Thermal Decomposition Mechanism of P(DAC-AM) with Serial Cationicity and Intrinsic Viscosity
Abstract
1. Introduction
2. Materials and Methods
2.1. Raw Material
2.2. Measurement Method of Thermal Decomposition Thermodynamic Parameters
2.3. Measurement Method of Thermal Decomposition Kinetic Parameters
2.3.1. Apparent Activation Energy
2.3.2. Reaction Order and Pre-Exponential Factor
2.4. Research Method of Thermal Decomposition Mechanism
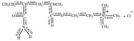
2.4.1. Quantum Chemistry Calculation for Chain Unit Bond Orders
2.4.2. Intermediate Verification Using FTIR and TG-FTIR/MS
2.4.3. Mechanism Investigation Design
3. Results and Discussion
3.1. Thermodynamic Parameters and Their Relationship with Molecular Structure
- (1)
- Effect of the cationicity
- (2)
- Effect of intrinsic viscosity
3.2. Thermal Decomposition Kinetics
3.2.1. Relationship between Apparent Activation Energy (E) and Reactant Molecular Structures
- (1)
- E of P(DAC-AM) samples with serial cationicity and control samples PAM and PDAC
- (2)
- E of P(DAC-AM) samples with serial [η]
3.2.2. Reaction Order and Pre-Exponential Factor of the Thermal Decomposition Reaction
- (1)
- reaction order (n)
- (2)
- Pre-exponential factor (A)
3.3. Thermal Decomposition Mechanism
3.3.1. Hypothesis of Thermal Decomposition Mechanism Model
- (1)
- In Stage I, there was an independent decomposition mode of the suspension groups on the chains; the residues were left and the fragments were released after decomposition. The residues were as follows: (a) The amide groups dehydrated independently to form a nitrile group (based on reference [6,11]); (b) the ester groups linked to quaternary ammonium salt were broken to generate unknown products (speculation that needs to be confirmed); (c) only quaternary ammonium salts themselves decomposed or were left to possibly generate carboxylic ester with terminal ethylenic bonds (speculation and based on references [14]), etc. The exfoliated fragments in Stage I further decomposed completely at the same time.
- (2)
- In Stage I, there was an interactive decomposition mode of the suspension groups on chains where the residues were left and the fragments were released after decomposition. The residues were as follows: (a) The reaction between amide groups formed the cyclic imides (based on reference [6,11] and kinetic parameters); (b) the reaction between an ester group linked to quaternary ammonium salt and an amide group formed an unknown product (based on thermodynamic and kinetic parameters); (c) the reaction between ester groups linked to quaternary ammonium salts themselves formed unknown products (based on thermodynamic and kinetic parameters). Further, the exfoliated fragments in Stage I decomposed completely at the same time.
- (3)
- In Stage II, there was a residue decomposition mode: A variety of structural residues formed in Stage I that were the solid intermediates that acted as the reactants in Stage II and continued to decompose.
3.3.2. Theoretical Simulation and Experimental Verification
Bond Order Calculation using Quantum Chemistry
Weight Loss Comparison and Analysis
- (1)
- When the cationicity was around 50%, the theoretical fall in weight loss of the -OCH2CH2N+(CH3)3Cl− fragment was very close to the actual one. It was estimated that the thermal decomposition in Stage I was mainly due to when the amides attacked ester groups to form cyclic imide, and the -OCH2CH2N+(CH3)3Cl− fell off. Furthermore, it was inferred that the interaction between non-ionic and cationic units happened dominantly; in other words, the interactive degradation form was preferred. Therefore, it could be inferred that this mechanism should be one of most common degradation reaction forms in Stage I of the thermal decomposition process of P(DAC-AM) with a cationicity of 10~90%, and its proportion would of course depend on the unit proportion of an amide with an ester group in the consecutive position in whole chain units, which firstly increased then decreased with the increase in cationicity.
- (2)
- When the cationicity was less than 50%, the molecular structure of the samples was dominated by non-ionic units. According to the above (1), the interaction between non-ions and cations was preferred in the degradation process so that the reaction process of the remaining non-ionic units was similar to that of PAM. That is, it could be speculated that the thermal decomposition in Stage I was when the NH3, H2O and -OCH2CH2N+(CH3)3Cl− fell off, i.e., when the independent reaction of amide, the reaction between the amide groups and the new reaction of amide groups attacking their neighbor ester groups to generate cyclic imide mainly occurred.
- (3)
- When the cationicity was greater than 50%, the molecular structure of the samples started to be gradually dominated by cationic units. According to above (1), the interaction between non-ions and cations was preferred in the degradation process so that the reaction process of the remaining cationic units might be similar to that of PDAC. However, due to the great difference between the theoretical and actual weight loss once supposed in this reaction form, it was speculated that with the increase in cationic units, the new interaction between cation units might exist. That was, except for shedding the fragments -OCH2CH2N+(CH3)3Cl−, the fragments -OCH2CH2N+(CH3)3Cl− with -CH2CH2N+(CH3)3Cl− might fall off at the same time. Furthermore, it was speculated that the thermal decomposition in Stage I might be the interaction both between amide and ester groups to generate cyclic imide and between ester groups to generate anhydride [9]. Especially, for the control sample PDAC with a cationicity of 100%, from the weight loss of fragments and the fact of no longer existing due to the deficiency of the corresponding reaction caused by amide groups, it was speculated that except for shedding the fragment -N+(CH3)3Cl−, there was still the -OCH2CH2N+(CH3)3Cl− with -CH2CH2N+(CH3)3Cl− that fell off at the same time. Thus, it was speculated that the decomposition process comprised quaternary ammonium salt shedding accompanied by a small amount of interaction between ester groups, leaving corresponding vinyl acylate and anhydride attached on the main chain as residue intermediates.
FTIR/MS Tracking Analysis of Decomposed Fragments
Characterization and Analysis of Solid Residues
3.3.3. Description of Thermal Decomposition Mechanism
Mechanism Description
- (1)
- When the cationicity was 0%, the degradation in the suspended chain of non-ionic units mainly happened, where both the amide groups were independently dehydrated to form the nitrile group and the neighbor amide groups through deamination were closed loop to form cyclic imide residues. Then, the nitrile and cyclic imide residues were further degraded along with the main chain.
- (2)
- When the cationicity was about 50%, the suspended chain was mainly degraded via the interaction between non-ionic and cationic units to form cyclic imide, and HOCH2CH2N+(CH3)3Cl− fell off. Then, the cyclic imide was further degraded along with the main chain.
- (3)
- When the cationicity was 100%, the suspended chain was mainly degraded by both the reaction between neighbor cationic units themselves and the independent decomposition of the cationic units. The former discharged -OCH2CH2N+(CH3)3Cl− and -CH2CH2N+(CH3)3Cl− fragments to generate cyclic anhydride synchronously, while the latter only removed quaternary ammonium salts, leaving vinyl acrylate residues. Then, the cyclic anhydride and vinyl acrylate were further degraded along with the main chain.
Mechanism Explanation of Thermal Decomposition Thermodynamics Parameters
- (1)
- Ts and its change
- (2)
- ΔH, W and their change
Mechanism Explanation of Thermal Decomposition Kinetic Parameters
- (1)
- Stage I of thermal decomposition
- (2)
- Stage II of thermal decomposition
4. Conclusions
- (1)
- The thermal decomposition processes of the P(DAC-AM), PAM and PDAC samples could be divided into two stages. The ranges of Ts, Td, ΔH and W in Stage I were obtained and are as follows: 228.48~274.35 °C, 262.99~320.13 °C, 130.91~507.42 J/g and 17.48~66.11%, the ranges of Ts, Td, ΔH and W in Stage II were obtained and are as follows: 362.42~385.61 °C, 431.36~463.20 °C, 17.19~288.34 J/g and 28.47~66.02%. It was found that the decomposition process of copolymers was not a simple superposition of that of their homopolymers and there were interactions between the suspension groups on copolymer main chains. The decomposition processes of P(DAC-AM) were different with the different cationicity. However, the effect of [η] on the thermal decomposition processes was small.
- (2)
- The E values of the thermal decomposition of the P(DAC-AM), PAM and PDAC samples ranged from 173.56 to 274.08 kJ/mol. It was found that the E values or their changes could be divided into two ranges with the change in α, which corresponded to two stages of thermal decomposition thermodynamics. For samples with different cationicity, the ranges of these two stages were different, indicating that the decomposition processes varied with the cationicity. The E value of the same sample obviously increased or decreased in the respective α range, which meant that the decomposition processes changed continuously with the α. However, the E values of P(DAC-AM) with a cationicity of 50% were very close to each other in the two ranges of α, respectively, which indicated that the decomposition processes were basically the same for both ranges. At the same time, the decomposition processes were slightly different with a different [η], when with the same cationicity.
- (3)
- The n of thermal decomposition of the P(DAC-AM), PAM and PDAC samples in Stage I was calculated to be between the 1 and 2 order reaction, and the A value of this stage had the higher order of magnitude of 102~105 indicating that the thermal decomposition stage was mainly the fracture reaction of the sample molecules, but there were collisions between the molecules or functional groups and the collisions were the most intense in the sample with a cationicity of 50%. The n of Stage II was between 0.5 and 1 order reaction and the A value of this stage had the lower order of magnitude of 10−1~102, indicating that the thermal decomposition of the reactants (products in Stage I) in this stage was dominated by bond fracture and there were a chain reaction and transfer effect of degrading intermediate fragments, with this effect increasing with the increase in cationicity.
- (4)
- It was discovered that there were three novel mechanisms of thermal decomposition for all polymer samples, each with a different cationicity. In Stage I, the suspended amide groups attacked the neighboring ester groups to form the cyclic imide intermediates, accompanied by the dropping off of hydroxyalkyl quaternary ammonium salts and their further decomposition. The suspended ester groups attacked adjacent ester groups to generate cyclic anhydride intermediates, and the hydroxyalkyl quaternary ammonium salts and alkyl quaternary ammonium salts were detached and further decomposed. The suspended ester groups removed the quaternary ammonium salts to form vinyl acrylate intermediates. In Stage II, all the intermediates along with the backbone involved were further decomposed.
- (5)
- Based on the literature and our results, the new thermal decomposition processes of the P(DAC-AM), PAM and PDAC samples were proposed and rationalized. The mechanism description could systematically, comprehensively and reasonably explain the experimental parameters measured in this study and their variation rules. The above results could provide guidance on the application of P(DAC-AM) in electronic chemicals and nanomaterials at a high temperature.
Supplementary Materials
Author Contributions
Funding
Institutional Review Board Statement
Data Availability Statement
Conflicts of Interest
References
- Jaeger, W.; Bohrisch, J.; Laschewsky, A. Synthetic polymers with quaternary nitrogen atoms-Synthesis and structure of the most used type of cationic polyelectrolytes. Prog. Polym. Sci. 2010, 35, 511–577. [Google Scholar] [CrossRef]
- Kwok, C.Y.; Pang, Q.; Worku, A.; Gauthier, L.M.; Nazar, L.F. Impact of the Mechanical Properties of a Functionalized Cross-Linked Binder on the Longevity of Li–S Batteries. Appl. Mater. Interfaces 2019, 11, 22481–22491. [Google Scholar] [CrossRef] [PubMed]
- Sebio-Puñal, T.; Naya, S.; López-Beceiro, J.; Tarrío-Saavedra, J.; Artiaga, R. Thermogravimetric analysis of wood, holocellulose, and lignin from five wood species. J. Therm. Anal. Calorim. 2012, 109, 1163–1167. [Google Scholar] [CrossRef]
- Artiaga, R.; Cao, R.; Naya, S. Separation of overlapping processes from TGA data and verification by EGA. J. ASTM Int. 2005, 2, 12795. [Google Scholar] [CrossRef]
- Jia, X. Synthesis Process, Polymerization Mechanism, Relation-Ship between Structures and Properties of PDMDAAC; Nanjing University of Science: Nanjing, China, 2010. [Google Scholar]
- Leung, W.M.; Axelson, D.E. Thermal degradation of poly-acrylamide and poly(acrylamide-co-acrylate). J. Polym. Sci. Part A Polym. Chem. 1987, 25, 1825–1846. [Google Scholar] [CrossRef]
- Lin, S.Y.; Suzuki, Y.; Hatano, H. Expressing nth order char-oxygen reaction initial rate under elevated pressure. J. Chem. Eng. Jpn. 2000, 33, 753–760. [Google Scholar] [CrossRef]
- Caulfield, M.J.; Qiao, G.G.; Solomon, D.H. Some aspects of the properties and degradation of polyacrylamides. Chem. Rev. 2002, 102, 3067–3083. [Google Scholar] [CrossRef] [PubMed]
- Jiang, C.Y.; Xia, X.C.; Kang, S.J.; Dong, H.; Sakinejad, P.; Ma, Q.S.; Tang, Y.C. Neighboring group effect on the thermal degrada-tion of polyacrylamide and its derivatives. J. Polym. Eng. 2019, 39, 239–247. [Google Scholar] [CrossRef]
- Kronimus, A.; Schwarzbauer, J. Analysis of structurally modi-fied polyacrylamides by on-line thermochemolysis-GC-MS. J. Anal. Appl. Pyrolysis 2007, 80, 471–476. [Google Scholar] [CrossRef]
- Dyke, J.D.V.; Kasperski, K.L. Thermogravimetric Study of Polyacrylamide with Evolved Gas Analysis. J. Polym. Sci. Part A Polym. Chem. 1993, 31, 1807–1823. [Google Scholar] [CrossRef]
- Huang, P.C.; Reichet, K.H. Polymerization of diallydimethyl ammonium chloride in inverse emulsion. Die Angew. Makromol. Chem. 1989, 165, 1–7. [Google Scholar] [CrossRef]
- Sanju, F.; Lalit, V.; Sunil, S. Thermal degradation behavior of radiation synthesized polydiallyldimethyl ammonium chloride. Eur. Polym. J. 2007, 43, 2525–2531. [Google Scholar]
- Jia, X.; Zhan, X.; Xie, J.; Gao, B.Y.; Zhang, Y.J. Thermal stabil-ity of poly(diallyldimethylammonium chloride) with different molecular weight. J. Macromol. Sci. Part A Pure Appl. Chem. 2020, 57, 83–90. [Google Scholar] [CrossRef]
- Fu, X.Q.; Chen, T.T.; Xu, X.; Zhang, Y.J. Thermal Stability and Decomposition Kinetics of Poly(Methacryloyloxyethyl Trimethyl Ammonium Chloride-Co-Acrylamide). J. Macromol. Sci. Part B Phys. 2019, 58, 659–672. [Google Scholar] [CrossRef]
- Fu, X.Q.; Yang, Q.C.; Zhang, Y.J. Thermal decomposition behavior and mechanism study of cationic polyacrylamide. J. Therm. Anal. Calorim. 2021, 146, 1371–1381. [Google Scholar] [CrossRef]
- Sun, Y.J.; Ren, M.J.; Zhu, C.Y. UV-Initiated Graft Copolymer-ization of Cationic Chitosan-Based Flocculants for Treatment of Zinc Phosphate-Contaminated Wastewater. Ind. Eng.-Ing Chem. Res. 2016, 55, 10025–10035. [Google Scholar] [CrossRef]
- Huang, P.; Ye, L. In situ polymerization of cationic poly-acrylamide/montmorillonite composites and its flocculation characteristics. J. Thermoplast. Compos. Mater. 2016, 29, 58–73. [Google Scholar] [CrossRef]
- Chen, W.; Zheng, H.L.; Guan, Q.Q. Fabricating a Flocculant with Controllable Cationic Microblock Structure: Characteriza-tion and Sludge Conditioning Behavior Evaluation. Ind. Eng. Chem. Res. 2016, 55, 2892–2902. [Google Scholar] [CrossRef]
- Hang, C.T.; Jiang, P.P.; Han, Y.L. Preparation and Applica-tion of High Concentration Cationic Flocculant by Agueous Solu-tion Copolymerization. Fine Chem. 2006, 23, 692–695. [Google Scholar]
- Zan, L.N.; Nie, L.H.; Yang, P. Synthesis of Poly(DAC-AM). Chem. Propellants Polym. Mater. 2009, 7, 34–39. [Google Scholar]
- Katime, I.; Alvarez-Bautista, A.; Mendizabal, E. Synthesis of poly(acrylamide-co-[2-acryloyloxy ethyl]trimethyl ammonium chloride) star-shaped polymers by inverse microemulsion polymerization. Adv. Mater. Lett. 2013, 4, 115–120. [Google Scholar] [CrossRef]
- Zheng, H.L.; Zheng, X.K.; Feng, L. UV-initiated template polymerization and characterization of cationic polyacrylamide. Chin. J. Environ. Eng. 2016, 10, 1184–1189. [Google Scholar]
- Yang, Z.L.; Gao, B.Y.; Li, C.X.; Yue, Q.Y.; Liu, B. Synthesis and characterization of hydrophobically associating cationic pol-yacrylamide. Chem. Eng. J. 2010, 161, 27–33. [Google Scholar] [CrossRef]
- Zhang, Y.J.; Chen, T.T. The Synthesis of P(DAC-AM) with High Intrinsic Viscosity and Serial Cationicity. CN Patent 201910073959.0, 25 January 2019. [Google Scholar]
- Flynn, J.H. The isoconversional method for determination of energy of activation at constant heating rates. Corrections for the Doyle approximation. J. Therm. Anal. 1983, 27, 95–102. [Google Scholar] [CrossRef]
- Flynn, J.H.; Wall, L.A. A quick, direct method for the determination of activation energy from thermogravimetric data. J. Polym. Sci. Part B Polym. Lett. 1966, 4, 323–328. [Google Scholar] [CrossRef]
- Ozawa, T. A new method of analyzing thermogravimetric data. B. Chem. Soc. Jpn. 1965, 38, 1881–1886. [Google Scholar] [CrossRef]
- Ozawa, T. Kinetic analysis of derivative curves in thermal analysis. J. Therm. Anal. 1970, 2, 301–324. [Google Scholar] [CrossRef]
- Ozawa, T. Estimation of activation energy by isoconversion methods. Thermochim. Acta 1992, 203, 159–165. [Google Scholar] [CrossRef]
- Doyle, C.D. Estimating isothermal life from thermogravimetric data. J. Appl. Polym. Sci. 1962, 6, 639–642. [Google Scholar] [CrossRef]
- Martín-Lara, M.A.; Blázquez, G.; Zamora, M.C.; Calero, M. Kinetic modelling of torrefaction of olive tree pruning. Appl. Therm. Eng. 2017, 113, 1410–1418. [Google Scholar] [CrossRef]
- Zhu, F.L.; Xu, Y.F.; Feng, Q.Q. Thermal kinetics study and flammability evaluation of polyimide fiber material. J. Therm. Anal. Calorim. 2018, 131, 2579–2587. [Google Scholar] [CrossRef]
- Coats, A.W.; Redfern, J.P. Kinetic parameters from thermogravimetric data. Nature 1964, 201, 68–69. [Google Scholar] [CrossRef]
- Coats, A.W.; Redfern, J.P. Kinetic parameters from thermogravimetric data II. J. Polym. Sci. Part B Polym. Lett. 1965, 3, 917–920. [Google Scholar] [CrossRef]








| No. | Cationicity/% | Simplified Representation [η]/(dL·g−1) |
|---|---|---|
| 1 | 0 a | 10 |
| 2 | 10/30/50/70/90 | 10 |
| 3 | 50 | 5/10/15 |
| 4 | 100 b | 10 |
| Cationicity/% | Theoretical Weight Loss in Stage I (Only Fragment)/% | Actual Weight Loss in Stage I/% | |||||
|---|---|---|---|---|---|---|---|
| H2O | NH3 a | -OR b | -OR and -R c | -R d | -N+(CH3)3Cl− | ||
| 0 | 25.35 | 11.97 | - | - | - | - | 17.48 |
| 10 | 19.46 | 9.19 | 16.64 | 15.68 | 14.71 | 11.35 | 30.26 |
| 30 | 11.69 | 5.52 | 38.56 | 36.33 | 34.11 | 26.31 | 40.27 |
| 50 | 6.81 | 3.21 | 52.36 | 49.34 | 46.31 | 35.73 | 53.10 |
| 70 | 3.44 | 1.63 | 26.51 | 58.28 | 54.70 | 42.20 | 62.55 |
| 90 | 0.99 | 0.47 | 7.64 | 64.80 | 60.83 | 46.92 | 66.11 |
| 100 | - | - | - | 67.44 | 63.31 | 48.84 | 51.31 |
| Content | Proportion | |||||||
|---|---|---|---|---|---|---|---|---|
| Cationicity/% | 0 | 10 | 30 | 50 | 70 | 90 | 100 | |
| Exfoliated structures | NH3 | √(59%) | √(47%) | √(24%) | ||||
| H2O | √(41%) | √(33%) | √(16%) | |||||
| -OR a | √(20%) | √(60%) | √(100%) | √(60%) | √(20%) | |||
| -OR and -R b | √(40%) | √(80%) | √(13%) | |||||
| -N+(CH3)3Cl− | √(87%) | |||||||
| Weight loss in Stage I | Theoretical/% | 17.48 | 28.57 | 43.13 | 52.36 | 59.81 | 65.24 | 51.31 |
| Actual/% | 17.48 | 30.26 | 40.27 | 53.10 | 62.55 | 66.11 | 51.31 | |
| Decomposition Stage | m/e | Structures | v/cm−1 |
|---|---|---|---|
| Stage I | 17 | NH3 | 3300~4000,1158 |
| 18 | H2O | 3300~4000, 1626 | |
| 30 | CH3CH3 | 2979, 2952 | |
| 41, 42 | CH2=CH-CH3 | 1767~1560, 992 | |
| 44 | CH3CHO, CH3CH2CH3 | 2979, 2952, 2823, 2774, 1735 | |
| 47 | CH3CH2OH | 1033–1053 | |
| 50, 52 | CH3Cl | 709 | |
| 59 | N(CH3)3 | 1367 | |
| Stage II | 17 | NH3 | 3300~4000, 1158 |
| 18 | H2O | 3300~4000, 1626 | |
| 30 | CH3CH3 | 2979, 2952 | |
| 40 | CH≡C-CH3 | 2180~2105 | |
| 41 | CH3CN | 2383~2305, 2180~2105 | |
| 42 | CH2=CH-CH3 | 1767~1560, 992 | |
| 44 | CO2, CH3CHO, CH3CH2CH3 | 2979, 2952, 2823, 2774, 2383~2305,1735, 671 |
| Cationicity/% | 0 | 10 | 30 | 50 | 70 | 90 | 100 |
|---|---|---|---|---|---|---|---|
| E(I)/(kJ·mol−1) | 174.16 | 196.93 | 180.36 | 193.64 | 216.09 | 220.51 | 221.32 |
| E(II)/(kJ·mol−1) | 236.63 | 220.34 | 210.16 | 211.28 | 201.53 | 218.69 | 237.18 |
Disclaimer/Publisher’s Note: The statements, opinions and data contained in all publications are solely those of the individual author(s) and contributor(s) and not of MDPI and/or the editor(s). MDPI and/or the editor(s) disclaim responsibility for any injury to people or property resulting from any ideas, methods, instructions or products referred to in the content. |
© 2024 by the authors. Licensee MDPI, Basel, Switzerland. This article is an open access article distributed under the terms and conditions of the Creative Commons Attribution (CC BY) license (https://creativecommons.org/licenses/by/4.0/).
Share and Cite
Chen, T.; Wang, Y.; Zhang, Y. Thermal Decomposition Mechanism of P(DAC-AM) with Serial Cationicity and Intrinsic Viscosity. Polymers 2024, 16, 1522. https://doi.org/10.3390/polym16111522
Chen T, Wang Y, Zhang Y. Thermal Decomposition Mechanism of P(DAC-AM) with Serial Cationicity and Intrinsic Viscosity. Polymers. 2024; 16(11):1522. https://doi.org/10.3390/polym16111522
Chicago/Turabian StyleChen, Tingting, Yongji Wang, and Yuejun Zhang. 2024. "Thermal Decomposition Mechanism of P(DAC-AM) with Serial Cationicity and Intrinsic Viscosity" Polymers 16, no. 11: 1522. https://doi.org/10.3390/polym16111522
APA StyleChen, T., Wang, Y., & Zhang, Y. (2024). Thermal Decomposition Mechanism of P(DAC-AM) with Serial Cationicity and Intrinsic Viscosity. Polymers, 16(11), 1522. https://doi.org/10.3390/polym16111522
