Effect of Viscosity and Air Gap within the Spinneret on the Morphology and Mechanical Properties of Hollow-Fiber Polymer Membranes for Separation Performance
Abstract
1. Introduction
2. Materials and Methods
2.1. Membrane Materials and Chemicals
2.2. Dope Viscosity Measurement
2.3. Fabrication of PVC–PEG Hollow-Fiber Membrane
2.4. Morphological Analysis
2.5. Contact Angle Measurement
2.6. Dielectric Properties’ Measurements
2.7. Dynamic Mechanical Thermal Analysis Measurements
2.8. Membrane Flux Performance
3. Results and Discussions
3.1. Viscosity of Dope Solution
3.2. Morphology of PVC Fiber Membranes with Unemployed Center Tube and Controlled Air Gap 1.0 cm
3.2.1. Effect of Center-Tube Length on Morphology of PVC Fiber Membranes
3.2.2. Effect of Wind-Up Speed on Morphology of PVC Fiber Membranes
3.3. Contact Angle Measurement
3.4. Dielectric Results
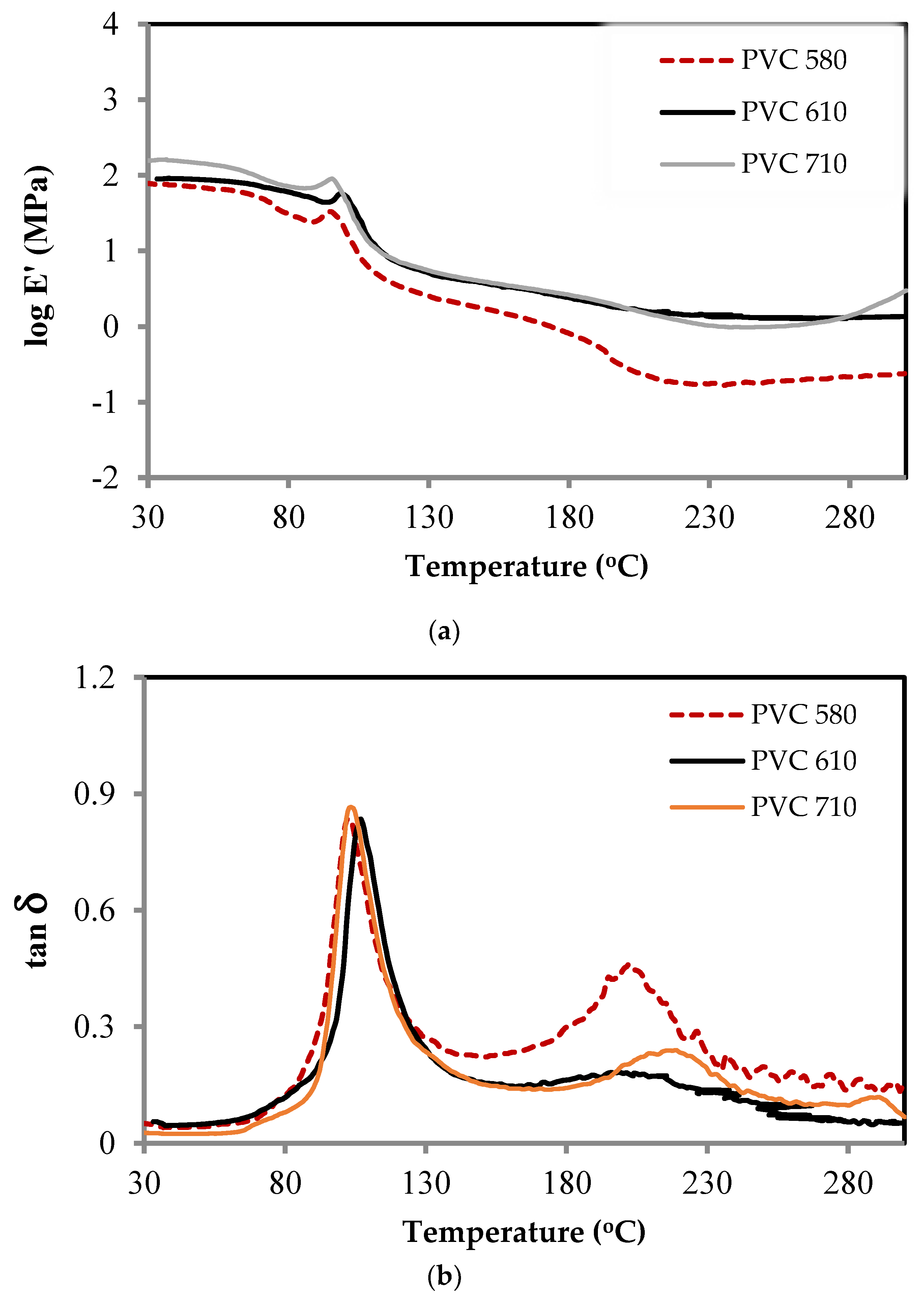
3.5. Dynamic Mechanical and Thermal Properties
3.6. Membrane Flux Performance
4. Conclusions
Author Contributions
Funding
Institutional Review Board Statement
Data Availability Statement
Acknowledgments
Conflicts of Interest
References
- Chung, T.S.; Teoh, S.K.; Hu, X. Formation of ultrathin high-performance polyethersulfone hollow-fiber membranes. J. Membr. Sci. 1997, 133, 161–175. [Google Scholar] [CrossRef]
- Peng, N.; Chung, T.S. The effects of spinneret dimension and hollow fiber dimension on gas separation performance of ultra-thin defect-free Torlon® hollow fiber membranes. J. Membr. Sci. 2008, 310, 455–465. [Google Scholar] [CrossRef]
- McKelvey, S.A.; Clausi, D.T.; Koros, W.J. A guide to establishing hollow fiber macroscopic properties for membrane applications. J. Membr. Sci. 1997, 124, 223–232. [Google Scholar] [CrossRef]
- Mulder, M. Basic Principles of Membrane Technology; Kluwer Academic Publishers: Amsterdam, The Netherlands, 1996. [Google Scholar]
- Koros, W.; Fleming, G. Membrane-based gas separation. J. Membr. Sci. 1993, 83, 1–80. [Google Scholar] [CrossRef]
- Pesek, S.; Koros, W. Aqueous quenched asymmetric polysulfone hollow fibers prepared by dry/wet phase separation. J. Membr. Sci. 1994, 88, 1–19. [Google Scholar] [CrossRef]
- Datta, R.; Dechapanichkul, S.; Kim, J.S.; Fang, L.Y.; Uehara, H. A generalized model for the transport of gases in porous, non-porous, and leaky membranes. I. Application to single gases. J. Membr. Sci. 1992, 75, 245–263. [Google Scholar] [CrossRef]
- Ismail, A.F.; Yean, L.P. Review on the development of defect-free and ultrathin-skinned asymmetric membranes for gas separation through manipulation of phase inversion and rheological factors. J. Appl. Polym. Sci. 2003, 88, 442–451. [Google Scholar] [CrossRef]
- Franken, T. Membrane Selection—More than material properties alone. Membr. Technol. 1998, 97, 7–10. [Google Scholar]
- Baker, R.W. Membrane Technology and Applications; John Wiley & Sons: Hoboken, NJ, USA, 2012. [Google Scholar]
- Behboudi, A.; Jafarzadeh, Y.; Yegani, R. Polyvinyl chloride/polycarbonate blend ultrafiltration membranes for water treatment. J. Membr. Sci. 2017, 534, 18–24. [Google Scholar] [CrossRef]
- Bierbrauer, K.; López-González, M.; Riande, E.; Mijangos, C. Gas transport in fluorothiophenyl modified PVC membranes. J. Membr. Sci. 2010, 362, 164–171. [Google Scholar] [CrossRef]
- Delavar, M.; Bakeri, G.; Hosseini, M.; Nabian, N. Fabrication and characterization of polyvinyl chloride mixed matrix membranes containing high aspect ratio anatase titania and hydrous manganese oxide nanoparticle for efficient removal of heavy metal ions: Competitive removal study. Can. J. Chem. Eng. 2020, 98, 1558–1579. [Google Scholar] [CrossRef]
- Tiemblo, P.; Guzmán, J.; Riande, E.; Mijangos, C.; Reinecke, H. The Gas Transport Properties of PVC Functionalized with Mercapto Pyridine Groups. Macromolecules 2002, 35, 420–424. [Google Scholar] [CrossRef]
- Lamlong, C.; Taweepreda, W. Coating of Porous PVC-PEG Membrane with Crosslinkable XSBR for O2/N2 and CO2/N2 Separation. Polymer 2016, 96, 205–212. [Google Scholar] [CrossRef]
- Lamlong, C. Development of Membrane Technology for Biogas Separation. Ph.D. Thesis, Prince of Songkla University, Songkhla, Thailand, 2015. [Google Scholar]
- Xu, J.; Xu, Z.-L. Poly(vinyl chloride) (PVC) hollow fiber ultrafiltration membranes prepared from PVC/additives/solvent. J. Membr. Sci. 2002, 208, 203–212. [Google Scholar] [CrossRef]
- Baheri, B.; Mohammadi, T. Sorption, diffusion and pervaporation study of thiophene/n -heptane mixture through self-support PU/PEG blend membrane. Sep. Purif. Technol. 2017, 185, 112–119. [Google Scholar] [CrossRef]
- Sundararajan, S.; Samui, A.B.; Kulkarni, P.S. Shape-stabilized poly(ethylene glycol) (PEG)-cellulose acetate blend preparation with superior PEG loading via microwave-assisted blending. Sol. Energy 2017, 144, 32–39. [Google Scholar] [CrossRef]
- Sadeghi, M.; Chenar, M.P.; Rahimian, M.; Moradi, S.; Dehaghani, A.H.S. Gas permeation properties of polyvinylchloride/polyethyleneglycol blend membranes. J. Appl. Polym. Sci. 2008, 110, 1093–1098. [Google Scholar] [CrossRef]
- Lin, H.; Freeman, B. Gas solubility, diffusivity and permeability in poly(ethylene oxide). J. Membr. Sci. 2004, 239, 105–117. [Google Scholar] [CrossRef]
- Castro, R.E.N.; Toledo, E.A.; Rubira, A.F.; Muniz, E.C. Crystallisation and miscibility of poly(ethylene oxide)/poly(vinyl chloride) blends. J. Mater. Sci. 2003, 38, 699–703. [Google Scholar] [CrossRef]
- Neiro, S.M.d.S.; Dragunski, D.C.; Rubira, A.F.; Muniz, E.C. Miscibility of PVC/PEO blends by viscosimetric, microscopic and thermal analyses. Eur. Polym. J. 2000, 36, 583–589. [Google Scholar] [CrossRef]
- Kim, J.-H.; Lee, K.-H. Effect of PEG additive on membrane formation by phase inversion. J. Membr. Sci. 1998, 138, 153–163. [Google Scholar] [CrossRef]
- Chakrabarty, B.; Ghoshal, A.; Purkait, M. Effect of molecular weight of PEG on membrane morphology and transport properties. J. Membr. Sci. 2008, 309, 209–221. [Google Scholar] [CrossRef]
- Feng, C.; Khulbe, K.; Matsuura, T.; Ismail, A. Recent progresses in polymeric hollow fiber membrane preparation, characterization and applications. Sep. Purif. Technol. 2013, 111, 43–71. [Google Scholar] [CrossRef]
- Guillen, G.R.; Pan, Y.; Li, M.; Hoek, E.M.V. Preparation and characterization of membranes formed by nonsolvent induced phase separation: A review. Ind. Eng. Chem. Res. 2011, 50, 3798–3817. [Google Scholar] [CrossRef]
- Jones, C.; Gordeyev, S.; Shilton, S. Poly(vinyl chloride) (PVC) hollow fibre membranes for gas separation. Polymer 2011, 52, 901–903. [Google Scholar] [CrossRef]
- Liu, F.; Hashim, N.A.; Liu, Y.; Moghareh Abed, M.R.; Li, K. Progress in the production and modification of PVDF membranes. J. Membr. Sci. 2011, 375, 1–27. [Google Scholar] [CrossRef]
- Mansourizadeh, A.; Ismail, A. Preparation and characterization of porous PVDF hollow fiber membranes for CO2 absorption: Effect of different non-solvent additives in the polymer dope. Int. J. Greenh. Gas Control. 2011, 5, 640–648. [Google Scholar] [CrossRef]
- Mansourizadeh, A.; Ismail, A.; Matsuura, T. Effect of operating conditions on the physical and chemical CO2 absorption through the PVDF hollow fiber membrane contactor. J. Membr. Sci. 2010, 353, 192–200. [Google Scholar] [CrossRef]
- Mansourizadeh, A.; Ismail, A.F. A developed asymmetric PVDF hollow fiber membrane structure for CO2 absorption. Int. J. Greenh. Gas Control. 2011, 5, 374–380. [Google Scholar] [CrossRef]
- Yao, J.; Wang, K.; Ren, M.; Liu, J.Z.; Wang, H. Phase inversion spinning of ultrafine hollow fiber membranes through a single orifice spinneret. J. Membr. Sci. 2012, 421–422, 8–14. [Google Scholar] [CrossRef]
- Cao, C.; Chung, T.-S.; Chen, S.B.; Dong, Z. The study of elongation and shear rates in spinning process and its effect on gas separation performance of Poly(ether sulfone) (PES) hollow fiber membranes. Chem. Eng. Sci. 2004, 59, 1053–1062. [Google Scholar] [CrossRef]
- Yu, D.-G.; Chou, W.-L.; Yang, M.-C. Effect of draw ratio and coagulant composition on polyacrylonitrile hollow fiber membranes. Sep. Purif. Technol. 2006, 52, 380–387. [Google Scholar] [CrossRef]
- Kalakkunnath, S.; Kalika, D.S.; Lin, H.; Raharjo, R.D.; Freeman, B.D. Molecular relaxation in cross-linked poly(ethylene glycol) and poly(propylene glycol) diacrylate networks by dielectric spectroscopy. Polymer 2007, 48, 579–589. [Google Scholar] [CrossRef]
- Mikhailenko, S.D.; Celso, F.; Rodrigues, M.A.S.; Kaliaguine, S. Dielectric Measurements of Polymer Electrolyte Based Composites as a Technique for Evaluation of Membrane Homogeneity. Electrochim. Acta 2014, 136, 457–465. [Google Scholar] [CrossRef]
- Kulshreshtha, A.; Singh, B.; Sharma, Y. Viscometric determination of compatibility in PVC/ABS polyblends—I. Viscosity-composition plots. Eur. Polym. J. 1988, 24, 29–31. [Google Scholar] [CrossRef]
- Ohya, H.; Shiki, S.; Kawakami, H. Fabrication study of polysulfone hollow-fiber microfiltration membranes: Optimal dope viscosity for nucleation and growth. J. Membr. Sci. 2009, 326, 293–302. [Google Scholar] [CrossRef]
- Flory, P.J. Principles of Polymer Chemistry; Cornell University Press: Ithaca, NY, USA, 1953. [Google Scholar]
- Park, H.-H.; Lim, C.-W.; Jo, H.-D.; Choi, W.-K.; Lee, H.-K. Absorption of CO2 using PVDF hollow fiber membranes with PEG as an additive. Korean J. Chem. Eng. 2007, 24, 693–697. [Google Scholar] [CrossRef]
- Wongchitphimon, S.; Wang, R.; Jiraratananon, R.; Shi, L.; Loh, C.H. Effect of polyethylene glycol (PEG) as an additive on the fabrication of polyvinylidene fluoride-co-hexafluropropylene (PVDF-HFP) asymmetric microporous hollow fiber membranes. J. Membr. Sci. 2011, 369, 329–338. [Google Scholar] [CrossRef]
- Khayet, M. The effects of air gap length on the internal and external morphology of hollow fiber membranes. Chem. Eng. Sci. 2003, 58, 3091–3104. [Google Scholar] [CrossRef]
- Ismail, A.; Mustaffar, M.; Illias, R.; Abdullah, M. Effect of dope extrusion rate on morphology and performance of hollow fibers membrane for ultrafiltration. Sep. Purif. Technol. 2006, 49, 10–19. [Google Scholar] [CrossRef]
- Wang, K.Y.; Li, D.F.; Chung, T.-S.; Chen, S.B. The observation of elongation dependent macrovoid evolution in single- and dual-layer asymmetric hollow fiber membranes. Chem. Eng. Sci. 2004, 59, 4657–4660. [Google Scholar] [CrossRef]
- Xiao, Y.; Wang, K.Y.; Chung, T.-S.; Tan, J. Evolution of nano-particle distribution during the fabrication of mixed matrix TiO2-polyimide hollow fiber membranes. Chem. Eng. Sci. 2006, 61, 6228–6233. [Google Scholar] [CrossRef]
- Cheng, J.-M.; Wang, D.-M.; Lin, F.-C.; Lai, J.-Y. Formation and gas flux of asymmetric PMMA membranes. J. Membr. Sci. 1996, 109, 93–107. [Google Scholar] [CrossRef]
- Sperling, L.H. Ntroduction to Physical Polymer Science; John Wiley & Sons: Hoboken, NJ, USA, 2006. [Google Scholar]
- Pinnau, I.; Koros, W.J. A qualitative skin layer formation mechanism for membranes made by dry/wet phase inversion. J. Polym. Sci. Part B Polym. Phys. 1993, 31, 419–427. [Google Scholar] [CrossRef]
- Calle, M.; García, C.; Lozano, A.E.; de la Campa, J.G.; de Abajo, J.; Álvarez, C. Local chain mobility dependence on molecular structure in polyimides with bulky side groups: Correlation with gas separation properties. J. Membr. Sci. 2013, 434, 121–129. [Google Scholar] [CrossRef]
- Vrentas, J.S.; Jarzebski, C.M.; Duda, J.L. A Deborah number for diffusion in polymer-solvent systems. AIChE J. 1975, 21, 894–901. [Google Scholar] [CrossRef]
- Wypych, G. Handbook of Plasticizers; ChemTec Publishing: Scarborough, ON, Canada, 2004. [Google Scholar]
- Beltrán, M.; García, J.; Marcilla, A.; Hidalgo, M.; Mijangos, C. Thermal decomposition behaviour of crosslinked plasticized PVC. Polym. Degrad. Stab. 1999, 65, 65–73. [Google Scholar] [CrossRef]
- Sperelakis, N.; Tomé, W. Cell Physiology Source Book, 4th ed.; Academic Press: San Diego, CA, USA, 2011. [Google Scholar] [CrossRef]
- Wanichapichart, P.; Kaewnoparat, S.; Phud-hai, W.; Buaking, K. Characteristic of Filtration Membranes Produced by Acetobacter xylinum. Songklanakarin J. Sci. Technol. 2003, 24, 855–862. [Google Scholar]
- Zhu, F.; Tajkhorshid, E.; Schulten, K. Pressure-Induced Water Transport in Membrane Channels Studied by Molecular Dynamics. Biophys. J. 2002, 83, 154–160. [Google Scholar] [CrossRef]
- Asenjo, J.A. Separation Processes in Biotechnology; Bioprocess Technology Serie; Asenjo, J.A., Ed.; Marcel Dekker: New York, NY, USA, 1990. [Google Scholar]










| Parameters | Amount |
|---|---|
| Dope extrusion rate (mL/min) | 2, 5, 10 |
| Feed pressure (bar) | 1 |
| Bore fluid composition | Deionized water |
| Bore fluid flow rate (mL/min) | 0.5 |
| Center tube o.d. (cm) | 0.1 |
| Orifice o.d. (cm) | 0.3 |
| External coagulant | Deionized water |
| Air gap distance (cm) | 0.5, 1.0, 1.5 |
| Coagulant temperature (°C) | 25 |
| Room relative humidity (%) | 60–70 |
| Wind-up drum speed (rpm) | 30, 40, 50 |
| Sample |
Extrusion Speed
(m/min) |
Wind-up Speed
(rpm) | Draw Ratio (λ) | O.D. (µm) | I.D. (µm) | Thickness (µm) |
|---|---|---|---|---|---|---|
| A: P-G4-5 | 15 | 30 | 2.0 | 1200 | 800 | 350 |
| B: P-G4-5 | 15 | 40 | 2.6 | 1100 | 850 | 220 |
| C: P-G4-5 | 15 | 50 | 3.3 | 750 | 500 | 170 |
| Membrane | (θ) |
|---|---|
| PVC 580−Pure | 88.28 ± 22 |
| PVC 580−G400 (5%) | 87.62 ± 32 |
| PVC 580−G400 (10%) | 88.34 ± 21 |
| PVC 580−G400 (15%) | 80.76 ± 26 |
| PVC 610−Pure | 89.36 ± 08 |
| PVC 710−Pure | 91.22 ± 63 |
| Sample | Lp × 10−13 (m3N−1S−1) |
|---|---|
| PVC 580 Pure | 0.28 |
| PVC 580−PEG 5% | 3.32 |
| PVC 580−PEG 10% | 10.25 |
| PVC 580−PEG 15% | 12.47 |
Disclaimer/Publisher’s Note: The statements, opinions and data contained in all publications are solely those of the individual author(s) and contributor(s) and not of MDPI and/or the editor(s). MDPI and/or the editor(s) disclaim responsibility for any injury to people or property resulting from any ideas, methods, instructions or products referred to in the content. |
© 2024 by the authors. Licensee MDPI, Basel, Switzerland. This article is an open access article distributed under the terms and conditions of the Creative Commons Attribution (CC BY) license (https://creativecommons.org/licenses/by/4.0/).
Share and Cite
Seansukato, S.; Ramachandran, S.K.; Lamlong, S.; Taweepreda, W.; Arthanareeswaran, G. Effect of Viscosity and Air Gap within the Spinneret on the Morphology and Mechanical Properties of Hollow-Fiber Polymer Membranes for Separation Performance. Polymers 2024, 16, 2090. https://doi.org/10.3390/polym16142090
Seansukato S, Ramachandran SK, Lamlong S, Taweepreda W, Arthanareeswaran G. Effect of Viscosity and Air Gap within the Spinneret on the Morphology and Mechanical Properties of Hollow-Fiber Polymer Membranes for Separation Performance. Polymers. 2024; 16(14):2090. https://doi.org/10.3390/polym16142090
Chicago/Turabian StyleSeansukato, Sirisak, Sathish Kumar Ramachandran, Sivamesh Lamlong, Wirach Taweepreda, and Gangasalam Arthanareeswaran. 2024. "Effect of Viscosity and Air Gap within the Spinneret on the Morphology and Mechanical Properties of Hollow-Fiber Polymer Membranes for Separation Performance" Polymers 16, no. 14: 2090. https://doi.org/10.3390/polym16142090
APA StyleSeansukato, S., Ramachandran, S. K., Lamlong, S., Taweepreda, W., & Arthanareeswaran, G. (2024). Effect of Viscosity and Air Gap within the Spinneret on the Morphology and Mechanical Properties of Hollow-Fiber Polymer Membranes for Separation Performance. Polymers, 16(14), 2090. https://doi.org/10.3390/polym16142090

