Progress in the Preparation and Application of Inulin-Based Hydrogels
Abstract
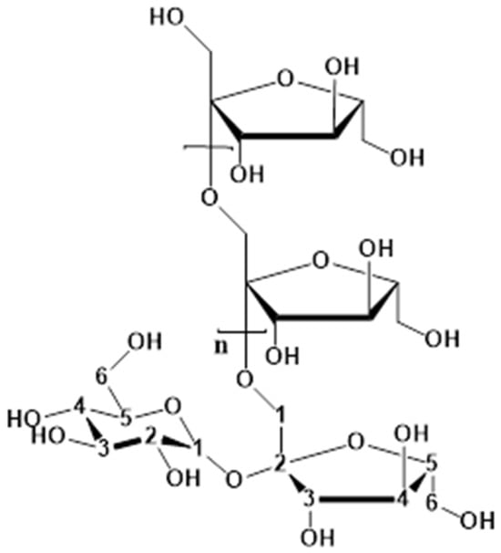
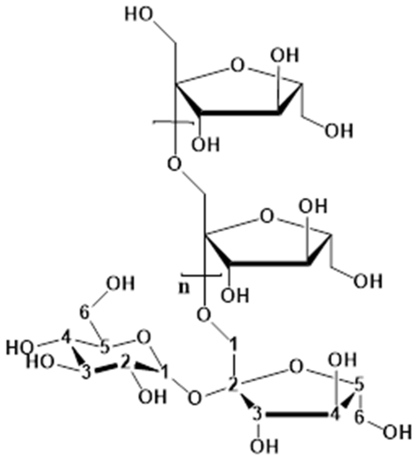
1. Introduction
2. Preparation of Inulin-Based Hydrogels
2.1. Physical Methods
2.1.1. Thermal Induction
2.1.2. Non-Thermal Induction
2.2. Chemical Methods
3. Properties and Applications of Multifunctional Inulin-Based Hydrogels
3.1. Stimuli-Responsive Materials
3.2. Food Industry
3.3. Wound Dressing and Tissue Engineering
3.4. Drug Delivery System
4. Conclusions
Author Contributions
Funding
Institutional Review Board Statement
Data Availability Statement
Conflicts of Interest
References
- Fan, H.; Gong, J.P. Fabrication of Bioinspired Hydrogels: Challenges and Opportunities. Macromolecules 2020, 53, 2769–2782. [Google Scholar] [CrossRef]
- Zhang, C.; Wu, B.; Zhou, Y.; Zhou, F.; Liu, W.; Wang, Z. Mussel-inspired hydrogels: From design principles to promising applications. Chem. Soc. Rev. 2020, 49, 3605–3637. [Google Scholar] [CrossRef] [PubMed]
- Qiao, Z.; Parks, J.; Choi, P.; Ji, H.-F. Applications of Highly Stretchable and Tough Hydrogels. Polymers 2019, 11, 1773. [Google Scholar] [CrossRef] [PubMed]
- Ding, H.; Liang, X.; Wang, Q.; Wang, M.; Li, Z.; Sun, G. A semi-interpenetrating network ionic composite hydrogel with low modulus, fast self-recoverability and high conductivity as flexible sensor. Carbohydr. Polym. 2020, 248, 116797. [Google Scholar] [CrossRef]
- Liu, S.; Fang, Z.; Ng, K. Incorporating inulin and chitosan in alginate-based microspheres for targeted delivery and release of quercetin to colon. Food Res. Int. 2022, 160, 111749. [Google Scholar] [CrossRef] [PubMed]
- Han, Z.; Wang, P.; Mao, G.; Yin, T.; Zhong, D.; Yiming, B.; Hu, X.; Jia, Z.; Nian, G.; Qu, S.; et al. A Dual pH-Responsive Hydrogel Actuator for Lipophilic Drug Delivery. ACS Appl. Mater. Interfaces 2020, 12, 12010–12017. [Google Scholar] [CrossRef]
- Rezazadeh, M.; Akbari, V.; Amuaghae, E.; Emami, J. Preparation and characterization of an injectable thermosensitive hydrogel for simultaneous delivery of paclitaxel and doxorubicin. Res. Pharm. Sci. 2018, 13, 181–191. [Google Scholar]
- Chen, Y.; Qiu, Y.; Wang, Q.; Li, D.; Hussain, T.; Ke, H.; Wei, Q. Mussel-inspired sandwich-like nanofibers/hydrogel composite with super adhesive, sustained drug release and anti-infection capacity. Chem. Eng. J. 2020, 399, 125668. [Google Scholar] [CrossRef]
- Ding, H.; Liu, J.; Huo, P.; Ding, R.; Shen, X.; Mao, H.; Wen, Y.; Li, H.; Wu, Z.L. Ultra-stretchable and conductive polyacrylamide/carboxymethyl chitosan composite hydrogels with low modulus and fast self-recoverability as flexible strain sensors. Int. J. Biol. Macromol. 2023, 253, 127146. [Google Scholar] [CrossRef]
- Liao, M.; Liao, H.; Ye, J.; Wan, P.; Zhang, L. A Polyvinyl Alcohol Stabilized Liquid Metal Hydrogel for Wearable Transient Epidermal Sensors. ACS Appl. Mater. Interfaces 2019, 11, 47358–477364. [Google Scholar] [CrossRef]
- Zhou, M.; Smith, A.M.; Das, A.K.; Hodson, N.W.; Collins, R.F.; Ulijn, R.V.; Gough, J.E. Self-assembled peptide-based hydrogels as scaffolds for anchorage-dependent cells. Biomaterials 2009, 30, 2523–2530. [Google Scholar] [CrossRef] [PubMed]
- Du, X.; Liu, Y.; Yan, H.; Rafique, M.; Li, S.; Shan, X.; Wu, L.; Qiao, M.; Kong, D.; Wang, L. Anti-Infective and Pro-Coagulant Chitosan-Based Hydrogel Tissue Adhesive for Sutureless Wound Closure. Biomacromolecules 2020, 21, 1243–1253. [Google Scholar] [CrossRef] [PubMed]
- Bowland, P.; Ingham, E.; Jennings, L.; Fisher, J. Review of the biomechanics and biotribology of osteochondral grafts used for surgical interventions in the knee. Proc. Inst. Mech. Eng. Part H J. Eng. Med. 2015, 229, 879–888. [Google Scholar] [CrossRef] [PubMed]
- Jain, A.; Gupta, Y.; Jain, S.K. Perspectives of biodegradable natural polysaccharides for site-specific drug delivery to the colon. J. Pharm. Pharm. Sci. 2007, 10, 86–128. [Google Scholar] [PubMed]
- Fang, W.; Song, T.; Wang, L.; Han, T.; Xiang, Z.; Rojas, O.J. Influence of formic acid esterified cellulose nanofibrils on compressive strength, resilience and thermal stability of polyvinyl alcohol-xylan hydrogel. Carbohydr. Polym. 2023, 308, 120663. [Google Scholar] [CrossRef] [PubMed]
- Wang, T.; Yi, W.; Zhang, Y.; Wu, H.; Fan, H.; Zhao, J.; Wang, S. Sodium alginate hydrogel containing platelet-rich plasma for wound healing. Colloids Surf. B Biointerfaces 2023, 222, 113096. [Google Scholar] [CrossRef]
- Hamedi, H.; Moradi, S.; Hudson, S.M.; Tonelli, A.E. Chitosan based hydrogels and their applications for drug delivery in wound dressings: A review. Carbohydr. Polym. 2018, 199, 445–460. [Google Scholar] [CrossRef] [PubMed]
- Alvarez-Sabatel, S.; de Marañón, I.M.; Arboleya, J.-C. Impact of high pressure homogenisation (HPH) on inulin gelling properties, stability and development during storage. Food Hydrocoll. 2015, 44, 333–344. [Google Scholar] [CrossRef]
- Koch, K.; Andersson, R.; Rydberg, I.; Åman, P. Influence of harvest date on inulin chain length distribution and sugar profile for six chicory (Cichorium intybus L) cultivars. J. Sci. Food Agric. 1999, 79, 1503–1506. [Google Scholar] [CrossRef]
- Kirtania, M.D.; Kahali, N.; Maity, A. Chapter 8—Inulin-based hydrogel. In Plant and Algal Hydrogels for Drug Delivery and Regenerative Medicine; Giri, T.K., Ghosh, B., Eds.; Woodhead Publishing: Cambridge, UK, 2021; pp. 261–292. [Google Scholar]
- Afinjuomo, F.; Abdella, S.; Youssef, S.H.; Song, Y.; Garg, S. Inulin and Its Application in Drug Delivery. Pharmaceuticals 2021, 14, 855. [Google Scholar] [CrossRef]
- Pintor, A.; Severiano-Pérez, P.; Totosaus, A. Optimization of fat-reduced ice cream formulation employing inulin as fat replacer via response surface methodology. Food Sci. Technol. Int. 2014, 20, 489–500. [Google Scholar] [CrossRef]
- Leyva-Porras, C.; López-Pablos, A.; Alvarez-Salas, C.; Pérez-Urizar, J.; Saavedra-Leos, Z. Physical properties of inulin and technological applications. In Polysacch; Ramawat, K.G., Mérillon, J.M., Eds.; Springer: New York, NY, USA, 2015; pp. 959–984. [Google Scholar]
- Crowe, J.H.; Crowe, L.M.; Carpenter, J.F.; Rudolph, A.; Wistrom, C.A.; Spargo, B.; Anchordoguy, T. Interactions of sugars with membranes. Biochim. Biophys. Acta (BBA) Rev. Biomembr. 1988, 947, 367–384. [Google Scholar] [CrossRef]
- Kim, Y.; Faqih, M.N.; Wang, S.S. Factors affecting gel formation of inulin. Carbohydr. Polym. 2001, 46, 135–145. [Google Scholar] [CrossRef]
- Maris, B.; Verheyden, L.; Van Reeth, K.; Samyn, C.; Augustijns, P.; Kinget, R.; Van den Mooter, G. Synthesis and characterisation of inulin-azo hydrogels designed for colon targeting. Int. J. Pharm. 2001, 213, 143–152. [Google Scholar] [CrossRef] [PubMed]
- Mandracchia, D.; Denora, N.; Franco, M.; Pitarresi, G.; Giammona, G.; Trapani, G. New biodegradable hydrogels based on inulin and α, β-polyaspartylhydrazide designed for colonic drug delivery: In vitro release of glutathione and oxytocin. J. Biomater. Sci. Polym. Ed. 2011, 22, 313–328. [Google Scholar] [CrossRef] [PubMed][Green Version]
- Florowska, A.; Hilal, A.; Florowski, T.; Mrozek, P.; Wroniak, M. Sodium Alginate and Chitosan as Components Modifying the Properties of Inulin Hydrogels. Gels 2022, 8, 63. [Google Scholar] [CrossRef] [PubMed]
- Spizzirri, U.; Altimari, I.; Puoci, F.; Parisi, O.; Iemma, F.; Picci, N. Innovative antioxidant thermo-responsive hydrogels by radical grafting of catechin on inulin chain. Carbohydr. Polym. 2011, 84, 517–523. [Google Scholar] [CrossRef]
- Cao, Y.; Mezzenga, R. Design principles of food gels. Nat. Food 2020, 1, 106–118. [Google Scholar] [CrossRef] [PubMed]
- Li, J.; Jia, X.; Yin, L. Hydrogel: Diversity of Structures and Applications in Food Science. Food Rev. Int. 2021, 37, 313–372. [Google Scholar] [CrossRef]
- Han, K.; Nam, J.; Xu, J.; Sun, X.; Huang, X.; Animasahun, O.; Achreja, A.; Jeon, J.H.; Pursley, B.; Kamada, N.; et al. Generation of systemic antitumour immunity via the in situ modulation of the gut microbiome by an orally administered inulin gel. Nat. Biomed. Eng. 2021, 5, 1377–1388. [Google Scholar] [CrossRef]
- Glibowski, P.; Wasko, A. Effect of thermochemical treatment on the structure of inulin and its gelling properties. Int. J. Food Sci. Technol. 2008, 43, 2075–2082. [Google Scholar] [CrossRef]
- Florowska, A.; Hilal, A.; Florowski, T.; Wroniak, M. Addition of Selected Plant-Derived Proteins as Modifiers of Inulin Hydrogels Properties. Foods 2020, 9, 845. [Google Scholar] [CrossRef] [PubMed]
- Lou, X.; Luo, D.; Yue, C.; Zhang, T.; Li, P.; Xu, Y.; Xu, B.; Xiang, J. Effect of ultrasound treatment on the physicochemical and structural properties of long-chain inulin. LWT 2022, 154, 112578. [Google Scholar] [CrossRef]
- Florowska, A.; Florowski, T.; Sokołowska, B.; Adamczak, L.; Szymańska, I. Effects of Pressure Level and Time Treatment of High Hydrostatic Pressure (HHP) on Inulin Gelation and Properties of Obtained Hydrogels. Foods 2021, 10, 2514. [Google Scholar] [CrossRef] [PubMed]
- Florowska, A.; Florowski, T.; Sokołowska, B.; Janowicz, M.; Adamczak, L.; Pietrzak, D. Effect of high hydrostatic pressure on formation and rheological properties of inulin gels. LWT 2020, 121, 108995. [Google Scholar] [CrossRef]
- Florowska, A.; Florowski, T.; Kruszewski, B.; Janiszewska-Turak, E.; Bykowska, W.; Ksibi, N. Thermal and Modern, Non-Thermal Method Induction as a Factor of Modification of Inulin Hydrogel Properties. Foods 2023, 12, 4154. [Google Scholar] [CrossRef] [PubMed]
- Vervoort, L.; Van den Mooter, G.; Augustijns, P.; Busson, R.; Toppet, S.; Kinget, R. Inulin Hydrogels as Carriers for Colonic Drug Targeting: I. Synthesis and Characterization of Methacrylated Inulin and Hydrogel Formation. Pharm. Res. 1997, 14, 1730–1737. [Google Scholar] [CrossRef] [PubMed]
- Chiu, H.C.; Hsu, Y.H.; Lin, P.J. Synthesis of pH-sensitive inulin hydrogels and characterization of their swelling properties. J. Biomed. Mater. Res. 2002, 61, 146–152. [Google Scholar] [CrossRef] [PubMed]
- Vervoort, L.; Vinckier, I.; Moldenaers, P.; Van den Mooter, G.; Augustijns, P.; Kinget, R. Inulin hydrogels as carriers for colonic drug targeting. Rheological characterization of the hydrogel formation and the hydrogel network. J. Pharm. Sci. 1999, 88, 209–214. [Google Scholar] [CrossRef]
- Sahiner, N.; Sagbas, S.; Yoshida, H.; Lyon, L.A. Synthesis and properties of inulin based microgels. Colloids Surf. A Physicochem. Eng. Asp. 2014, 2, 15–18. [Google Scholar] [CrossRef]
- Castelli, F.; Sarpietro, M.G.; Micieli, D.; Ottimo, S.; Pitarresi, G.; Tripodo, G.; Carlisi, B.; Giammona, G. Differential scanning calorimetry study on drug release from an inulin-based hydrogel and its interaction with a biomembrane model: pH and loading effect. Eur. J. Pharm. Sci. 2008, 35, 76–85. [Google Scholar] [CrossRef] [PubMed]
- Sánchez-Moreno, V.E.; Sandoval-Pauker, C.; Aldas, M.; Ciobotă, V.; Luna, M.; Vargas Jentzsch, P.; Muñoz Bisesti, F. Synthesis of inulin hydrogels by electron beam irradiation: Physical, vibrational spectroscopic and thermal characterization and arsenic removal as a possible application. J. Polym. Res. 2020, 27, 184. [Google Scholar] [CrossRef]
- Rahnama, H.; Nouri Khorasani, S.; Aminoroaya, A.; Molavian, M.R.; Allafchian, A.; Khalili, S. Facile preparation of chitosan-dopamine-inulin aldehyde hydrogel for drug delivery application. Int. J. Biol. Macromol. 2021, 185, 716–724. [Google Scholar] [CrossRef] [PubMed]
- Afinjuomo, F.; Barclay, T.G.; Song, Y.; Parikh, A.; Petrovsky, N.; Garg, S. Synthesis and characterization of a novel inulin hydrogel crosslinked with pyromellitic dianhydride. React. Funct. Polym. 2019, 134, 104–111. [Google Scholar] [CrossRef]
- Pitarresi, G.; Tripodo, G.; Calabrese, R.; Craparo, E.F.; Licciardi, M.; Giammona, G. Hydrogels for Potential Colon Drug Release by Thiol-ene Conjugate Addition of a New Inulin Derivative. Macromol. Biosci. 2008, 8, 891–902. [Google Scholar] [CrossRef] [PubMed]
- Izawa, K.; Akiyama, K.; Abe, H.; Togashi, Y.; Hasegawa, T. Inulin-based glycopolymer: Its preparation, lectin-affinity and gellation property. Bioorg. Med. Chem. 2013, 21, 2895–2902. [Google Scholar] [CrossRef] [PubMed]
- Bahadori, F.; Akinan, B.S.; Akyil, S.; Eroglu, M.S. Synthesis and engineering of sodium alginate/inulin core-shell nano-hydrogels for controlled-release oral delivery of 5-ASA. Org. Commun. 2019, 12, 132–142. [Google Scholar] [CrossRef]
- Ferreira, L.; Carvalho, R.; Gil, M.H.; Dordick, J.S. Enzymatic Synthesis of Inulin-Containing Hydrogels. Biomacromolecules 2002, 3, 333–341. [Google Scholar] [CrossRef][Green Version]
- Cai, B.; Mazahreh, J.; Ma, Q.; Wang, F.; Hu, X. Ultrasound-assisted fabrication of biopolymer materials: A review. Int. J. Biol. Macromol. 2022, 209, 1613–1628. [Google Scholar] [CrossRef]
- Zhang, X.; Chen, X.; Gong, Y.; Li, Z.; Guo, Y.; Yu, D.; Pan, M. Emulsion gels stabilized by soybean protein isolate and pectin: Effects of high intensity ultrasound on the gel properties, stability and β-carotene digestive characteristics. Ultrason. Sonochem. 2021, 79, 105756. [Google Scholar] [CrossRef]
- Dumay, E.; Chevalier-Lucia, D.; Picart-Palmade, L.; Benzaria, A.; Gràcia-Julià, A.; Blayo, C. Technological aspects and potential applications of (ultra) high-pressure homogenisation. Trends Food Sci. Technol. 2013, 31, 13–26. [Google Scholar] [CrossRef]
- Elain, A.; Nkounkou, C.; Le Fellic, M.; Donnart, K. Green extraction of polysaccharides from Arthrospira platensis using high pressure homogenization. J. Appl. Phycol. 2020, 32, 1719–1727. [Google Scholar] [CrossRef]
- Chen, X.; Liang, L.; Xu, X. Advances in converting of meat protein into functional ingredient via engineering modification of high pressure homogenization. Trends Food Sci. Technol. 2020, 106, 12–29. [Google Scholar] [CrossRef]
- Yamamoto, K. Food Processing by High Hydrostatic Pressure; Oxford University Press: Oxford, UK, 2017. [Google Scholar]
- Dominguez-Ayala, J.E.; Soler, A.; Mendez-Montealvo, G.; Velazquez, G. Supramolecular structure and technofunctional properties of starch modified by high hydrostatic pressure (HHP): A review. Carbohydr. Polym. 2022, 291, 119609. [Google Scholar] [CrossRef]
- Cho, J.; Grant, J.; Piquette-Miller, M.; Allen, C. Synthesis and Physicochemical and Dynamic Mechanical Properties of a Water-Soluble Chitosan Derivative as a Biomaterial. Biomacromolecules 2006, 7, 2845–2855. [Google Scholar] [CrossRef] [PubMed]
- Guo, B.; Yuan, J.; Yao, L.; Gao, Q. Preparation and release profiles of pH/temperature-responsive carboxymethyl chitosan/P(2-(dimethylamino) ethyl methacrylate) semi-IPN amphoteric hydrogel. Colloid Polym. Sci. 2007, 285, 665–671. [Google Scholar] [CrossRef]
- Mandracchia, D.; Trapani, A.; Perteghella, S.; Di Franco, C.; Torre, M.L.; Calleri, E.; Tripodo, G. A Micellar-Hydrogel Nanogrid from a UV Crosslinked Inulin Derivative for the Simultaneous Delivery of Hydrophobic and Hydrophilic Drugs. Pharmaceutics 2018, 10, 97. [Google Scholar] [CrossRef] [PubMed]
- Schmid, A.; Dordick, J.S.; Hauer, B.; Kiener, A.; Wubbolts, M.; Witholt, B. Industrial biocatalysis today and tomorrow. Nature 2001, 409, 258–268. [Google Scholar] [CrossRef] [PubMed]
- Patil, D.R.; Dordick, J.S.; Rethwisch, D.G. Chemoenzymatic synthesis of novel sucrose-containing polymers. Macromolecules 1991, 24, 3462–3463. [Google Scholar] [CrossRef]
- Liang, X.; Ding, H.; Wang, Q.; Sun, G. Tough physical hydrogels reinforced by hydrophobic association with remarkable mechanical property, rapid stimuli-responsiveness and fast self-recovery capability. Eur. Polym. J. 2019, 120, 109278. [Google Scholar] [CrossRef]
- Liang, R.; Li, Z.J.; Weng, L.T.; Zhang, L.N.; Sun, G.X. Recoverable hydrogel with high stretchability and toughness achieved by low-temperature hydration of Portland cement. Mater. Chem. Front. 2018, 2, 2076–2080. [Google Scholar] [CrossRef]
- Ahn, S.-k.; Kasi, R.M.; Kim, S.-C.; Sharma, N.; Zhou, Y. Stimuli-responsive polymer gels. Soft Matter 2008, 4, 1151–1157. [Google Scholar] [CrossRef] [PubMed]
- Gupta, N.; Liang, Y.N.; Lim, J.S.K.; Hu, X. Design Rationale for Stimuli-Responsive, Semi-interpenetrating Polymer Network Hydrogels–A Quantitative Approach. Macromol. Rapid Commun. 2020, 41, 2000199. [Google Scholar] [CrossRef] [PubMed]
- Iemma, F.; Spizzirri, U.G.; Puoci, F.; Cirillo, G.; Curcio, M.; Parisi, O.I.; Picci, N. Synthesis and release profile analysis of thermo-sensitive albumin hydrogels. Colloid Polym. Sci. 2009, 287, 779–787. [Google Scholar] [CrossRef]
- Geever, L.M.; Devine, D.M.; Nugent, M.J.D.; Kennedy, J.E.; Lyons, J.G.; Hanley, A.; Higginbotham, C.L. Lower critical solution temperature control and swelling behaviour of physically crosslinked thermosensitive copolymers based on N-isopropylacrylamide. Eur. Polym. J. 2006, 42, 2540–2548. [Google Scholar] [CrossRef]
- Dai, L.; Xi, X.; Li, X.; Li, W.; Du, Y.; Lv, Y.; Wang, W.; Ni, Y. Self-assembled all-polysaccharide hydrogel film for versatile paper-based food packaging. Carbohydr. Polym. 2021, 271, 118425. [Google Scholar] [CrossRef] [PubMed]
- Janecko, N.; Zamudio, R.; Palau, R.; Bloomfield, S.J.; Mather, A.E. Repeated cross-sectional study identifies differing risk factors associated with microbial contamination in common food products in the United Kingdom. Food Microbiol. 2023, 111, 104196. [Google Scholar] [CrossRef] [PubMed]
- Giri, S.; Dutta, P.; Giri, T.K. Inulin-based carriers for colon drug targeting. J. Drug Deliv. Sci. Technol. 2021, 64, 102595. [Google Scholar] [CrossRef]
- Pintado, T.; Herrero, A.M.; Jiménez-Colmenero, F.; Pasqualin Cavalheiro, C.; Ruiz-Capillas, C. Chia and oat emulsion gels as new animal fat replacers and healthy bioactive sources in fresh sausage formulation. Meat Sci. 2018, 135, 6–13. [Google Scholar] [CrossRef]
- Li, Y.; Xu, Z.; Sun, J.; Zhu, Y. Effects of an inulin and microcrystalline cellulose hybrid hydrogel on the short-term low temperature storage characteristics of pork sausage models. Food Hydrocoll. 2023, 139, 108572. [Google Scholar] [CrossRef]
- Shoaib, M.; Shehzad, A.; Omar, M.; Rakha, A.; Raza, H.; Sharif, H.R.; Shakeel, A.; Ansari, A.; Niazi, S. Inulin: Properties, health benefits and food applications. Carbohydr. Polym. 2016, 147, 444–454. [Google Scholar] [CrossRef] [PubMed]
- Barclay, T.; Ginic-Markovic, M.; Cooper, P.; Petrovsky, N. Inulin-a versatile polysaccharide with multiple pharmaceutical and food chemical uses. J. Excip. Food Chem. 2010, 1, 27–50. [Google Scholar]
- Simões, D.; Miguel, S.P.; Ribeiro, M.P.; Coutinho, P.; Mendonça, A.G.; Correia, I.J. Recent advances on antimicrobial wound dressing: A review. Eur. J. Pharm. Biopharm. 2018, 127, 130–141. [Google Scholar] [CrossRef] [PubMed]
- Kamoun, E.A.; Kenawy, E.-R.S.; Chen, X. A review on polymeric hydrogel membranes for wound dressing applications: PVA-based hydrogel dressings. J. Adv. Res. 2017, 8, 217–233. [Google Scholar] [CrossRef] [PubMed]
- Zhao, Y.; Li, Z.; Song, S.; Yang, K.; Liu, H.; Yang, Z.; Wang, J.; Yang, B.; Lin, Q. Skin-Inspired Antibacterial Conductive Hydrogels for Epidermal Sensors and Diabetic Foot Wound Dressings. Adv. Funct. Mater. 2019, 29, 1901474. [Google Scholar] [CrossRef]
- Chen, P.; Wu, Z.; Leung, A.; Chen, X.; Landao-Bassonga, E.; Gao, J.; Chen, L.; Zheng, M.; Yao, F.; Yang, H. Fabrication of a silver nanoparticle-coated collagen membrane with anti-bacterial and anti-inflammatory activities for guided bone regeneration. Biomed. Mater. 2018, 13, 065014. [Google Scholar] [CrossRef] [PubMed]
- Afinjuomo, F.; Fouladian, P.; Parikh, A.; Barclay, T.G.; Song, Y.; Garg, S. Preparation and characterization of oxidized inulin hydrogel for controlled drug delivery. Pharmaceutics 2019, 11, 356. [Google Scholar] [CrossRef]
- Kalirajan, C.; Behera, H.; Selvaraj, V.; Palanisamy, T. In vitro probing of oxidized inulin cross-linked collagen-ZrO2 hybrid scaffolds for tissue engineering applications. Carbohydr. Polym. 2022, 289, 119458. [Google Scholar] [CrossRef] [PubMed]
- Haj-Ahmad, R.R.; Elkordy, A.A.; Chaw, C.S.; Moore, A. Compare and contrast the effects of surfactants (Pluronic® F-127 and Cremophor® EL) and sugars (β-cyclodextrin and inulin) on properties of spray dried and crystallised lysozyme. Eur. J. Pharm. Sci. 2013, 49, 519–534. [Google Scholar] [CrossRef] [PubMed]
- Tripodo, G.; Pitarresi, G.; Palumbo, F.S.; Craparo, E.F.; Giammona, G. UV-photocrosslinking of inulin derivatives to produce hydrogels for drug delivery application. Macromol. Biosci. 2005, 5, 1074–1084. [Google Scholar] [CrossRef]
- Tripodo, G.; Pitarresi, G.; Cavallaro, G.; Palumbo, F.S.; Giammona, G. Controlled Release of IgG by Novel UV Induced Polysaccharide/Poly(amino acid) Hydrogels. Macromol. Biosci. 2009, 9, 393–401. [Google Scholar] [CrossRef] [PubMed]
- Pitarresi, G.; Giacomazza, D.; Triolo, D.; Giammona, G.; San Biagio, P.L. Rheological characterization and release properties of inulin-based hydrogels. Carbohydr. Polym. 2012, 88, 1033–1040. [Google Scholar] [CrossRef]
- Xu, J.; Kenar, J.A. Rheological and Micro-Rheological Properties of Chicory Inulin Gels. Gels 2024, 10, 171. [Google Scholar] [CrossRef] [PubMed]
- Zhang, Z.; Pan, Y.; Guo, Z.; Fan, X.; Pan, Q.; Gao, W.; Luo, K.; Pu, Y.; He, B. An olsalazine nanoneedle-embedded inulin hydrogel reshapes intestinal homeostasis in inflammatory bowel disease. Bioact. Mater. 2024, 33, 71–84. [Google Scholar] [CrossRef] [PubMed]
- Vinogradov, M.I.; Makarov, I.S.; Golova, L.K.; Gromovykh, P.S.; Kulichikhin, V.G. Rheological Properties of Aqueous Dispersions of Bacterial Cellulose. Processes 2020, 8, 423. [Google Scholar] [CrossRef]
- Van den Mooter, G.; Vervoort, L.; Kinget, R. Characterization of methacrylated inulin hydrogels designed for colon targeting: In Vitro release of BSA. Pharm. Res. 2003, 20, 303–307. [Google Scholar] [CrossRef] [PubMed]
- Pitarresi, G.; Triolo, D.; Giorgi, M.; Fiorica, C.; Calascibetta, F.; Giammona, G. Inulin-Based Hydrogel for Oral Delivery of Flutamide: Preparation, Characterization, and in vivo Release Studies. Macromol. Biosci. 2012, 12, 770–778. [Google Scholar] [CrossRef] [PubMed]
- Norudin, N.S.; Mohamed, H.N.; Yahya, N.A.M. Controlled released alginate-inulin hydrogel: Development and in-vitro characterization. AIP Conf. Proc. 2018, 2016, 020113. [Google Scholar]
- Kim, S.W.; Bae, Y.H.; Okano, T. Hydrogels: Swelling, drug loading, and release. Pharm. Res. 1992, 9, 283–290. [Google Scholar] [CrossRef]
- Wang, J.; Zhao, X.; Zhou, C.; Wang, C.; Zheng, Y.; Ye, K.; Li, C.; Zhou, G. Effects of gellan gum and inulin on mixed-gel properties and molecular structure of gelatin. Food Sci. Nutr. 2021, 9, 1336–1346. [Google Scholar] [CrossRef]
- Oh, E.J.; Park, K.; Kim, K.S.; Kim, J.; Yang, J.-A.; Kong, J.-H.; Lee, M.Y.; Hoffman, A.S.; Hahn, S.K. Target specific and long-acting delivery of protein, peptide, and nucleotide therapeutics using hyaluronic acid derivatives. J. Control. Release 2010, 141, 2–12. [Google Scholar] [CrossRef] [PubMed]
- Catenacci, L.; Sorrenti, M.; Perteghella, S.; Mandracchia, D.; Torre, M.L.; Trapani, A.; Milanese, C.; Tripodo, G. Combination of inulin and β-cyclodextrin properties for colon delivery of hydrophobic drugs. Int. J. Pharm. 2020, 589, 119861. [Google Scholar] [CrossRef] [PubMed]
- Kedar, U.; Phutane, P.; Shidhaye, S.; Kadam, V. Advances in polymeric micelles for drug delivery and tumor targeting. Nanomed. Nanotechnol. Biol. Med. 2010, 6, 714–729. [Google Scholar] [CrossRef] [PubMed]
- Ungaro, R.; Mehandru, S.; Allen, P.B.; Peyrin-Biroulet, L.; Colombel, J.-F. Ulcerative colitis. Lancet 2017, 389, 1756–1770. [Google Scholar] [CrossRef]
- Pu, Y.; Fan, X.; Zhang, Z.; Guo, Z.; Pan, Q.; Gao, W.; Luo, K.; He, B. Harnessing polymer-derived drug delivery systems for combating inflammatory bowel disease. J. Control. Release 2023, 354, 1–18. [Google Scholar] [CrossRef]






| Method | Advantages | Disadvantages | Ref. | |
|---|---|---|---|---|
| Physical Methods | Thermal Induction | Simple, straightforward | Weak mechanical strength | [25,28,32,33,34] |
| Non-Thermal Induction (Ultrasound, HPH, HHP) | Avoids thermal degradation, higher elasticity, higher viscosity, and lower fluidity | Requires specialized equipment; the operation may be more complex | [18,35,36,37,38] | |
| Chemical Methods | Free-Radical Polymerization (with methacrylated inulin) | Stable hydrogels with improved mechanical properties via covalent crosslinking | Involves chemical modification of inulin; may raise biocompatibility concerns | [39,40,41,42] |
| Radiation Crosslinking (UV, electron beam) | Avoids the use of toxic initiators; simple process; and stable hydrogels with improved mechanical properties via covalent crosslinking | Requires specialized equipment; potential radiation damage | [43,44] | |
| Other Chemical Crosslinking (click chemistry, Schiff base, esterification) | Allows introduction of various functional groups, tunable properties like pH sensitivity | Complex synthesis; potential toxicity issues from reagents/initiators | [42,45,46,47,48,49] | |
| Enzymatic synthesis of inulin derivative | Highly specific, regioselective, mild reaction conditions | Limited availability and high cost of enzymes | [50] |
| Drug Delivery System | Model Drug or Protein | Advantages and Contributions | Disadvantages and Limitations | Ref. No |
|---|---|---|---|---|
| Cu2(Olsa) Gel |
|
|
| [87] |
| MA-IN Hydrogel | Bovine serum albumin (BSA) |
|
| [89] |
| INUDV/PEGBa hydrogel | Flutamide |
|
| [90] |
| INUPAHy hydrogels. | Glutathione (GSH) Oxytocin (OT) |
|
| [27] |
| INVITEMA micellar-hydrogel nanogrids | beclomethasone dipropionate (BDP) |
|
| [60] |
| INUAAD Hydrogels | 5-fluorouracil (5FU) |
|
| [80] |
| CS/DA/IA hydrogel | Indomethacin, Dopamine |
|
| [45] |
| Sodium alginate-inulin hydrogel | Bovine serum albumin (BSA) |
|
| [91] |
Disclaimer/Publisher’s Note: The statements, opinions and data contained in all publications are solely those of the individual author(s) and contributor(s) and not of MDPI and/or the editor(s). MDPI and/or the editor(s) disclaim responsibility for any injury to people or property resulting from any ideas, methods, instructions or products referred to in the content. |
© 2024 by the authors. Licensee MDPI, Basel, Switzerland. This article is an open access article distributed under the terms and conditions of the Creative Commons Attribution (CC BY) license (https://creativecommons.org/licenses/by/4.0/).
Share and Cite
Liang, X.; Lin, D.; Zhang, W.; Chen, S.; Ding, H.; Zhong, H.-J. Progress in the Preparation and Application of Inulin-Based Hydrogels. Polymers 2024, 16, 1492. https://doi.org/10.3390/polym16111492
Liang X, Lin D, Zhang W, Chen S, Ding H, Zhong H-J. Progress in the Preparation and Application of Inulin-Based Hydrogels. Polymers. 2024; 16(11):1492. https://doi.org/10.3390/polym16111492
Chicago/Turabian StyleLiang, Xiaoxu, Danlei Lin, Wen Zhang, Shiji Chen, Hongyao Ding, and Hai-Jing Zhong. 2024. "Progress in the Preparation and Application of Inulin-Based Hydrogels" Polymers 16, no. 11: 1492. https://doi.org/10.3390/polym16111492
APA StyleLiang, X., Lin, D., Zhang, W., Chen, S., Ding, H., & Zhong, H.-J. (2024). Progress in the Preparation and Application of Inulin-Based Hydrogels. Polymers, 16(11), 1492. https://doi.org/10.3390/polym16111492

