Gamma Radiation-Mediated Synthesis of Antimicrobial Polyurethane Foam/Silver Nanoparticles
Abstract
1. Introduction
2. Materials and Methods
2.1. Chemicals
2.2. Preparation of Polyurethane Foam (PUF)/Ag NPs
2.3. Characterization of PUF/AgNPs
2.3.1. Spectroscopic Analysis
2.3.2. DSC Analysis
2.3.3. SEM-EDX Analysis
2.3.4. Mechanical Properties
Dynamic Mechanical Analysis (DMA)
Compression Resistance and Tensile Tests
2.4. Measurement of Antimicrobial Activity
2.4.1. Assessment of Antibacterial Activity
2.4.2. Absorption Method (Direct Contact Test)
2.4.3. Assessment of Fungicidal Activity
2.5. In Vitro Biocompatibility Assessment
2.5.1. Cell Culture
2.5.2. MTT Assay
2.5.3. Determination of Nitric Oxide (NO) Level
2.5.4. Cytotoxicity Test Based on Lactate Dehydrogenase Activity
2.5.5. Determination of the Intracellular Level of Reactive Oxygen Species (ROS)
2.5.6. Filamentous Actin and Nuclei Staining
2.6. Statistical Analysis
3. Results and Discussion
3.1. Radiochemical Synthesis of PUF Nanocomposites
3.2. Characterization of Polyol and PUF Nanocomposites
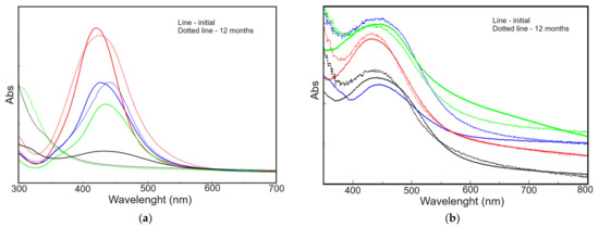
3.2.1. Stability of Nanoparticle Systems
3.2.2. ATR-FTIR Analysis
3.2.3. DSC Analysis
3.2.4. SEM-EDX Analysis
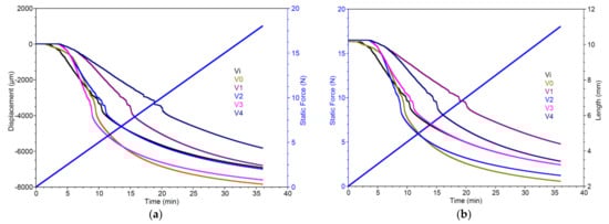
3.2.5. Mechanical Properties
3.2.6. Antimicrobial Properties
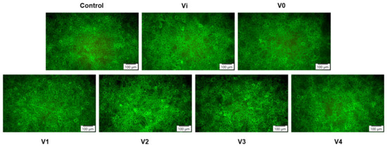
3.2.7. Cytotoxic Effects of PUF/NPAg on Human Keratinocytes
4. Conclusions
Supplementary Materials
Author Contributions
Funding
Data Availability Statement
Acknowledgments
Conflicts of Interest
References
- World Health Organization. Global Report on Infection Prevention and Control. Available online: https://iris.who.int/bitstream/handle/10665/354489/9789240051164-eng.pdf?sequence=1 (accessed on 14 February 2024).
- Raoofi, S.; Pashazadeh Kan, F.; Rafiei, S.; Hosseinipalangi, Z.; Noorani Mejareh, Z.; Khani, S.; Abdollahi, B.; Seyghalani Talab, F.; Sanaei, M.; Zarabi, F.; et al. Global prevalence of nosocomial infection: A systematic review and meta-analysis. PLoS ONE 2023, 18, e0274248. [Google Scholar] [CrossRef] [PubMed]
- Khan, H.A.; Baig, F.K.; Mehboob, R. Nosocomial infections: Epidemiology, prevention, control and surveillance. Asian Pac. J. Trop. Biomed. 2017, 7, 478–482. [Google Scholar] [CrossRef]
- Banti, C.N.; Hadjikakou, S.K. Antimicrobial Materials with Medical Applications. Int. J. Mol. Sci. 2022, 23, 1890. [Google Scholar] [CrossRef] [PubMed]
- Jose, A.; Gizdavic-Nikolaidis, M.; Swift, S. Antimicrobial Coatings: Reviewing Options for Healthcare Applications. Appl. Microbiol. 2023, 3, 145–174. [Google Scholar] [CrossRef]
- Yao, J.; Zou, P.; Cui, Y.; Quan, L.; Gao, C.; Li, Z.; Gong, W.; Yang, M. Recent Advances in Strategies to Combat Bacterial Drug Resistance: Antimicrobial Materials and Drug Delivery Systems. Pharmaceutics 2023, 15, 1188. [Google Scholar] [CrossRef] [PubMed]
- Moustafa, H.; Ahmed, E.M.; Morsy, M. Bio-based antibacterial packaging from decorated bagasse papers with natural rosin and synthesised GO-Ag nanoparticles. Mater. Technol. 2022, 37, 2766–2776. [Google Scholar] [CrossRef]
- Fierascu, R.C.; Lungulescu, E.-M.; Fierascu, I.; Stan, M.S.; Voinea, I.C.; Dumitrescu, S.I. Metal and Metal Oxide Nanoparticle Incorporation in Polyurethane Foams: A Solution for Future Antimicrobial Materials? Polymers 2023, 15, 4570. [Google Scholar] [CrossRef]
- Intelligence, M. Polyurethane Market Size & Share Analysis—Growth Trends & Forecasts (2023–2028). Available online: https://www.mordorintelligence.com/industry-reports/polyurethane-market (accessed on 27 March 2024).
- Grzęda, D.; Węgrzyk, G.; Nowak, A.; Idaszek, J.; Szczepkowski, L.; Ryszkowska, J. Cytotoxic Properties of Polyurethane Foams for Biomedical Applications as a Function of Isocyanate Index. Polymers 2023, 15, 2754. [Google Scholar] [CrossRef] [PubMed]
- Viana, R.E.H.; Santos, S.G.D.; Oliveira, A.C. Recovery of resistant bacteria from mattresses of patients under contact precautions. Am. J. Infect. Control 2016, 44, 465–469. [Google Scholar] [CrossRef] [PubMed]
- Vinay, V.C.; Varma, D.S.M.; Chandan, M.R.; Sivabalan, P.; Jaiswal, A.K.; Swetha, S.; Kaczmarek, B.; Sionkowska, A. Study of silver nanoparticle-loaded auxetic polyurethane foams for medical cushioning applications. Polym. Bull. 2022, 79, 4233–4250. [Google Scholar] [CrossRef]
- Udabe, E.; Isik, M.; Sardon, H.; Irusta, L.; Salsamendi, M.; Sun, Z.; Zheng, Z.; Yan, F.; Mecerreyes, D. Antimicrobial polyurethane foams having cationic ammonium groups. J. Appl. Polym. Sci. 2017, 134, 45473. [Google Scholar] [CrossRef]
- Kraev, I.D.; Pykhtin, A.A.; Lonskii, S.L.; Kurshev, E.V.; Terekhov, I.V. Effect of Biocidal Additives on Technological Parameters in the Manufacture of Polyurethane Foams. Inorg. Mater. Appl. Res. 2021, 12, 125–132. [Google Scholar] [CrossRef]
- Tomaselli, S.; Bertini, F.; Cifarelli, A.; Vignali, A.; Ragona, L.; Losio, S. Antibacterial Properties of Polyurethane Foams Additivated with Terpenes from a Bio-Based Polyol. Molecules 2023, 28, 1966. [Google Scholar] [CrossRef] [PubMed]
- Maamoun, A.A.; Mahmoud, A.A. Exploring the mechanical and bacterial prospects of flexible polyurethane foam with chitosan. Cellulose 2022, 29, 6323–6338. [Google Scholar] [CrossRef]
- Sienkiewicz, N.; Członka, S. Natural Additives Improving Polyurethane Antimicrobial Activity. Polymers 2022, 14, 2533. [Google Scholar] [CrossRef] [PubMed]
- Zahra, M.; Ullah, H.; Javed, M.; Iqbal, S.; Ali, J.; Alrbyawi, H.; Alwadai, N.; Ibrahim Basha, B.; Waseem, A.; Sarfraz, S.; et al. Synthesis and characterization of polyurethane/zinc oxide nanocomposites with improved thermal and mechanical properties. Inorg. Chem. Commun. 2022, 144, 109916. [Google Scholar] [CrossRef]
- Gallo, G.; Schillaci, D. Bacterial metal nanoparticles to develop new weapons against bacterial biofilms and infections. Appl. Microbiol. Biotechnol. 2021, 105, 5357–5366. [Google Scholar] [CrossRef] [PubMed]
- Saleemi, M.A.; Lim, V. Overview of antimicrobial polyurethane-based nanocomposite materials and associated signalling pathways. Eur. Polym. J. 2022, 167, 111087. [Google Scholar] [CrossRef]
- Fierascu, R.C.; Fierascu, I.; Lungulescu, E.M.; Nicula, N.; Somoghi, R.; Ditu, L.M.; Ungureanu, C.; Sutan, A.N.; Draghiceanu, O.A.; Paunescu, A.; et al. Phytosynthesis and radiation-assisted methods for obtaining metal nanoparticles. J. Mater. Sci. 2020, 55, 1915–1932. [Google Scholar] [CrossRef]
- Lungulescu, E.-M.; Setnescu, R.; Pătroi, E.A.; Lungu, M.V.; Pătroi, D.; Ion, I.; Fierăscu, R.-C.; Șomoghi, R.; Stan, M.; Nicula, N.-O. High-Efficiency Biocidal Solution Based on Radiochemically Synthesized Cu-Au Alloy Nanoparticles. Nanomaterials 2021, 11, 3388. [Google Scholar] [CrossRef]
- Marinescu, L.; Ficai, D.; Oprea, O.; Marin, A.; Ficai, A.; Andronescu, E.; Holban, A.-M. Optimized Synthesis Approaches of Metal Nanoparticles with Antimicrobial Applications. J. Nanomater. 2020, 2020, 6651207. [Google Scholar] [CrossRef]
- Li, C.; Ye, H.; Ge, S.; Yao, Y.; Ashok, B.; Hariram, N.; Liu, H.; Tian, H.; He, Y.; Guo, G.; et al. Fabrication and properties of antimicrobial flexible nanocomposite polyurethane foams with in situ generated copper nanoparticles. J. Mater. Res. Technol. 2022, 19, 3603–3615. [Google Scholar] [CrossRef]
- Reverberi, A.P.; Kuznetsov, N.T.; Meshalkin, V.P.; Salerno, M.; Fabiano, B. Systematical analysis of chemical methods in metal nanoparticles synthesis. Theor. Found. Chem. Eng. 2016, 50, 59–66. [Google Scholar] [CrossRef]
- ISO 844:2021; Rigid Cellular Plastics—Determination of Compression Properties. ISO: Geneva, Switzerland, 2021.
- ISO 1926:2009; Rigid Cellular Plastics—Determination of Tensile Properties. ISO: Geneva, Switzerland, 2009.
- Japanese Industrial Standards (JIS) L 1902:2015; Textiles—Determination of Antibacterial Activity and Efficacy of Textile Products. Japanese Industrial Standard (JIS): Tokyo, Japan, 2015.
- ASTM G21-15; Standard Practice for Determining Resistance of Synthetic Polymeric Materials to Fungi. ASTM: West Conshohocken, PA, USA, 2021.
- Lundin, J.G.; McGann, C.L.; Daniels, G.C.; Streifel, B.C.; Wynne, J.H. Hemostatic kaolin-polyurethane foam composites for multifunctional wound dressing applications. Mater. Sci. Eng. C 2017, 79, 702–709. [Google Scholar] [CrossRef] [PubMed]
- Abedini, A.; Susthitha Menon, P.; Daud, A.R.; Hamid, M.A.A.; Shaari, S. Radiolytic formation of highly luminescent triangular Ag nanocolloids. J. Radioanal. Nucl. Chem. 2016, 307, 985–991. [Google Scholar] [CrossRef]
- Remita, H.; Lampre, I. Synthesis of Metallic Nanostructures Using Ionizing Radiation and Their Applications. Materials 2024, 17, 364. [Google Scholar] [CrossRef] [PubMed]
- Rojas, J.V.; Castano, C.H. Production of palladium nanoparticles supported on multiwalled carbon nanotubes by gamma irradiation. Radiat. Phys. Chem. 2012, 81, 16–21. [Google Scholar] [CrossRef]
- Keough, T.; Ezra, F.S.; Russell, A.F.; Pryne, J.D. Comparison of the stable products formed by fast atom bombardment and γ-irradiation of glycerol. Org. Mass Spectrom. 1987, 22, 241–247. [Google Scholar] [CrossRef]
- Lyutova, Z.B.; Panasyuk, S.L.; Yudin, I.V. Radiolysis of Polyol Solutions: Molecular Products—Spectral Doubles of Malondialdehyde. High Energy Chem. 2020, 54, 270–275. [Google Scholar] [CrossRef]
- Lungulescu, E.M.; Sbarcea, G.; Setnescu, R.; Nicula, N.; Ducu, R.; Lupu, A.M.; Ion, I.; Marinescu, V. Gamma Radiation Synthesis of Colloidal Silver Nanoparticles. Rev. Chim. 2019, 70, 2826–2830. [Google Scholar] [CrossRef]
- Kugai, J.; Dodo, E.; Seino, S.; Nakagawa, T.; Okazaki, T.; Yamamoto, T.A. Effect of organic stabilizers on Pt–Cu nanoparticle structure in liquid-phase syntheses: Control of crystal growth and copper reoxidation. J. Nanopart. Res. 2016, 18, 62. [Google Scholar] [CrossRef]
- Gama, N.; Ferreira, A.; Barros-Timmons, A. Polyurethane Foams: Past, Present, and Future. Materials 2018, 11, 1841. [Google Scholar] [CrossRef]
- Dutta, A.S. 2—Polyurethane Foam Chemistry. In Recycling of Polyurethane Foams; Thomas, S., Kanny, K., Thomas, M.G., Rane, A.V., Abitha, V.K., Eds.; William Andrew Publishing: Norwich, NY, USA, 2018; pp. 17–27. [Google Scholar]
- Amran, U.A.; Salleh, K.M.; Zakaria, S.; Roslan, R.; Chia, C.H.; Jaafar, S.N.S.; Sajab, M.S.; Mostapha, M. Production of Rigid Polyurethane Foams Using Polyol from Liquefied Oil Palm Biomass: Variation of Isocyanate Indexes. Polymers 2021, 13, 3072. [Google Scholar] [CrossRef] [PubMed]
- de Souza, F.M.; Kahol, P.K.; Gupta, R.K. Introduction to Polyurethane Chemistry. In Polyurethane Chemistry: Renewable Polyols and Isocyanates; ACS Symposium Series; American Chemical Society: Washington, DC, USA, 2021; Volume 1380, pp. 1–24. [Google Scholar]
- Wegner, S.; Janiak, C. Metal Nanoparticles in Ionic Liquids. Top. Curr. Chem. 2017, 375, 65. [Google Scholar] [CrossRef] [PubMed]
- Sinha, T.; Gude, V.; Rao, N.V.S. Synthesis of Silver Nanoparticles Using Sodium Dodecylsulphate. Adv. Sci. Eng. Med. 2012, 4, 381–387. [Google Scholar] [CrossRef]
- Anandalakshmi, K.; Venugobal, J.; Ramasamy, V. Characterization of silver nanoparticles by green synthesis method using Pedalium murex leaf extract and their antibacterial activity. Appl. Nanosci. 2016, 6, 399–408. [Google Scholar] [CrossRef]
- Lungulescu, E.M.; Lingvay, I.; Bors, A.M.; Fortuna, L.; Nicula, N.O. Assessment of Paint Layers Quality by FTIR and DSC Techniques. Mater. Plast. 2019, 56, 87–91. [Google Scholar] [CrossRef]
- Smith, B. Infrared Spectroscopy of Polymers XIII: Polyurethanes. Spectroscopy 2023, 38, 14–16. [Google Scholar] [CrossRef]
- Izarra, I.; Borreguero, A.M.; Garrido, I.; Rodríguez, J.F.; Carmona, M. Comparison of flexible polyurethane foams properties from different polymer polyether polyols. Polym. Test. 2021, 100, 107268. [Google Scholar] [CrossRef]
- Lungulescu, E.-M.; Setnescu, R.; Ilie, S.; Taborelli, M. On the Use of Oxidation Induction Time as a Kinetic Parameter for Condition Monitoring and Lifetime Evaluation under Ionizing Radiation Environments. Polymers 2022, 14, 2357. [Google Scholar] [CrossRef] [PubMed]
- Lungulescu, E.M. Contributions to the Study and Characterization of Degradation Processes of the Insulating Polymeric Materials in High-Energy Radiation Fields. Ph.D. Thesis, University of Bucharest, Bucharest, Romania, 2014. [Google Scholar]
- Valgimigli, L.; Baschieri, A.; Amorati, R. Antioxidant activity of nanomaterials. J. Mater. Chem. B 2018, 6, 2036–2051. [Google Scholar] [CrossRef] [PubMed]
- Bashirzadeh, R.; Gharehbaghi, A. An Investigation on Reactivity, Mechanical and Fire Properties of Pu Flexible Foam. J. Cell. Plast. 2010, 46, 129–158. [Google Scholar] [CrossRef]
- Skleničková, K.; Abbrent, S.; Halecký, M.; Kočí, V.; Beneš, H. Biodegradability and ecotoxicity of polyurethane foams: A review. Crit. Rev. Environ. Sci. Technol. 2022, 52, 157–202. [Google Scholar] [CrossRef]
- Kim, J.-M.; Kim, J.-H.; Ahn, J.-H.; Kim, J.-D.; Park, S.; Park, K.H.; Lee, J.-M. Synthesis of nanoparticle-enhanced polyurethane foams and evaluation of mechanical characteristics. Compos. Part B Eng. 2018, 136, 28–38. [Google Scholar] [CrossRef]
- Wei, Q.; Oribayo, O.; Feng, X.; Rempel, G.L.; Pan, Q. Synthesis of Polyurethane Foams Loaded with TiO2 Nanoparticles and Their Modification for Enhanced Performance in Oil Spill Cleanup. Ind. Eng. Chem. Res. 2018, 57, 8918–8926. [Google Scholar] [CrossRef]
- Shrivastava, A. 3—Plastic Properties and Testing. In Introduction to Plastics Engineering; Shrivastava, A., Ed.; William Andrew Publishing: Norwich, NY, USA, 2018; pp. 49–110. [Google Scholar]
- Gholami, M.S.; Doutres, O.; Atalla, N. Effect of microstructure closed-pore content on the mechanical properties of flexible polyurethane foam. Int. J. Solids Struct. 2017, 112, 97–105. [Google Scholar] [CrossRef]
- Paul, D.; Paul, S.; Roohpour, N.; Wilks, M.; Vadgama, P. Antimicrobial, Mechanical and Thermal Studies of Silver Particle-Loaded Polyurethane. J. Funct. Biomater. 2013, 4, 358–375. [Google Scholar] [CrossRef] [PubMed]
- Zhong, Z.; Luo, S.; Yang, K.; Wu, X.; Ren, T. High-performance anionic waterborne polyurethane/Ag nanocomposites with excellent antibacterial property via in situ synthesis of Ag nanoparticles. RSC Adv. 2017, 7, 42296–42304. [Google Scholar] [CrossRef]
- Ramirez, D.; Jaramillo, F. Improved mechanical and antibacterial properties of thermoplastic polyurethanes by efficient double functionalization of silver nanoparticles. J. Appl. Polym. Sci. 2018, 135, 46180. [Google Scholar] [CrossRef]
- Domènech, B.; Ziegler, K.; Vigués, N.; Olszewski, W.; Marini, C.; Mas, J.; Muñoz, M.; Muraviev, D.N.; Macanás, J. Polyurethane foams doped with stable silver nanoparticles as bactericidal and catalytic materials for the effective treatment of water. New J. Chem. 2016, 40, 3716–3725. [Google Scholar] [CrossRef]
- Choi, H.J.; Thambi, T.; Yang, Y.H.; Bang, S.I.; Kim, B.S.; Pyun, D.G.; Lee, D.S. AgNP and rhEGF-incorporating synergistic polyurethane foam as a dressing material for scar-free healing of diabetic wounds. RSC Adv. 2017, 7, 13714–13725. [Google Scholar] [CrossRef]
- Namviriyachote, N.; Lipipun, V.; Akkhawattanangkul, Y.; Charoonrut, P.; Ritthidej, G.C. Development of polyurethane foam dressing containing silver and asiaticoside for healing of dermal wound. Asian J. Pharm. Sci. 2019, 14, 63–77. [Google Scholar] [CrossRef] [PubMed]
- Burke, A.; Hasirci, N. Polyurethanes in Biomedical Applications. In Biomaterials; Springer: Boston, MA, USA, 2004; pp. 83–101. [Google Scholar]
- Okrasa, M.; Leszczyńska, M.; Sałasińska, K.; Szczepkowski, L.; Kozikowski, P.; Nowak, A.; Szulc, J.; Adamus-Włodarczyk, A.; Gloc, M.; Majchrzycka, K.; et al. Viscoelastic Polyurethane Foams with Reduced Flammability and Cytotoxicity. Materials 2022, 15, 151. [Google Scholar] [CrossRef] [PubMed]
- Chen, Y.; Liang, Y.; Liu, J.; Yang, J.; Jia, N.; Zhu, C.; Zhang, J. Optimizing microenvironment by integrating negative pressure and exogenous electric fields via a flexible porous conductive dressing to accelerate wound healing. Biomater. Sci. 2021, 9, 238–251. [Google Scholar] [CrossRef] [PubMed]
- Picca, R.A.; Paladini, F.; Sportelli, M.C.; Pollini, M.; Giannossa, L.C.; Di Franco, C.; Panico, A.; Mangone, A.; Valentini, A.; Cioffi, N. Combined Approach for the Development of Efficient and Safe Nanoantimicrobials: The Case of Nanosilver-Modified Polyurethane Foams. ACS Biomater. Sci. Eng. 2017, 3, 1417–1425. [Google Scholar] [CrossRef] [PubMed]
- Morena, A.G.; Stefanov, I.; Ivanova, K.; Pérez-Rafael, S.; Sánchez-Soto, M.; Tzanov, T. Antibacterial Polyurethane Foams with Incorporated Lignin-Capped Silver Nanoparticles for Chronic Wound Treatment. Ind. Eng. Chem. Res. 2020, 59, 4504–4514. [Google Scholar] [CrossRef]














| Code | [Ag+] (mM) | Dose (kGy) | Stabilizing Agent (2%) | Hydroxyl Radical’s Scavenger (2%) |
|---|---|---|---|---|
| Vi | 0 | 0 | - | - |
| V0 | 0 | 50 | - | - |
| V1 | 10 | - | - | |
| V2 | PVP | - | ||
| V3 | - | BDO | ||
| V4 | SDS | - |
| Compound | Parts |
|---|---|
| Polyol/AgNPs | 100 |
| BDO | 7.5 |
| Water | 3.0 |
| Dabco 33-LV | 0.4 |
| Dibutyltin dilaurate | 0.24 |
| Vorasurf DC 2585 | 1.0 |
| 4,4′-Methylene diphenyl diisocyanate prepolymer (ISO 137/28) | 200.0 |
| Sample | OOT (°C) | ||
|---|---|---|---|
| Polyol (Liquid) | PUF | ||
| OOT1 (°C) | OOT2 (°C) | ||
| Vi | 188 | 281 | 312 |
| V0 | 180 | 274 | 308 |
| V1 | 185 | 258 | 292 |
| V2 | 178 | 257 | 284 |
| V3 | 189 | 252 | 301 |
| V4 | 184 | 250 | 292 |
| PU Matrix | Main Findings on Antibacterial Activity | Ref. |
|---|---|---|
| Polyurethane foam embedded with silver nanoparticles (PUF/AgNPs) | Microbicidal activity against S. aureus strain at 24 h incubation time Microbicidal activity against E. coli, E. faecalis, and P. aeruginosa bacteria after 48 h treatment with V1, V3, and V4 samples | Our study |
| Pristine PUFs with AgNPs | Microbicidal activity against E. coli bacteria at 6.5 h incubation time | [60] |
| PUF with AgNPs and recombinant human epidermal growth factor (rhEGF) | Growth inhibition of E. coli and S. aureus treated with AgNP-PUFs and AgNP/rhEGF-PUFs after 24 h | [61] |
| PUF containing silver, alginate, and asiaticoside | Growth inhibition of S. aureus, B. subtilis, E. coli, and P. aeruginosa treated for 24 h | [62] |
| Sample | ![]() | ![]() | ![]() | ![]() | ![]() | ![]() | ![]() |
|---|---|---|---|---|---|---|---|
| Control | Vi | V0 | V1 | V2 | V3 | V4 | |
| Score according to [29] | 4 | 4 | 4 | 0 | 0 | 0 | 0 |
| PU Matrix | Main Findings on Biocompatibility | Ref. |
|---|---|---|
| Polyurethane foam embedded with silver nanoparticles (PUF/AgNPs) | PUF/AgNPs samples were harmless to human keratinocytes in the case of a short-term exposure | This study |
| PUF containing silver, alginate, and asiaticoside | Non-cytotoxic effects to human skin fibroblasts | [62] |
| Three-dimensional porous foam dressing with silver nanowires | High cell viability after 48 h of incubation with 3T3 cells and wound-healing promotion in pigs by combining with exogenous electric fields | [65] |
| Silver-modified PU foams | Good cytocompatibility with the 3T3 murine fibroblast line | [66] |
| PU foams with incorporated silver nanoparticles and recombinant human epidermal growth factor | Good cytocompatibility with mice fibroblasts L929 and significantly accelerated the healing of diabetic wounds, with complete re-epithelialization in a diabetic BALB/c mice mode | [61] |
| PU foams with incorporated lignin-capped silver nanoparticles | No cytotoxicity to HaCaT cells and BJ5ta fibroblasts; radical-scavenging activity and an ability to reduce the ex vivo myeloperoxidase activity in wound exudate | [67] |
Disclaimer/Publisher’s Note: The statements, opinions and data contained in all publications are solely those of the individual author(s) and contributor(s) and not of MDPI and/or the editor(s). MDPI and/or the editor(s) disclaim responsibility for any injury to people or property resulting from any ideas, methods, instructions or products referred to in the content. |
© 2024 by the authors. Licensee MDPI, Basel, Switzerland. This article is an open access article distributed under the terms and conditions of the Creative Commons Attribution (CC BY) license (https://creativecommons.org/licenses/by/4.0/).
Share and Cite
Lungulescu, E.-M.; Fierascu, R.C.; Stan, M.S.; Fierascu, I.; Radoi, E.A.; Banciu, C.A.; Gabor, R.A.; Fistos, T.; Marutescu, L.; Popa, M.; et al. Gamma Radiation-Mediated Synthesis of Antimicrobial Polyurethane Foam/Silver Nanoparticles. Polymers 2024, 16, 1369. https://doi.org/10.3390/polym16101369
Lungulescu E-M, Fierascu RC, Stan MS, Fierascu I, Radoi EA, Banciu CA, Gabor RA, Fistos T, Marutescu L, Popa M, et al. Gamma Radiation-Mediated Synthesis of Antimicrobial Polyurethane Foam/Silver Nanoparticles. Polymers. 2024; 16(10):1369. https://doi.org/10.3390/polym16101369
Chicago/Turabian StyleLungulescu, Eduard-Marius, Radu Claudiu Fierascu, Miruna S. Stan, Irina Fierascu, Elena Andreea Radoi, Cristina Antonela Banciu, Raluca Augusta Gabor, Toma Fistos, Luminita Marutescu, Marcela Popa, and et al. 2024. "Gamma Radiation-Mediated Synthesis of Antimicrobial Polyurethane Foam/Silver Nanoparticles" Polymers 16, no. 10: 1369. https://doi.org/10.3390/polym16101369
APA StyleLungulescu, E.-M., Fierascu, R. C., Stan, M. S., Fierascu, I., Radoi, E. A., Banciu, C. A., Gabor, R. A., Fistos, T., Marutescu, L., Popa, M., Voinea, I. C., Voicu, S. N., & Nicula, N.-O. (2024). Gamma Radiation-Mediated Synthesis of Antimicrobial Polyurethane Foam/Silver Nanoparticles. Polymers, 16(10), 1369. https://doi.org/10.3390/polym16101369








