 221–230. [Google Scholar] [CrossRef]
- Tang, S.; Wang, X.; Huang, B.; Yang, D.; Li, L.; He, C.; Xu, B.; Liu, Y.; Wang, C.; Wang, Q. A Novel Ultrasonic Fatigue Test and Application in Bending Fatigue of TC4 Titanium Alloy. Materials 2022, 16, 5. [Google Scholar] [CrossRef] [PubMed]
- Dirlik, T. Application of Computers in Fatigue Analysis. Ph.D. Thesis, University of Warwick, Warwick, UK, 1985. [Google Scholar]














| Material Properties | Slicing Parameters | ||
|---|---|---|---|
| Material | PLA | Layer height | 0.2 mm |
| Colorant | Blue | Infill | 100% rectilinear |
| Supplier | Plastika Trček, Ljubljana, Slovenia | Raster angle | 45° |
| Density | 1333 kg/m3 | ||
| Filament diameter | 1.75 mm | ||
| Printing parameters | |||
| Nozzle diameter | 0.4 mm | ||
| Nozzle temperature | 220 °C | ||
| Printing speed, external perimeter | 25 mm/s | ||
| Printing speed, internal perimeter | 45 mm/s | ||
| Printing speed, infill | 80 mm/s | ||
| Weight Length [mm] | |||||||||
|---|---|---|---|---|---|---|---|---|---|
| 9 | 12 | 15 | 18 | 21 | 24 | 27 | 30 | ||
| level [g2/Hz] | 0.10 | 4 | 4 | 4 | 4 | 2 | 2 | 1 | 2 |
| 0.15 | 0 | 0 | 0 | 0 | 1 | 2 | 2 | 2 | |
| Frequency Range [Hz] | b [/] | [MPa] |
|---|---|---|
| 250–350 | −0.363 | 571.3 |
| 300–400 | −0.167 | 56.93 |
| 450–700 | −0.091 | 22.38 |
| 250–700 | −0.148 | 48.60 |
Disclaimer/Publisher’s Note: The statements, opinions and data contained in all publications are solely those of the individual author(s) and contributor(s) and not of MDPI and/or the editor(s). MDPI and/or the editor(s) disclaim responsibility for any injury to people or property resulting from any ideas, methods, instructions or products referred to in the content. |
© 2024 by the authors. Licensee MDPI, Basel, Switzerland. This article is an open access article distributed under the terms and conditions of the Creative Commons Attribution (CC BY) license (https://creativecommons.org/licenses/by/4.0/).
Share and Cite
Česnik, M.; Slavič, J. Frequency-Dependent Fatigue Properties of Additively Manufactured PLA. Polymers 2024, 16, 2147. https://doi.org/10.3390/polym16152147
Česnik M, Slavič J. Frequency-Dependent Fatigue Properties of Additively Manufactured PLA. Polymers. 2024; 16(15):2147. https://doi.org/10.3390/polym16152147
Chicago/Turabian StyleČesnik, Martin, and Janko Slavič. 2024. "Frequency-Dependent Fatigue Properties of Additively Manufactured PLA" Polymers 16, no. 15: 2147. https://doi.org/10.3390/polym16152147
APA StyleČesnik, M., & Slavič, J. (2024). Frequency-Dependent Fatigue Properties of Additively Manufactured PLA. Polymers, 16(15), 2147. https://doi.org/10.3390/polym16152147

