Electrospun Membranes Based on Quaternized Polysulfones: Rheological Properties–Electrospinning Mechanisms Relationship
Abstract
1. Introduction
2. Materials and Methods
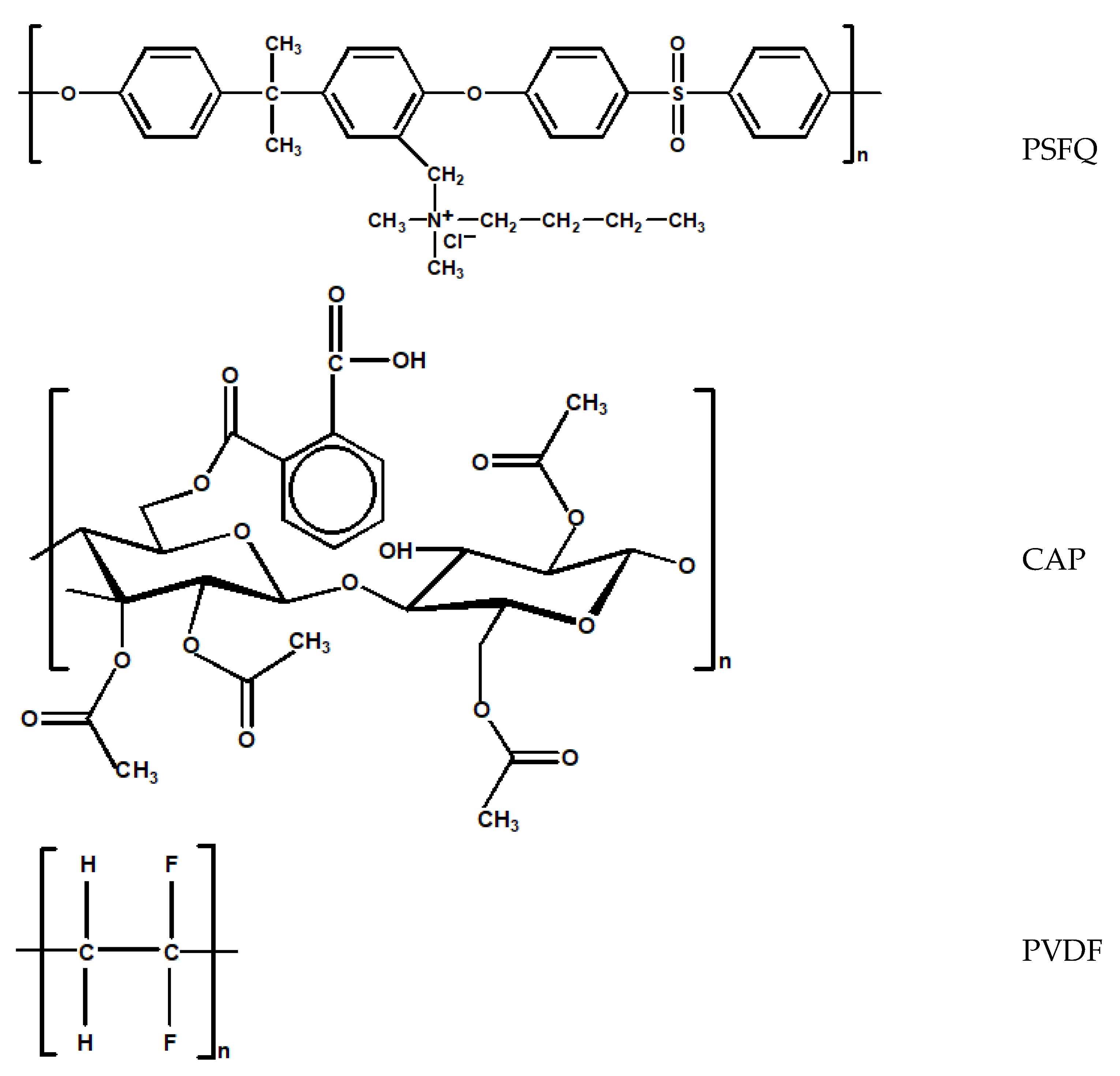
2.1. Materials
2.2. Preparation of the Electrospun Membranes
2.3. Measurements
2.3.1. Electrospinning Process
2.3.2. Rheological Analysis
2.3.3. Fourier Transform Infrared Spectroscopy (FTIR)
2.3.4. Scanning Electron Microscopy (SEM)
2.3.5. Contact Angle Measurements
2.3.6. Water Sorption Capacity
2.3.7. Antimicrobial Activity
3. Results and Discussion
3.1. Role of Rheological Parameters in the Electrospinning Process and Their Impact on Fibrous Membrane Characteristics
3.2. Control of Fibrous Membranes’ Surface Properties: Hydrophobic/Hydrophilic Balance and Water Sorption Characteristics
| Sample | Contact Angle (°) | ||
|---|---|---|---|
| W | CH2I2 | EG | |
| PSFQ/DMF | 116.25 | 17.30 | 25.41 |
| 79 * | |||
| CAP/DMF | 128.30 | 14.91 | 19.21 |
| 52 * | |||
| PVDF/NMP | 132.19 | 102.22 | 43.63 |
| 25PSFQ/25CAP/50PVDF in 50/50 DMF/NMP | 131.99 | 31.90 | 24.35 |
| 40PSFQ/10CAP/50PVDF in 50/50 DMF/NMP | 121.95 | 118.56 | 28.23 |
3.3. Evaluation of the Applicative Potential of the Fibrous Membranes: Antimicrobial Activity
4. Conclusions
Supplementary Materials
Author Contributions
Funding
Institutional Review Board Statement
Data Availability Statement
Acknowledgments
Conflicts of Interest
References
- Guo, Z.; Poot, A.A.; Grijpma, D.W. Advanced polymer-based composites and structures for biomedical applications. Eur. Polym. J. 2021, 149, 110388. [Google Scholar] [CrossRef]
- Behera, A. Biomaterials. In Advanced Materials: An Introduction to Modern Materials Science; Springer International Publishing: Cham, Switzerland, 2022; pp. 439–467. [Google Scholar]
- Langer, R.; Tirrell, D.A. Designing materials for biology and medicine. Nature 2004, 428, 487–492. [Google Scholar] [CrossRef]
- Peppas, N.A.; Langer, R. New challenges in biomaterials. Science 1994, 263, 1715–1720. [Google Scholar] [CrossRef]
- Bose, S.; Ke, D.; Sahasrabudhe, H.; Bandyopadhyay, A. Additive manufacturing of biomaterials. Prog. Mater. Sci. 2018, 93, 45–111. [Google Scholar] [CrossRef] [PubMed]
- Li, J.; De Rosa, S.; Wang, J.; Zhang, K. Biomaterials Development, Modification, and Potential Application for Interventional Cardiology. Biomed Res. Int. 2020, 2020, 4890483. [Google Scholar] [CrossRef]
- Market, A. Global Industry Analysis, Size, Share, Growth, Trends, and Forecast 2017–2025. 2018. Available online: https://www.transparencymarketresearch.com/logistics-market.html (accessed on 10 March 2024).
- Langer, R.; Vacanti, J.P. Tissue engineering. Science 1993, 260, 920–926. [Google Scholar] [CrossRef]
- Derakhshanfar, S.; Mbeleck, R.; Xu, K.; Zhang, X.; Zhong, W.; Xing, M. 3D bioprinting for biomedical devices and tissue engineering: A review of recent trends and advances. Bioact. Mater. 2018, 3, 144–156. [Google Scholar] [CrossRef] [PubMed]
- Zhao, P.; Gu, H.; Mi, H.; Rao, C.; Fu, J.; Turng, L.-s. Fabrication of scaffolds in tissue engineering: A review. Front. Mech. Eng. 2018, 13, 107–119. [Google Scholar] [CrossRef]
- Venmathi Maran, B.A.; Jeyachandran, S.; Kimura, M. A Review on the Electrospinning of Polymer Nanofibers and Its Biomedical Applications. J. Compos. Sci. 2024, 8, 32. [Google Scholar] [CrossRef]
- Xing, J.; Zhang, M.; Liu, X.; Wang, C.; Xu, N.; Xing, D. Multi-material electrospinning: From methods to biomedical applications. Mater. Today Bio 2023, 21, 100710. [Google Scholar] [CrossRef]
- Xue, J.; Wu, T.; Dai, Y.; Xia, Y. Electrospinning and Electrospun Nanofibers: Methods, Materials, and Applications. Chem. Rev. 2019, 119, 5298–5415. [Google Scholar] [CrossRef] [PubMed]
- Ahmadi Bonakdar, M.; Rodrigue, D. Electrospinning: Processes, Structures, and Materials. Macromol 2024, 4, 58–103. [Google Scholar] [CrossRef]
- Zulkifli, M.Z.A.; Nordin, D.; Shaari, N.; Kamarudin, S.K. Overview of Electrospinning for Tissue Engineering Applications. Polymers 2023, 15, 2418. [Google Scholar] [CrossRef]
- Cai, N.; Han, C.; Luo, X.; Chen, G.; Dai, Q.; Yu, F. Fabrication of Core/Shell Nanofibers with Desirable Mechanical and Antibacterial Properties by Pickering Emulsion Electrospinning. Macromol. Mater. Eng. 2017, 302, 1600364. [Google Scholar] [CrossRef]
- Wróblewska-Krepsztul, J.; Rydzkowski, T.; Michalska-Pożoga, I.; Thakur, V.K. Biopolymers for Biomedical and Pharmaceutical Applications: Recent Advances and Overview of Alginate Electrospinning. Nanomaterials 2019, 9, 404. [Google Scholar] [CrossRef] [PubMed]
- Kulichikhin, V.G.; Malkin, A.Y. The Role of Structure in Polymer Rheology: Review. Polymers 2022, 14, 1262. [Google Scholar] [CrossRef]
- Salaris, V.; Leonés, A.; Lopez, D.; Kenny, J.M.; Peponi, L. Shape-Memory Materials via Electrospinning: A Review. Polymers 2022, 14, 995. [Google Scholar] [CrossRef] [PubMed]
- Carré, A.; Lacarrière, V. How Substrate Properties Control Cell Adhesion. A Physical–Chemical Approach. J. Adhes. Sci. Technol. 2010, 24, 815–830. [Google Scholar] [CrossRef]
- Singh, M.; Berkland, C.; Detamore, M.S. Strategies and applications for incorporating physical and chemical signal gradients in tissue engineering. Tissue Eng. Part B Rev. 2008, 14, 341–366. [Google Scholar] [CrossRef]
- Huang, D.; Yang, Y.; Zhuang, G.; Li, B. Influence of Intermolecular Entanglements on the Glass Transition and Structural Relaxation Behaviors of Macromolecules. 2. Polystyrene and Phenolphthalein Poly(ether sulfone). Macromolecules 2000, 33, 461–464. [Google Scholar] [CrossRef]
- Bargan, A.; Onofrei, M.D.; Stoica, I.; Doroftei, F.; Dunca, S.; Filimon, A. Materials Based on Quaternized Polysulfones with Potential Applications in Biomedical Field: Structure–Properties Relationship. Int. J. Mol. Sci. 2022, 23, 4721. [Google Scholar] [CrossRef]
- Filimon, A.; Stoica, I.; Onofrei, M.D.; Bargan, A.; Dunca, S. Quaternized polysulfones-based blends: Surface properties and performance in life quality and environmental applications. Polym. Test. 2018, 71, 285–295. [Google Scholar] [CrossRef]
- Filimon, A.; Albu, R.M.; Stoica, I.; Avram, E. Blends based on ionic polysulfones with improved conformational and microstructural characteristics: Perspectives for biomedical applications. Compos. Part B Eng. 2016, 93, 1–11. [Google Scholar] [CrossRef]
- Filimon, A.; Olaru, N.; Doroftei, F.; Coroaba, A.; Dunca, S. Processing of quaternized polysulfones solutions as tool in design of electrospun nanofibers: Microstructural characteristics and antimicrobial activity. J. Mol. Liq. 2021, 330, 115664. [Google Scholar] [CrossRef]
- Avram, E. Polymers with pendent functional groups. vi. a comparative study on the chloromethylation of linear polystyrene and polysulfone with paraformaldehyde/Me3SiCl. Polym.-Plast. Technol. Eng. 2001, 40, 275–281. [Google Scholar] [CrossRef]
- Cases, A.; Reverter, J.C.; Escolar, G.; Sanz, C.; Lopez-Pedret, J.; Revert, L.; Ordinas, A. Platelet activation on hemodialysis: Influence of dialysis membranes. Kidney Int. Suppl. 1993, 41, S217–S220. [Google Scholar] [PubMed]
- Koga, Y.; Meguro, H.; Fujieda, H.; Ueno, Y.; Miwa, K.; Kainoh, M. A new hydrophilic polysulfone hemodialysis membrane can prevent platelet-neutrophil interactions and successive neutrophil activation. Int. J. Artif. Organs 2019, 42, 175–181. [Google Scholar] [CrossRef]
- Aebischer, P.; Guénard, V.; Brace, S. Peripheral nerve regeneration through blind-ended semipermeable guidance channels: Effect of the molecular weight cutoff. J. Neurosci. Off. J. Soc. Neurosci. 1989, 9, 3590–3595. [Google Scholar] [CrossRef] [PubMed]
- Dobos, A.M.; Popa, A.; Rimbu, C.M.; Filimon, A. Structure-Bioactivity Relationship of the Functionalized Polysulfone with Triethylphosphonium Pendant Groups: Perspective for Biomedical Applications. Polymers 2023, 15, 877. [Google Scholar] [CrossRef]
- Rahimpour, A.; Madaeni, S.S. Polyethersulfone (PES)/cellulose acetate phthalate (CAP) blend ultrafiltration membranes: Preparation, morphology, performance and antifouling properties. J. Membr. Sci. 2007, 305, 299–312. [Google Scholar] [CrossRef]
- Matsuda, M.; Yamamoto, K.-i.; Yakushiji, T.; Fukuda, M.; Miyasaka, T.; Sakai, K. Nanotechnological evaluation of protein adsorption on dialysis membrane surface hydrophilized with polyvinylpyrrolidone. J. Membr. Sci. 2008, 310, 219–228. [Google Scholar] [CrossRef]
- Zhang, Q.; Lu, X.; Zhao, L.; Liu, J.; Wu, C. Research on polyvinylidene fluoride (PVDF) hollow-fiber hemodialyzer. Biomed. Technik. Biomed. Eng. 2016, 61, 309–316. [Google Scholar] [CrossRef] [PubMed]
- Lee, J.-E.; Shim, S.-B.; Park, J.-H.; Chung, I. Interfacial Properties and Melt Processability of Cellulose Acetate Propionate Composites by Melt Blending of Biofillers. Polymers 2022, 14, 4286. [Google Scholar] [CrossRef] [PubMed]
- Vatanpour, V.; Pasaoglu, M.E.; Barzegar, H.; Teber, O.O.; Kaya, R.; Bastug, M.; Khataee, A.; Koyuncu, I. Cellulose acetate in fabrication of polymeric membranes: A review. Chemosphere 2022, 295, 133914. [Google Scholar] [CrossRef] [PubMed]
- Rebika, B.; Archana Moni, D. Conversion of Cellulose into Cellulose Acetate and Evaluation of Biomedical and Wastewater Cleaner Application of Electrospun Cellulose Acetate Nanofibers. In Cellulose; Rajesh Banu, J., Kavitha, S., Yukesh Kannah, R., Eds.; IntechOpen: Rijeka, Croatia, 2023; p. Chapter 3. [Google Scholar]
- Dallaev, R.; Pisarenko, T.; Sobola, D.; Orudzhev, F.; Ramazanov, S.; Trčka, T. Brief Review of PVDF Properties and Applications Potential. Polymers 2022, 14, 4793. [Google Scholar] [CrossRef] [PubMed]
- Motamedi, A.S.; Mirzadeh, H.; Hajiesmaeilbaigi, F.; Bagheri-Khoulenjani, S.; Shokrgozar, M. Effect of electrospinning parameters on morphological properties of PVDF nanofibrous scaffolds. Prog. Biomater. 2017, 6, 113–123. [Google Scholar] [CrossRef] [PubMed]
- Lei, T.; Zhu, P.; Cai, X.; Yang, L.; Yang, F. Electrospinning of PVDF nanofibrous membranes with controllable crystalline phases. Appl. Phys. A 2015, 120, 5–10. [Google Scholar] [CrossRef]
- Winnersbach, P.; Hosseinnejad, A.; Breuer, T.; Fechter, T.; Jakob, F.; Schwaneberg, U.; Rossaint, R.; Bleilevens, C.; Singh, S. Endogenous Nitric Oxide-Releasing Microgel Coating Prevents Clot Formation on Oxygenator Fibers Exposed to In Vitro Blood Flow. Membranes 2022, 12, 73. [Google Scholar] [CrossRef] [PubMed]
- He, T.; He, J.; Wang, Z.; Cui, Z. Modification strategies to improve the membrane hemocompatibility in extracorporeal membrane oxygenator (ECMO). Adv. Compos. Hybrid Mater. 2021, 4, 847–864. [Google Scholar] [CrossRef]
- Sun, A.C.; Kosar, W.; Zhang, Y.; Feng, X. Vacuum membrane distillation for desalination of water using hollow fiber membranes. J. Membr. Sci. 2014, 455, 131–142. [Google Scholar] [CrossRef]
- Salem, D.R. Structure Formation in Polymeric Fibers; Salem, D.R., Ed.; Hanser: Munich, Germany, 2001. [Google Scholar]
- Witten, T.A., Jr.; Cohen, M.H. Crosslinking in shear-thickening ionomers. Macromolecules 1985, 18, 1915–1918. [Google Scholar] [CrossRef]
- Kaelble, D.H. Deformation, strain, and flow: An elementary introduction to rheology, 2nd ed. M. REINER, Interscience, New York–London, 1960. xvi + 347 pp. $9.75. J. Polym. Sci. 1960, 46, 556. [Google Scholar] [CrossRef]
- Filimon, A.; Dobos, A.M.; Dumbrava, O.; Doroftei, F.; Lupa, L. Green Blends Based on Ionic Liquids with Improved Performance for Membrane Technology: Perspectives for Environmental Applications. Int. J. Mol. Sci. 2022, 23, 7961. [Google Scholar] [CrossRef]
- Kanani, A.G.; Bahrami, S.H. Effect of changing solvents on poly (ε-caprolactone) nanofibrous webs morphology. J. Nanomater. 2011, 2011, 724153. [Google Scholar]
- Haider, S.; Al-Zeghayer, Y.; Ahmed Ali, F.A.; Haider, A.; Mahmood, A.; Al-Masry, W.A.; Imran, M.; Aijaz, M.O. Highly aligned narrow diameter chitosan electrospun nanofibers. J. Polym. Res. 2013, 20, 105. [Google Scholar] [CrossRef]
- McKee, M.G.; Elkins, C.L.; Long, T.E. Influence of self-complementary hydrogen bonding on solution rheology/electrospinning relationships. Polymer 2004, 45, 8705–8715. [Google Scholar] [CrossRef]
- Krause, W.E.; Bellomo, E.G.; Colby, R.H. Rheology of sodium hyaluronate under physiological conditions. Biomacromolecules 2001, 2, 65–69. [Google Scholar] [CrossRef] [PubMed]
- Colby, R.H.; Fetters, L.J.; Funk, W.G.; Graessley, W.W. Effects of concentration and thermodynamic interaction on the viscoelastic properties of polymer solutions. Macromolecules 1991, 24, 3873–3882. [Google Scholar] [CrossRef]
- McKee, M.G.; Wilkes, G.L.; Colby, R.H.; Long, T.E.J.M. Correlations of solution rheology with electrospun fiber formation of linear and branched polyesters. Macromolecules 2004, 37, 1760–1767. [Google Scholar] [CrossRef]
- Shenoy, S.L.; Bates, W.D.; Frisch, H.L.; Wnek, G.E. Role of chain entanglements on fiber formation during electrospinning of polymer solutions: Good solvent, non-specific polymer–polymer interaction limit. Polymer 2005, 46, 3372–3384. [Google Scholar] [CrossRef]
- Härdelin, L.; Perzon, E.; Hagström, B.; Walkenström, P.; Gatenholm, P. Influence of molecular weight and rheological behavior on electrospinning cellulose nanofibers from ionic liquids. J. Appl. Polym. Sci. 2013, 130, 2303–2310. [Google Scholar] [CrossRef]
- Wang, C.; Wang, Y.; Hashimoto, T. Impact of Entanglement Density on Solution Electrospinning: A Phenomenological Model for Fiber Diameter. Macromolecules 2016, 49, 7985–7996. [Google Scholar] [CrossRef]
- Burchard, W. Solution Properties of Branched Macromolecules. In Branched Polymers II; Roovers, J., Ed.; Springer: Berlin/Heidelberg, Germany, 1999; pp. 113–194. [Google Scholar]
- Homayoni, H.; Ravandi, S.A.H.; Valizadeh, M. Electrospinning of chitosan nanofibers: Processing optimization. Carbohydr. Polym. 2009, 77, 656–661. [Google Scholar] [CrossRef]
- Diop, M.F.; Torkelson, J.M. Novel synthesis of branched polypropylene via solid-state shear pulverization. Polymer 2015, 60, 77–87. [Google Scholar] [CrossRef]
- Regev, O.; Vandebril, S.; Zussman, E.; Clasen, C. The role of interfacial viscoelasticity in the stabilization of an electrospun jet. Polymer 2010, 51, 2611–2620. [Google Scholar] [CrossRef]
- Yu, J.H.; Fridrikh, S.V.; Rutledge, G.C. The role of elasticity in the formation of electrospun fibers. Polymer 2006, 47, 4789–4797. [Google Scholar] [CrossRef]
- Febriasari, A.; Purnawan, I.; Chalid, M.; Ismojo, I.; Kartohardjono, S. A Direct Comparison Between Poly(vinylidene) Flouride and Polysulfone Flat Sheet Membrane; Characterization and Mechanical Strength. IOP Conf. Ser. Earth Environ. Sci. 2020, 442, 012002. [Google Scholar] [CrossRef]
- Ningrum, R.D.C.; Kusumawati, N. Development and Characterization of Polysulfone/Polyvinylidene Flouride Blend Membrane Induced by Delayed Liquid-Liquid Demixing. Int. J. Adv. Sci. Eng. Inf. Technol. 2016, 6, 716–722. [Google Scholar] [CrossRef]
- Raouf, R.; Wahab, Z.; Ibrahim, N.; Talib, Z. Polysulfone/cellulose acetate butyrate environmentally friendly blend to minimize the impact of UV radiation. J Mater. Sci Eng 2015, 5, 2169-0022.100021. [Google Scholar]
- Boccaccio, T.; Bottino, A.; Capannelli, G.; Piaggio, P. Characterization of PVDF membranes by vibrational spectroscopy. J. Membr. Sci. 2002, 210, 315–329. [Google Scholar] [CrossRef]
- Peng, Y.; Wu, P. A two dimensional infrared correlation spectroscopic study on the structure changes of PVDF during the melting process. Polymer 2004, 45, 5295–5299. [Google Scholar] [CrossRef]
- Gomes, J.; Serrado Nunes, J.; Sencadas, V.; Lanceros-Mendez, S. Influence of the β-phase content and degree of crystallinity on the piezo- and ferroelectric properties of poly(vinylidene fluoride). Smart Mater. Struct. 2010, 19, 065010. [Google Scholar] [CrossRef]
- Dobos, A.M.; Onofrei, M.-D.; Stoica, I.; Olaru, N.; Olaru, L.; Ioan, S. Rheological properties and microstructures of cellulose acetate phthalate/hydroxypropyl cellulose blends. Polym. Compos. 2012, 33, 2072–2083. [Google Scholar] [CrossRef]
- Murray, B.S. Interfacial rheology of food emulsifiers and proteins. Curr. Opin. Colloid Interface Sci. 2002, 7, 426–431. [Google Scholar] [CrossRef]
- Gadkari, S. Influence of Polymer Relaxation Time on the Electrospinning Process: Numerical Investigation. Polymers 2017, 9, 501. [Google Scholar] [CrossRef]
- Gupta, B.S.; Moghe, A.K. 2-Nanofiber structures for medical biotextiles. In Biotextiles as Medical Implants; King, M.W., Gupta, B.S., Guidoin, R., Eds.; Woodhead Publishing: Sawston, Cambridge, 2013; pp. 48–90. [Google Scholar]
- King, M.; Gupta, B.S.; Guidoin, R. Biotextiles as Medical Implants; Elsevier: Amsterdam, The Netherlands, 2013; pp. 1–700. [Google Scholar]
- Ewaldz, E.; Randrup, J.; Brettmann, B. Solvent Effects on the Elasticity of Electrospinnable Polymer Solutions. ACS Polym. Au 2022, 2, 108–117. [Google Scholar] [CrossRef] [PubMed]
- Binte Akram, S.N.; Jahangir, M.U.; Mondal, M.I.H.; Arafat, M.T. 6-Biotextiles for medical implants and regenerative medicine. In Medical Textiles from Natural Resources; Mondal, M.I.H., Ed.; Woodhead Publishing: Sawston, Cambridge, 2022; pp. 169–211. [Google Scholar]
- Fong, H.; Chun, I.; Reneker, D.H. Beaded nanofibers formed during electrospinning. Polymer 1999, 40, 4585–4592. [Google Scholar] [CrossRef]
- Van Oss, C.J.; Good, R.J.; Chaudhury, M.K. Additive and nonadditive surface tension components and the interpretation of contact angles. Langmuir 1988, 4, 884–891. [Google Scholar] [CrossRef]
- Rankl, M.; Laib, S.; Seeger, S. Surface tension properties of surface-coatings for application in biodiagnostics determined by contact angle measurements. Colloids Surf. B Biointerfaces 2003, 30, 177–186. [Google Scholar] [CrossRef]
- Sharma, K.; Hooda, A.; Goyat, M.S.; Rai, R.; Mittal, A. A review on challenges, recent progress and applications of silica nanoparticles based superhydrophobic coatings. Ceram. Int. 2022, 48, 5922–5938. [Google Scholar] [CrossRef]
- Nikola Slepickova, K.; Petr, S.; Zdenka, K.; Vaclav, S. Wettability and Other Surface Properties of Modified Polymers. In Wetting and Wettability; Mahmood, A., Ed.; IntechOpen: Rijeka, Croatia, 2015; p. Chapter 12. [Google Scholar]
- Onofrei, M.D.; Filimon, A.; Stoica, I.M. Control of surface properties of charged polysulfone/cellulose acetate phthalate films with implications in water treatment. Rom. Rep. Phys. 2017, 69, 713. [Google Scholar]
- Yi, Z.; Zhu, L.; Cheng, L.; Zhu, B.; Xu, Y. A readily modified polyethersulfone with amino-substituted groups: Its amphiphilic copolymer synthesis and membrane application. Polymer 2012, 53, 350–358. [Google Scholar] [CrossRef]
- Yohe, S.T.; Freedman, J.D.; Falde, E.J.; Colson, Y.L.; Grinstaff, M.W. A Mechanistic Study of Wetting Superhydrophobic Porous 3D Meshes. Adv. Funct. Mater. 2013, 23, 3628–3637. [Google Scholar] [CrossRef]
- Sadeghi, P.; Tavanai, H.; Khoddami, A. Hydrophobicity of fluorocarbon-finished electrospun poly (acrylonitrile) nanofibrous webs. J. Text. Inst. 2017, 108, 189–195. [Google Scholar] [CrossRef]
- Kizildag, N.; Ucar, N.; Onen, A.; Karacan, I. Polyacrylonitrile/polyaniline composite nano/microfiber webs produced by different dopants and solvents. J. Ind. Text. 2015, 46, 787–808. [Google Scholar] [CrossRef]
- Cui, W.; Li, X.; Zhou, S.; Weng, J. Degradation patterns and surface wettability of electrospun fibrous mats. Polym. Degrad. Stab. 2008, 93, 731–738. [Google Scholar] [CrossRef]
- Faibish, R.S.; Yoshida, W.; Cohen, Y. Contact Angle Study on Polymer-Grafted Silicon Wafers. J. Colloid Interface Sci. 2002, 256, 341–350. [Google Scholar] [CrossRef]
- Yilmaz, G.; Toiserkani, H.; Demirkol, D.O.; Sakarya, S.; Timur, S.; Yagci, Y.; Torun, L. Modification of polysulfones by click chemistry: Amphiphilic graft copolymers and their protein adsorption and cell adhesion properties. J. Polym. Sci. Part A Polym. Chem. 2011, 49, 110–117. [Google Scholar] [CrossRef]
- Vanholder, R. Biocompatibility issues in hemodialysis. Clin. Mater. 1992, 10, 87–133. [Google Scholar] [CrossRef]
- Brennan, A.J.; Shevitz, J.; Macmillan, J.D. A perfusion system for antibody production by shear-sensitive hybridoma cells in a stirred reactor. Biotechnol. Tech. 1987, 1, 169–174. [Google Scholar] [CrossRef]
- Tharakan, J.P.; Chau, P.C. A radial flow hollow fiber bioreactor for the large-scale culture of mammalian cells. Biotechnol. Bioeng. 1986, 28, 329–342. [Google Scholar] [CrossRef] [PubMed]
- Fine, E.G.; Valentini, R.F.; Bellamkonda, R.; Aebischer, P. Improved nerve regeneration through piezoelectric vinylidenefluoride-trifluoroethylene copolymer guidance channels. Biomaterials 1991, 12, 775–780. [Google Scholar] [CrossRef] [PubMed]
- Morelli, S.; Piscioneri, A.; Salerno, S.; De Bartolo, L. Hollow Fiber and Nanofiber Membranes in Bioartificial Liver and Neuronal Tissue Engineering. Cells Tissues Organs 2022, 211, 447–476. [Google Scholar] [CrossRef] [PubMed]
- Eswari, J.S.; Naik, S. A critical analysis on various technologies and functionalized materials for manufacturing dialysis membranes. Mater. Sci. Energy Technol. 2020, 3, 116–126. [Google Scholar] [CrossRef]
- Lebold, K.M.; Traber, M.G. Interactions between α-tocopherol, polyunsaturated fatty acids, and lipoxygenases during embryogenesis. Free Radic. Biol. Med. 2014, 66, 13–19. [Google Scholar] [CrossRef] [PubMed]
- Locatelli, F.; Canaud, B.; Eckardt, K.U.; Stenvinkel, P.; Wanner, C.; Zoccali, C. Oxidative stress in end-stage renal disease: An emerging threat to patient outcome. Nephrol. Dial. Transplant. Off. Publ. Eur. Dial. Transpl. Assoc.-Eur. Ren. Assoc. 2003, 18, 1272–1280. [Google Scholar] [CrossRef] [PubMed]
- Bhuiyan, M.M.H.; Uddin, M.H. Excess molar volumes and excess viscosities for mixtures of N,N-dimethylformamide with methanol, ethanol and 2-propanol at different temperatures. J. Mol. Liq. 2008, 138, 139–146. [Google Scholar] [CrossRef]
- Wang, H.; Yu, T.; Zhao, C.; Du, Q. Improvement of hydrophilicity and blood compatibility on polyethersulfone membrane by adding polyvinylpyrrolidone. Fibers Polym. 2009, 10, 1–5. [Google Scholar] [CrossRef]











| Sample | Electrospinning Conditions | Average Fiber Diameters (µm) |
|---|---|---|
| PSFQ in DMF | 22.1 kV a, 10 µL/min b, 20 cm c, 29% d, 25.3 °C e | 0.110 ± 0.045 |
| CAP in DMF PVDF in NMP | 21.8 kV a, 20 µL/min b, 20 cm c, 30% d, 24.3 °C e 23.8 kV a, 50 µL/min b, 20 cm c, 39% d, 25 °C e | 0.105 ± 0.046 0.073 ± 0.031 |
| 25PSFQ/25CAP/50PVDF in 50/50 DMF/NMP | 24.1 kV a, 10 µL/min b, 16 cm c, 41% d, 22.4 °C e | 0.111 ± 0.049 |
| 40PSFQ/10CAP/50PVDF in 50/50 DMF/NMP | 24.2 kV a, 5 µL/min b, 20 cm c, 31% d, 24 °C e | 0.121 ± 0.047 |
| Sample | W (%) | rpm(nm) | BET Data | |
|---|---|---|---|---|
| A (m2/g) | Monolayer (g/g) | |||
| PSFQ/DMF | 21.35 | 2.03 | 210.54 | 0.060 |
| 3.69 * | 64.15 * | 0.018 * | ||
| CAP/DMF | 17.68 | 2.02 | 174.66 | 0.049 |
| PVDF/NMP | 0.430 | 1.73 | 2.91 | 0.0008 |
| 25PSFQ/25CAP/50PVDF in 50/50 DMF/NMP | 5.21 | 1.61 | 64.77 | 0.0184 |
| 40PSFQ/10CAP/50PVDF in 50/50 DMF/NMP | 5.51 | 1.60 | 68.93 | 0.0196 |
| Bacteria Species | Times | A1 (CFU/mL/ 1 cm2) | A2 (CFU/mL/ 1 cm2) | A2.1 (CFU/mL/ 1 cm2) | A2.2 (CFU/mL/ 1 cm2) |
|---|---|---|---|---|---|
| S. aureus | Control sample | 1.5 × 108 | 1.5 × 108 | 1.5 × 108 | 1.5 × 108 |
| T1 (6 h) | UQ | UQ | UQ | UQ | |
| Log reduction | 0 | 0 | 0 | 0 | |
| % reduction | 0 | 0 | 0 | 0 | |
| T1 (24 h) | 21.96 × 102 | 11.10 × 101 | 12.8 × 101 | 0 × 100 | |
| Log reduction | 4.83 | 6.13 | 6.07 | I | |
| % reduction | 99.999 | 100 | 100 | 100 | |
| T1 (48 h) | 16.32 × 102 | 1.4 × 101 | 3.6 × 101 | 0 × 100 | |
| Log reduction | 4.96 | 7.03 | 6.62 | I | |
| % reduction | 99.999 | 100 | 100 | 100 | |
| E. coli | Control sample | 1.5 × 108 | 1.5 × 108 | 1.5 × 108 | 1.5 × 108 |
| T1 (6 h) | UQ | 1.5 × 101 | 48 × 102 | 32.18 × 102 | |
| Log reduction | 0 | 7 | 4.49 | I | |
| % reduction | 0 | 100 | 99.997 | 100 | |
| T1 (24 h) | 58.66 × 102 | 1.1 × 101 | 41.13 × 102 | 0 × 100 | |
| Log reduction | 4.41 | 7.13 | 4.56 | I | |
| % reduction | 99.996 | 100 | 99.997 | 100 | |
| T1 (48 h) | 56.84 × 102 | 0 × 100 | 30.49 × 102 | 0 × 100 | |
| Log reduction | 4.42 | I | 4.58 | I | |
| % reduction | 99.996 | 100 | 99.997 | 100 |
Disclaimer/Publisher’s Note: The statements, opinions and data contained in all publications are solely those of the individual author(s) and contributor(s) and not of MDPI and/or the editor(s). MDPI and/or the editor(s) disclaim responsibility for any injury to people or property resulting from any ideas, methods, instructions or products referred to in the content. |
© 2024 by the authors. Licensee MDPI, Basel, Switzerland. This article is an open access article distributed under the terms and conditions of the Creative Commons Attribution (CC BY) license (https://creativecommons.org/licenses/by/4.0/).
Share and Cite
Filimon, A.; Serbezeanu, D.; Dobos, A.M.; Onofrei, M.D.; Bargan, A.; Rusu, D.; Rimbu, C.M. Electrospun Membranes Based on Quaternized Polysulfones: Rheological Properties–Electrospinning Mechanisms Relationship. Polymers 2024, 16, 1503. https://doi.org/10.3390/polym16111503
Filimon A, Serbezeanu D, Dobos AM, Onofrei MD, Bargan A, Rusu D, Rimbu CM. Electrospun Membranes Based on Quaternized Polysulfones: Rheological Properties–Electrospinning Mechanisms Relationship. Polymers. 2024; 16(11):1503. https://doi.org/10.3390/polym16111503
Chicago/Turabian StyleFilimon, Anca, Diana Serbezeanu, Adina Maria Dobos, Mihaela Dorina Onofrei, Alexandra Bargan, Daniela Rusu, and Cristina Mihaela Rimbu. 2024. "Electrospun Membranes Based on Quaternized Polysulfones: Rheological Properties–Electrospinning Mechanisms Relationship" Polymers 16, no. 11: 1503. https://doi.org/10.3390/polym16111503
APA StyleFilimon, A., Serbezeanu, D., Dobos, A. M., Onofrei, M. D., Bargan, A., Rusu, D., & Rimbu, C. M. (2024). Electrospun Membranes Based on Quaternized Polysulfones: Rheological Properties–Electrospinning Mechanisms Relationship. Polymers, 16(11), 1503. https://doi.org/10.3390/polym16111503

