Preparation and Performance Study of Boron Adsorbent from Plasma-Grafted Polypropylene Melt-Blown Fibers
Abstract
1. Introduction
2. Experimental
2.1. Materials and Apparatus
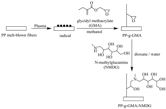
2.2. Preparation of Adsorbent
2.2.1. Pretreatment of PP Fibers
2.2.2. Preparation of PP-g-GMA
2.2.3. Preparation of PP-g-GMA-NMDG
2.3. Characterizations
2.4. Adsorption Experiment of PP-g-GMA-NMDG
2.4.1. pH
2.4.2. Adsorption Kinetics
2.4.3. Adsorption Isotherms
2.4.4. Adsorption Thermodynamics
2.4.5. Adsorption Selectivity
2.4.6. Reusability
3. Results and Discussion
3.1. Optimization of Graft Polymerization Conditions
3.1.1. Plasma Treatment Atmosphere
3.1.2. Plasma Treatment Time Subsubsection
3.1.3. Concentration of GMA
3.1.4. Graft Polymerization Time
3.1.5. Graft Polymerization Temperature
3.2. Orthogonal Experiment for Optimizing Combination Conditions
3.2.1. Determination of Experimental Factor Levels Table
3.2.2. Analysis of Orthogonal Experimental Results
3.2.3. Variance Analysis and Discussion
3.2.4. The Amount of NMDG
3.3. Characterizations
3.3.1. FT-IR
3.3.2. SEM
3.3.3. Water Contact Angle
3.4. Characterizations
3.4.1. pH
3.4.2. Adsorption Time and Adsorption Kinetics
3.4.3. Adsorption Isotherm and Adsorption Thermodynamics
3.4.4. Adsorption Selectivity
3.4.5. Reusability
3.4.6. Comparison of Adsorption Capacity with Other Adsorbents
4. Conclusions
Author Contributions
Funding
Institutional Review Board Statement
Data Availability Statement
Conflicts of Interest
References
- Jiao, S.; Zheng, H.Y.; Qu, Y.Y.; Liu, B.Q.; Han, B.B. Analysis of global boron mineral resources supply and demand situation. China Land Resour. Inf. 2020, 10, 85–89. [Google Scholar]
- Yao, T. Analysis of the Development Situation and Prospect of Boron Resources. China Land Resour. Inf. 2014, 8, 14–17. [Google Scholar]
- Brdar-Jokanović, M. Boron Toxicity and Deficiency in Agricultural Plants. Int. J. Mol. Sci. 2020, 21, 1424. [Google Scholar] [CrossRef] [PubMed]
- Schubert, D.M. Borates in Industrial Use; Springer: Berlin/Heidelberg, Germany, 2003; Volume 150, pp. 1–40. [Google Scholar]
- Hwang, S.D.; Byun, D. Fabrication of boron-carbide/boron heterojunction devices. Appl. Phys. Lett. 1996, 68, 1495–1497. [Google Scholar] [CrossRef]
- Lin, C.T.; Chen, C.; Liu, H.Y. Boron prospecting based on boron cycling in subduction zone. Acta Petrol. Sin. 2020, 36, 5–12. [Google Scholar]
- Wu, Z.; Tai, G.; Shao, W.; Wang, R.; Hou, C. Experimental realization of quasicubic boron sheets. Nanoscale 2020, 12, 3787–3794. [Google Scholar] [CrossRef] [PubMed]
- Abdelnour, S.A.; Abd, E.M.E.; Swelum, A.A.; Perillo, A.; Losacco, C. The vital roles of boron in animal health and production: A comprehensive review. J. Trace Elem. Med. Biol. 2018, 50, 296–304. [Google Scholar] [CrossRef] [PubMed]
- Kabay, N.; Güler, E.; Bryjak, M. Boron in seawater and methods for its separation—A review. Desalination 2010, 261, 212–217. [Google Scholar] [CrossRef]
- Chruszcz-Lipska, K.; Winid, B.; Madalska, G.A.; Macuda, J.; Łukańko, Ł. High Content of Boron in Curative Water: From the Spa to Industrial Recovery of Borates? (Poland as a Case Study). Minerals 2020, 11, 8. [Google Scholar] [CrossRef]
- Rizzoli, R.; Biver, E.; Brennan-Speranza, T.C. Nutritional intake and bone health. Lancet Diabetes Endocrinol. 2021, 9, 606–621. [Google Scholar] [CrossRef]
- Uluisik, I.; Karakaya, H.C.; Koc, A. The importance of boron in biological systems. J. Trace Elem. Med. Biol. 2018, 45, 156–162. [Google Scholar] [CrossRef] [PubMed]
- Xu, R.J.; Xing, X.R.; Zhou, Q.F.; Jiang, G.B.; Wei, F.S. Investigations on boron levels in drinking water sources in China. Environ. Monit. Assess. 2010, 165, 15–25. [Google Scholar] [CrossRef] [PubMed]
- Wang, B.; Guo, X.; Bai, P. Removal technology of boron dissolved in aqueous solutions—A review. Colloids Surf. A Physicochem. Eng. Asp. 2014, 444, 338–344. [Google Scholar] [CrossRef]
- Bektaş, N.; Öncel, S.; Akbulut, H.Y.; Dimoglo, A. Removal of boron by electrocoagulation. Environ. Chem. Lett. 2004, 2, 51–54. [Google Scholar] [CrossRef]
- Guan, Z.M.; Lv, J.F.; Bai, P.; Guo, X. Boron removal from aqueous solutions by adsorption—A review. Desalination 2016, 383, 29–37. [Google Scholar] [CrossRef]
- Vásquez Salazar, E.E.; Bolaos, F.P.H. Ion-exchange pilot test for the deboronation of previously treated mine drilling water in a reverse osmosis plant. Desalination Water Treat. 2023, 290, 36–45. [Google Scholar] [CrossRef]
- Zhang, R.; Xie, Y.; Song, J.; Xing, L.; Kong, D.; Li, X.M.; He, T. Extraction of boron from Salt Lake brine using 2-ethylhexanol. Hydrometallurgy 2016, 160, 129–136. [Google Scholar] [CrossRef]
- Joanna, K.; Małgorzata, G.; Alicja, K.J.; Dudek, G. Zirconium-chitosan hydrogel beads for removal of boron from aqueous solutions. Polymer 2018, 150, 109–118. [Google Scholar]
- Wang, B.; Lin, H.; Guo, X.; Bai, P. Boron Removal Using Chelating Resins with Pyrocatechol Functional Groups. Desalination 2014, 347, 138–143. [Google Scholar] [CrossRef]
- Bhagyaraj, S.; Al-Ghouti, M.A.; Kasak, P.; Krupa, I. An Updated Review on Boron Removal from Water through Adsorption Processes. Emergent Mater. 2021, 4, 1167–1186. [Google Scholar] [CrossRef]
- Kamcev, J.; Taylor, M.K.; Shin, D.-M.; Jarenwattananon, N.N.; Colwell, K.A.; Long, J.R. Functionalized Porous Aromatic Frameworks as High-Performance Adsorbents for the Rapid Removal of Boric Acid from Water. Adv. Mater. 2019, 31, 1808027. [Google Scholar] [CrossRef] [PubMed]
- Zhang, J.; Cai, Y.; Liu, K. Extremely Effective Boron Removal from Water by Stable Metal Organic Framework ZIF-67. Ind. Eng. Chem. Res. 2019, 58, 4199–4207. [Google Scholar] [CrossRef]
- Bilgic, A.; Cimen, A.; Kursunlu, A.N.; Karapınar, H.S.; Guler, E. Synthesis, characterization, and application of functionalized pillar[5]arene silica gel (Si-APTMS-pillar[5]arene) adsorbent for selectivity and effective removal of Cu(II) ion. J. Mater. Res. 2022, 37, 3587–3598. [Google Scholar] [CrossRef]
- Adeiga, O.I.; Velempini, T.; Pillay, K. Polyaniline-decorated Macadamia nutshell composite: An adsorbent for the removal of highly toxic Cr(VI) and efficient catalytic activity of the spent adsorbent for reuse. Polymer Bull. 2023, 80, 1951–1973. [Google Scholar] [CrossRef]
- Lian, Z.; Xu, Y.; Zuo, J.; Qian, H.; Luo, Z.; Wei, W. Preparation of PP-g-(AA-MAH) Fibers Using Suspension Grafting and Melt-Blown Spinning and its Adsorption for Aniline. Polymers 2020, 12, 2157. [Google Scholar] [CrossRef] [PubMed]
- Luo, Z.; Guo, M.; Jiang, H.; Geng, W.; Wei, W.; Lian, Z. Plasma polymerization mediated construction of surface ion-imprinted polypropylene fibers for the selective adsorption of Cr(VI). React. Funct. Polym. 2020, 150, 104552. [Google Scholar] [CrossRef]
- Huang, F.; Wei, Q.; Wang, X.; Xu, W. Dynamic contact angles and morphology of PP fibres treated with plasma. Polym. Test. 2006, 25, 22–27. [Google Scholar] [CrossRef]
- Chashmejahanbin, M.R.; Daemi, H.; Bariani, M.; Salimi, A. Noteworthy impacts of polyurethane-urea ionomers as the efficient polar coatings on adhesion strength of plasma treated polypropylene. Appl. Surf. Sci. 2014, 317, 688–695. [Google Scholar] [CrossRef]
- Salimi, A. Characterization of nano scale adhesion at solid surface of oxidized PP wax/PP blends. Int. J. Adhes. Adhes. 2012, 33, 61–66. [Google Scholar] [CrossRef]
- Maji, B.; Maiti, S. Chemical Modification of Xanthan Gum through Graft Copolymerization: Tailored Properties and Potential Applications in Drug Delivery and Wastewater Treatment. Carbohydr. Polym. 2021, 251, 117095. [Google Scholar] [CrossRef]
- Nghiem Thi, T.; Cao Hong, H.; Nurul Hayati, Y.; Kawahara, S. Graft Copolymerization of Methyl Methacrylate and Vinyltriethoxysilane Binary Monomers onto Natural Rubber. J. Polym. Res. 2021, 28, 246. [Google Scholar] [CrossRef]
- Li, D.; Xiong, M.; Wang, S.; Zeng, Q. Effects of low-temperature plasma treatment on wettability of glass surface: Molecular dynamic simulation and experimental study. Appl. Surf. Sci. 2020, 503, 144257. [Google Scholar] [CrossRef]
- Zhang, H.B.; Chen, Q. Recent progress of non-thermal plasma material surface treatment and functionalization. Acta Physica Sinica. 2021, 70, 095203–095217. [Google Scholar] [CrossRef]
- Yilma, B.B.; Luebben, J.F.; Nalankill, G. Cold Plasma Treatment in Wet Chemical Textile Processing. Fibres Text. East. Eur. 2020, 28, 118–126. [Google Scholar] [CrossRef]
- Chen, F.; Xu, W.; Huang, S.; Liu, J.; Song, J.; Liu, X. Plasma Hydrophilization of Superhydrophobic Surface and Its Aging Behavior: The Effect of Micro/nanostructured Surface. Surf. Interface Anal. 2016, 48, 368–372. [Google Scholar] [CrossRef]
- Cheng, C.Y.; Chuang, F.Y.; Chou, P.Y.; Huang, C. Surface Modification of Polytetrafluoroethylene by Atmospheric Pressure Plasma-Grafted Polymerization. Plasma Chem. Plasma Process. 2020, 40, 1507–1523. [Google Scholar] [CrossRef]
- Haji, A.; Mehrizi, M.K.; Sarani, M. Surface modification of Polypropylene Nonwoven by plasma and β-Cyclodextrin: Optimization and cationic dye removal studies. Surf. Interfaces 2021, 25, 101278. [Google Scholar] [CrossRef]
- Ezzati, R. Derivation of Pseudo-First-Order, Pseudo-Second-Order and Modified Pseudo-First-Order rate equations from Langmuir and Freundlich isotherms for adsorption. Chem. Eng. J. 2020, 392, 123705. [Google Scholar] [CrossRef]
- Kwon, O.J.; Myung, S.W.; Lee, C.S.; Choi, H.S. Comparison of the surface characteristics of polypropylene films treated by Ar and mixed gas (Ar/O2) atmospheric pressure plasma. J. Colloid Interface Sci. 2006, 295, 409–416. [Google Scholar] [CrossRef]
- Choi, H.S.; Kim, Y.S.; Zhang, Y.; Tang, S.; Myung, S.W.; Shin, B.C. Plasma-induced graft co-polymerization of acrylic acid onto the polyurethane surface. Surf. Coat. Technol. 2004, 182, 55–64. [Google Scholar] [CrossRef]
- Tahir, M.; Raza, A.; Nasir, A.; Yasin, T. Radiation induced graft polymerization of glycidyl methacrylate onto sepiolite. Radiat. Phys. Chem. 2021, 179, 109259. [Google Scholar] [CrossRef]
- Khan, I.A.; Hussain, H.; Yasin, T.; Inaam-ul-Hassan, M. Surface modification of mesoporous silica by radiation induced graft polymerization of styrene and subsequent sulfonation for ion-exchange applications. J. Appl. Polym. Sci. 2019, 137, 48835. [Google Scholar] [CrossRef]
- Yang, X.B.; Zhan, X.L.; Chen, F.Q. Advance in Solid-Phase Graft Polymerization of Polypropylene and Graft Mechanism. Petrochem. Technol. 2003, 32, 69–72. [Google Scholar]
- Petruš, J.; Korčušková, M.; Kučera, F.; Jančář, J. Solid-state hydroxylation of polypropylene. Mater. Today Commun. 2022, 31, 103428. [Google Scholar] [CrossRef]
- Mehanathan, S.; Jaafar, J.; Nasir, A.M.; Rahman, R.A.; Ismail, A.F.; Illias, R.M.; Othman, M.H.D.; A Rahman, M.; Bilad, M.R.; Naseer, M.N. Adsorptive Membrane for Boron Removal: Challenges and Future Prospects. Membranes 2022, 12, 798. [Google Scholar] [CrossRef] [PubMed]
- Bai, S.Q.; Chen, S.X.; Li, J.X.; Ya, R.; Ao, N.Q.; Wang, J. Effect of silicon on the mathematical model prediction and adsorption mechanism of boron removal by a fixed-bed column. J. Water Process Eng. 2022, 49, 103194. [Google Scholar] [CrossRef]
- Cengeloglu, Y.; Tor, A.; Arslan, G.; Ersoz, M.; Gezgin, S. Removal of Boron from Aqueous Solution by Using Neutralized Red Mud. J. Hazard. Mater. 2007, 142, 412–417. [Google Scholar] [CrossRef] [PubMed]
- Joanna, K.; Wojciech, P.; Katarzyna, K. Boron adsorption removal by commercial and modified activated carbons. Chem. Eng. Res. Des. Trans. Inst. Chem. Eng. 2019, 147, 30–42. [Google Scholar]
- Babiker, E.; Al-Ghouti, M.A.; Zouari, N.; McKay, G. Removal of Boron from Water Using Adsorbents Derived from Waste Tire Rubber. J. Environ. Chem. Eng. 2019, 7, 102948. [Google Scholar] [CrossRef]
- Abbasi, A.; Yahya, W.Z.N.; Nasef, M.M.; Moniruzzaman, M.; Ghumman, A.S.M.; Afolabi, H.K. Boron Removal by Glucamine-Functionalized Inverse Vulcanized Sulfur Polymer. React. Funct. Polym. 2022, 177, 105311. [Google Scholar] [CrossRef]

















| Levels | Factors | ||
|---|---|---|---|
| A GMA Concentration (%) | B Graft Polymerization Reaction Time (min) | C Graft Polymerization Reaction Temperature (°C) | |
| 1 | 10 | 90 | 65 |
| 2 | 15 | 120 | 60 |
| 3 | 20 | 150 | 75 |
| Test Number | A | B | C | Blank | Qe (mg/g) |
|---|---|---|---|---|---|
| 1 | 1 | 1 | 1 | 1 | 12.54 |
| 2 | 1 | 2 | 2 | 2 | 13.80 |
| 3 | 1 | 3 | 3 | 3 | 14.30 |
| 4 | 2 | 1 | 2 | 3 | 15.33 |
| 5 | 2 | 2 | 3 | 1 | 16.33 |
| 6 | 2 | 3 | 1 | 2 | 16.70 |
| 7 | 3 | 1 | 3 | 2 | 15.55 |
| 8 | 3 | 2 | 1 | 3 | 15.54 |
| 9 | 3 | 3 | 2 | 1 | 18.03 |
| k1 | 13.54 | 14.47 | 14.93 | 15.63 | |
| k2 | 16.12 | 15.22 | 15.72 | 15.35 | |
| k3 | 16.38 | 16.34 | 15.40 | 15.06 | |
| Rk | 2.83 | 1.87 | 0.79 | 0.58 | |
| The sequence of the factors | ABC | ||||
| Optimal scheme | A3B3C2 | ||||
| Factors | Sum of Squares | DOF | MES | F Value | p Value | Significance |
|---|---|---|---|---|---|---|
| GMA concentration | 15.51 | 2 | 7.76 | 29.53 | 0.03 | * |
| graft polymerization time | 5.61 | 2 | 2.81 | 10.69 | 0.09 | |
| graft polymerization temperature | 1.00 | 2 | 0.50 | 1.90 | 0.34 | |
| Error | 0.53 | 2 | 0.26 |
| Sample | Weight | Atomic | ||||
|---|---|---|---|---|---|---|
| C (%) | N (%) | O (%) | C (%) | N (%) | O (%) | |
| PP | 94.22 | 0.00 | 5.78 | 95.60 | 0.00 | 4.40 |
| PP-g-GMA | 67.06 | 0.00 | 32.94 | 73.06 | 0.00 | 26.94 |
| PP-g-GMA-NMDG | 55.39 | 5.05 | 39.56 | 61.95 | 4.84 | 33.21 |
| Qe,exp (mg/g) | Pseudo-First-Order Model | Pseudo-Second-Order Model | ||||
|---|---|---|---|---|---|---|
| Qe,cal (mg/g) | k1 (min−1) | R2 | Qe,cal (mg/g) | k2 (g·mg−1·min−1) | R2 | |
| 17.04 | 16.49 | 0.164 | 0.799 | 17.54 | 0.057 | 0.999 |
| Langmuir | Freundlich | ||||
|---|---|---|---|---|---|
| KL | Qm (mg/g) | R2 | KF | 1/n | R2 |
| 0.045 | 20.81 | 0.981 | 4.481 | 0.256 | 0.811 |
| Adsorbents | Substrate Material | Method | Qe (mg/g) | References |
|---|---|---|---|---|
| Red mud | Red mud | Batch equilibration technique | 5.99 | [48] |
| CACS | Activated carbons | Modification of multicomponent chelates | 1.50 | [49] |
| WTR | Waste tire rubber | Chemical modification | 13.8 | [50] |
| S-VBC-NMDG | Sulfur-based polymers prepared from sulfur and 4-vinylbenzyl chloride (VBC) revulcanization | Inverse-vulcanized | 7.2 | [51] |
| PP-g-GMA-NMDG | PP melt-blow fibers | Plasma grafting polymerization | 18.03 | This work |
Disclaimer/Publisher’s Note: The statements, opinions and data contained in all publications are solely those of the individual author(s) and contributor(s) and not of MDPI and/or the editor(s). MDPI and/or the editor(s) disclaim responsibility for any injury to people or property resulting from any ideas, methods, instructions or products referred to in the content. |
© 2024 by the authors. Licensee MDPI, Basel, Switzerland. This article is an open access article distributed under the terms and conditions of the Creative Commons Attribution (CC BY) license (https://creativecommons.org/licenses/by/4.0/).
Share and Cite
Qin, Y.; Jiang, H.; Luo, Z.; Geng, W.; Zhu, J. Preparation and Performance Study of Boron Adsorbent from Plasma-Grafted Polypropylene Melt-Blown Fibers. Polymers 2024, 16, 1460. https://doi.org/10.3390/polym16111460
Qin Y, Jiang H, Luo Z, Geng W, Zhu J. Preparation and Performance Study of Boron Adsorbent from Plasma-Grafted Polypropylene Melt-Blown Fibers. Polymers. 2024; 16(11):1460. https://doi.org/10.3390/polym16111460
Chicago/Turabian StyleQin, Yi, Hui Jiang, Zhengwei Luo, Wenhua Geng, and Jianliang Zhu. 2024. "Preparation and Performance Study of Boron Adsorbent from Plasma-Grafted Polypropylene Melt-Blown Fibers" Polymers 16, no. 11: 1460. https://doi.org/10.3390/polym16111460
APA StyleQin, Y., Jiang, H., Luo, Z., Geng, W., & Zhu, J. (2024). Preparation and Performance Study of Boron Adsorbent from Plasma-Grafted Polypropylene Melt-Blown Fibers. Polymers, 16(11), 1460. https://doi.org/10.3390/polym16111460
