Next Article in Journal
Lightweight ZnO/Carbonated Cotton Fiber Nanocomposites for Electromagnetic Interference Applications: Preparation and Properties
Previous Article in Journal
Study of the Viscoelastic and Rheological Properties of Rubber-Bitumen Binders Obtained from Rubber Waste
 
 
Font Type:
Arial Georgia Verdana
Font Size:
Aa Aa Aa
Line Spacing:
Column Width:
Background:
Article

Modeling the Effect of Material Viscoelasticity on the Dielectric Permittivity of Deformed Elastomers

School of Science, Harbin Institute of Technology, Shenzhen 518055, China
*
Author to whom correspondence should be addressed.
Polymers 2024, 16(1), 113; https://doi.org/10.3390/polym16010113
Submission received: 15 November 2023 / Revised: 25 December 2023 / Accepted: 26 December 2023 / Published: 29 December 2023
(This article belongs to the Special Issue Dielectric Properties of Polymer Based Materials)

Abstract

:
Elastomers, as a typical category of soft dielectrics, have shown great potential for developing stretchable electronics and soft transducers. However, the performance of dielectric elastomers (DEs) is susceptible to the dielectric permittivity of the material, whether as insulators or actuators. On the other hand, experiments suggest that the material viscoelasticity significantly influences the dielectric permittivity of DEs. Based on the theory of finite-deformation viscoelasticity, this work adopts the Brillouin function to develop a modeling framework to examine the effect of material viscoelasticity on the dielectric permittivity for the first time. A comparison of the data fitting results between the models with and without consideration of the material viscoelasticity is presented. Simulation results also reveal that the viscous network of the elastomer exerts a mitigation effect on the decrease in the dielectric permittivity when the material is deformed. Furthermore, it is found that the loading rate is a key parameter that strongly affects the dielectric permittivity, mainly through the inelastic deformation.

1. Introduction

In recent years, with the development of stretchable electronics and soft robotics, soft dielectrics, such as dielectric elastomers (DEs), have attracted much interest in the research community. DEs have been developed as actuators [1,2], tunable optic devices [3,4], energy harvesters [5,6], etc. Whether for insulators or transducers, the dielectric permittivity of dielectric elastomers is the key factor that significantly influences their overall performance. For example, in the signal transmission process, the delay of signal strongly depends on the dielectric permittivity of the material [7,8]. Also, as the Maxwell pressure of a dielectric elastomer membrane is proportional to the dielectric permittivity, the actuation performance of DE actuators is strongly affected by the dielectric permittivity [9,10,11].
Although dielectric permittivity is also known as a dielectric constant sometimes, experiments have suggested that the dielectric permittivity of elastomers is not constant at all in most cases. In fact, the dielectric permittivity of elastomers is susceptible to a variety of factors, such as frequency of the applied voltage, temperature, relative humidity, and, especially, deformation [12]. Particularly, the deformation-dependent dielectric permittivity of DEs makes controlling their actuation rather challenging. To tackle this issue, much attention has been given to the deformation-dependent dielectric permittivity of widely used dielectric elastomers, such as the very high bond (VHB) elastomers by 3M corporation (St. Paul, MN, USA) [13,14,15]. An early experimental study by Kofod et al. showed that the dielectric permittivity of VHB elastomers almost linearly dropped with the pre-stretch ratio to a certain level (about 5% at the equi-biaxial stretch ratio of 5) [16]. On the other hand, Choi et al. reported that the dielectric permittivity of VHB elastomers dramatically decreased as the equi-biaxial stretch ratio increased (over 50% at a stretch ratio of 4) [17]. Wissler and Mazza also reported a linear reduction in the dielectric permittivity with the stretch ratio and to a large extent (around 50% at a stretch ratio of 5) [18]. Tröls et al. presented a comparison of the deformation-dependent dielectric permittivity between VHB elastomers and natural rubbers (ZruElast 1040), showing that the effect of the deformation on the dielectric permittivity of natural rubbers was less pronounced [19]. Although the experimental data reported by different studies is rather scattered, a consensus has been reached that the dielectric permittivity of the elastomers decreases with the increasing in-plane stretches. The scatter of the data is mostly attributed to the difference in experiment setup, environmental conditions, and materials of the electrodes. In fact, the material viscoelasticity is also an important factor that is usually overlooked (elastomers are more or less viscous) [20,21,22]. Hence, to eliminate the effect of material viscoelasticity, Li et al. later conducted measurements of the dielectric permittivity seven days after the fabrication of samples [23].
Other than experimental studies, theoretical models have also been proposed to capture the deformation-dependence of the dielectric permittivity. In the early work of Zhao and Suo, a phenomenological model was used to describe the quasilinear dielectric behavior of elastomer membranes subjected to large deformation [24]. Later, adopting the Brillouin function, Li et al. proposed a model, particularly for the conditional (under mechanical constraints) polarization of dielectric elastomers [23]. Based on statistical mechanics, Jiménez and McMeeking established a correlation between the dielectric permittivity of an elastomer and the general state of deformation [25]. Schlögl and Leyendecker proposed a polarization-based lumped parameter model for the electromechanical coupled dielectric permittivity [26]. Nevertheless, most existing studies that consider the deformation-dependence of the dielectric permittivity of elastomers assume purely elastic deformation of the material. In other words, the material viscoelasticity is ignored. This assumption may hold when the deformation is small or quasi-static.
However, the advantage of dielectric elastomer actuators mainly lies in their capability to produce large deformations. Also, as actuators, DEs are usually subjected to dynamic loads. Therefore, examining the effect of the material viscoelasticity on the dielectric permittivity is of importance. From a physical point of view, the dielectric permittivity is a parameter that characterizes the degree of polarization of the material. It is well-established that polarization is deformation-dependent [27]. Meanwhile, for elastomers, their deformation is more or less viscoelastic. Hence, in the present contribution, we first explore the effect of the material viscoelasticity on the polarization of the dipoles within the elastomer and then reveal the corresponding influence on the dielectric permittivity.

2. Theory and Methods

Since dielectric permittivity is essentially a parameter that characterizes the polarization of the material, we first consider the polarization of an elastomer membrane in this section. Elastomers are generally formed by polymer networks of highly mobile and flexible polymer chains [20,28]. As shown in Figure 1, we simply consider that the polymer networks of elastomers can be separated into a cross-linked network and a viscous network. On the one hand, the hyperelasticity (capability of sustaining large deformation) of elastomers is mainly attributed to the cross-linking of the polymer chains (cross-linked network). On the other hand, owing to the diffusion of the free polymer chains (viscous network), elastomers are more or less viscous, exhibiting a time-dependent or rate-dependent response. Considering an elastomer membrane shown in Figure 2, the average dipole moment μ e in the thickness direction for a unit volume can be expressed as
μ e = χ μ c + 1 χ μ v ,
where parameter χ = n c / n c + n v is the volume fraction of the cross-linked network, nc is the number of cross-linked chains per unit volume, nv is the number of free chains per unit volume, and μ c and μ v are the average dipole moments of a cross-linked chain and a free chain, respectively. It should be noted that the shear moduli of the cross-linked network and the viscous network are G c = n c k b T and G v = n v k b T , where kb is the Boltzmann constant, and T is the temperature. “c” and “v” represent “cross-linked” and “viscous”, respectively [28].
The Brillouin function B J x is a commonly used mathematical model to describe the magnetization of paramagnetic and ferromagnetic materials [29,30]. Here, considering the similarity between magnetic and electric polarization (dipoles), we adopt the Brillouin function to describe the polarization of the electric dipoles in a uniform electric field E, i.e.,
μ = μ B J μ E k b T = μ 2 J + 1 2 J coth 2 J + 1 2 J μ E k b T 1 2 J coth 1 2 J μ E k b T ,
where μ E / k b T denotes the internal energy. Here, J is a negative material parameter indicating the number of states that the electric dipoles may be in, before the electric field is applied [23]. In other words, J is an indicator of the level of the mechanical constraint on the polarization of the electric dipoles. When J approaches negative infinity, the Langevin function L x = coth x 1 / x is recovered, in which case the elastomer becomes an ideal dielectric, and the dipoles respond freely to the external electric field (ideal dielectrics, without any constraints on their polarization) [24].
Generally, for polymeric dielectrics, μ E / k b T 1 [23] and the Brillouin function is reduced to
B J μ E k b T = 1 3 J + 1 J μ E k b T .
With Equations (2) and (3), Equation (1) can be re-written as
μ e = χ J c + 1 J c μ c 2 E 3 k b T + 1 χ J v + 1 J v μ v 2 E 3 k b T ,
where Jc and Jv represent the level of constraint on the cross-linked network and the viscous network, respectively.
Then, the electric displacement D in the thickness direction is expressed as
D = ε 0 E + N μ e = ε 0 E + N χ J c + 1 J c μ c 2 E 3 k b T + N 1 χ J v + 1 J v μ v 2 E 3 k b T ,
where N μ e = P is the polarization in the thickness direction, N is the polymerization degree of chains, and ε0 is the vacuum permittivity. As the dielectric permittivity ε of the material is defined by D = ε ε 0 E ,
ε = D ε 0 E = 1 + χ J c + 1 J c μ c 2 3 ε 0 k b T / N + 1 χ J v + 1 J v μ v 2 3 ε 0 k b T / N .
When the elastomer membrane undergoes deformation, especially large deformation, the rotation of the dipoles in the electric field is constrained by the deformation to some extent. Hence, the indicators of constraints, Jc and Jv, should be functions of the deformation.
Take the elastomer membrane in Figure 2 for example, the elastomer deforms from the reference state (Figure 2A) to the current state (Figure 2B) when subjected to equi-biaxial forces F and a voltage Φ between the compliant electrodes. An electric field E is induced by the applied voltage in the thickness direction. The total deformation gradient of the current state with respect to the reference state is given as
F = λ 0 0 0 λ 0 0 0 λ 2 ,
where λ is the equi-biaxial stretch ratio. Also, as commonly treated in the literature, rubber-like materials, such as elastomers, are usually assumed to be incompressible [31,32], which gives det F = 1 . For viscoelastic elastomers, the total deformation gradient can be multiplicatively split into two parts, i.e., F = F e F i , where the elastic and inelastic deformation gradients are given as
F e = λ e 0 0 0 λ e 0 0 0 λ e 2   and   F i = λ i 0 0 0 λ i 0 0 0 λ i 2 ,
where λ e and λ i are the elastic and inelastic stretch ratios, respectively, noting that det F e = det F i = 1 for incompressible materials [21,33].
Correspondingly, the strain energy density Ws of the elastomer can be split into two parts, i.e., strain energy densities Wc and Wv of the cross-linked network and the viscous network, respectively [21,33]. Moreover, elastic and inelastic deformations are linked by the thermodynamics evolution equation, namely,
1 2 F d ( C i ) 1 d t F T b e 1 = γ 1 : σ NEQ ,
where b e = F e F e T , C e = F e T F e , C i = F i T F i , and the stress of the viscous network σ NEQ = 2 F e W v F e C e F e T . Also, γ 1 = 1 2 η I 4 1 3 I I is an isotropic rank-four mobility tensor, and η is the viscosity of the elastomer [33]. Here, “NEQ” represents “non-equilibrium”, as the viscous network is usually in a non-equilibrium state. Adopting the Gent hyperelastic model [34] as the strain energy density functions of both the cross-linked and viscous networks, we have
W c = G c J lim 2 ln 1 λ 1 2 + λ 2 2 + λ 3 2 3 J lim ,
W v = G v J lim 2 ln 1 λ 1 e 2 + λ 2 e 2 + λ 3 e 2 3 J lim ,
where λ i i = 1 , 2 , 3 and λ i e i = 1 , 2 , 3 are the principal stretches of the cross-linked and viscous network, respectively. Here, J lim = 3 ( N 1 ) are material constants associated with the extensibility of the elastomer [35]. For equi-biaxial deformation, λ1 = λ2 = λ and λ3 = λ−2. Therefore, combining Equations (7)–(9) and (11), we obtain
d λ i d t = J lim λ i λ 2 λ i 2 λ 4 λ i 4 6 τ J lim 2 λ 2 λ i 2 λ 4 λ i 4 + 3 ,
where τ = η / G v is defined as the relaxation time.
Now that Jc and Jv are functions associated with the deformation, we prescribe
J c = α ln 2 λ 2 + λ 4 3 + δ J lim 1 ,
J v = α ln 2 λ e 2 + λ e 4 3 + δ J lim 1 = α ln 2 λ 2 λ i 2 + λ 4 λ i 4 3 + δ J lim 1 ,
where α is a scaling parameter that controls the variation of Jc and Jv when the material is under constraint (deformed), which needs to be determined by data fitting [23]. Here, δ is a sufficiently small number to ensure that the variable of the logarithmic function is positive. From Equations (6), (13) and (14), it can be seen that the dielectric permittivity is governed by both the elastic and inelastic deformation. Moreover, from Equation (12), the inelastic deformation is time-dependent and rate-dependent, thus resulting in time-dependent and rate-dependent dielectric permittivity.

3. Results and Discussions

As VHB elastomers (by 3M corporation, St. Paul, MN) are widely used dielectric elastomers in soft transducers, we will take VHB 4910 elastomers (1 mm in thickness) as a case study in this section. The dielectric permittivity of VHB 4910 has been measured in a number of studies in the literature. Table 1 shows the dielectric permittivity of VHB 4910 elastomers subjected to equi-biaxial load from four existing studies. More data regarding the dielectric permittivity of VHB elastomers (including VHB 4905) can be found in Ref. [12]. Table 1 shows that the data are rather scattered, which may be linked to multiple factors, such as the experiment setup, the electrode material, the test frequency, etc. However, attention was not particularly given to the effect of material viscoelasticity in most studies. In fact, measurements conducted at different times and moments after the fabrication of a sample usually result in different dielectric permittivity values. Therefore, ignoring the effect of the material viscoelasticity may also be a main reason for the scatter of the obtained data. To avoid the viscoelastic effect on the dielectric permittivity, Li et al. tried conducting measurements seven days after the fabrication of samples [23].
When the material viscoelasticity is eliminated in the modeling, χ = 1, and the second term in both Equations (4) and (6) is eliminated, which is equivalent to a purely elastic case, i.e.,
ε = 1 + J c + 1 / J c μ ¯ c 2 / 3 .
Here, owing to the lack of information on the chemical composition of VHB elastomers, the dipole moment is normalized as μ ¯ c = μ c / ε 0 k b T / N and used as a parameter for data fitting. Then, the dielectric permittivity of the material is simply governed by the elastic deformation. Moreover, to avoid voltage-induced deformation, it is assumed that the testing voltage is sufficiently low (e.g., Φ = 1 V is commonly used in most studies). Figure 3 shows the fitting of Equation (15) against the data in Table 1 when χ = 1. The fitted parameters α and μ ¯ c are also given in Figure 3 (purely elastic case). Without considering the material viscoelasticity, Equation (15) can still describe the overall trend of the variation of the dielectric permittivity (i.e., the dielectric permittivity decreases with the equi-biaxial stretch ratio), while pronounced differences between some fitted curves and the experimental data can be observed (e.g., Figure 3C,D).
In order to take the material viscoelasticity into account, the calibrated material parameters for VHB 4910 elastomers are adopted in the viscoelastic modeling framework, e.g., J lim = 90 , G c = 25 kPa , G v = 70 kPa , χ = G c / G c + G v = 0.263 , ε 0 = 8.85 × 10 12 F / m , and τ = 50 s [36]. This is because the time moments for the measurements were not reported in the abovementioned studies (Table 1). Here, we consider a scenario in which the samples are stretched at a constant stretching rate to reach the prescribed stretch ratios (Table 1) to account for the time-dependent effect. Then, the stretching rate v s = d λ / d t (essentially strain rate) is used as a fitting parameter. In addition, it is assumed that the chemical compositions of the cross-linked chains and free chains are similar, which leads to μ ¯ c = μ ¯ f . Then, Equation (6) is reduced to
ε = D ε 0 E = 1 + χ J c + 1 J c + 1 χ J v + 1 J v μ ¯ c 2 3 .
Combining Equations (12)–(14) and (16), the fitting of Equation (16) against the experimental data is also depicted in Figure 3 (viscoelastic case). The experimental data are well captured by Equation (16). However, due to the lack of data considering dynamic deformation, particular experiments could be designed to further examine the proposed modeling framework in future studies.
To further explore the effect of the material viscoelasticity on the dielectric permittivity of elastomers, Figure 4 depicts the variation of the dielectric permittivity as a function of the fraction χ and relaxation time τ, which are the typical material parameters that reflect the viscoelasticity. Existing studies have suggested that elastomers may process multiple relaxation times depending on the loading conditions [36,37]. Correspondingly, multiple viscous networks should be considered to consider the multiple relaxation times. However, for simplicity, a single relaxation time is assumed in this work. Adopting multiple viscous networks may increase the model’s capability of capturing experimental data for more complex loading conditions. Other parameters are set as v s = 0.5 s 1 , α = 3, and μ ¯ c = μ ¯ f = 3.4 . For a certain relaxation time and a stretch ratio, e.g., τ = 5 s and λ = 3 (Figure 4A), the dielectric permittivity increases as the volume fraction χ decreases. Since χ represents the volume fraction of the cross-linked network, the effect of the viscous network on the dielectric permittivity becomes more dominant when χ decreases. Also, the mechanical constraints on the viscous network relax over time owing to the diffusion of the free chains. The dipoles in the viscous network will eventually be free to rotate under polarization if sufficient time is given. Therefore, the viscous network mitigates the decrease in the dielectric permittivity as the material deforms. However, comparing Figure 4A–C, it can be seen that the effect of this mitigation weakens when the relaxation time of the material rises. In Figure 4C, the three curves almost collapse onto one curve since the viscous network relaxes too slowly (a larger τ indicates a slower relaxation).
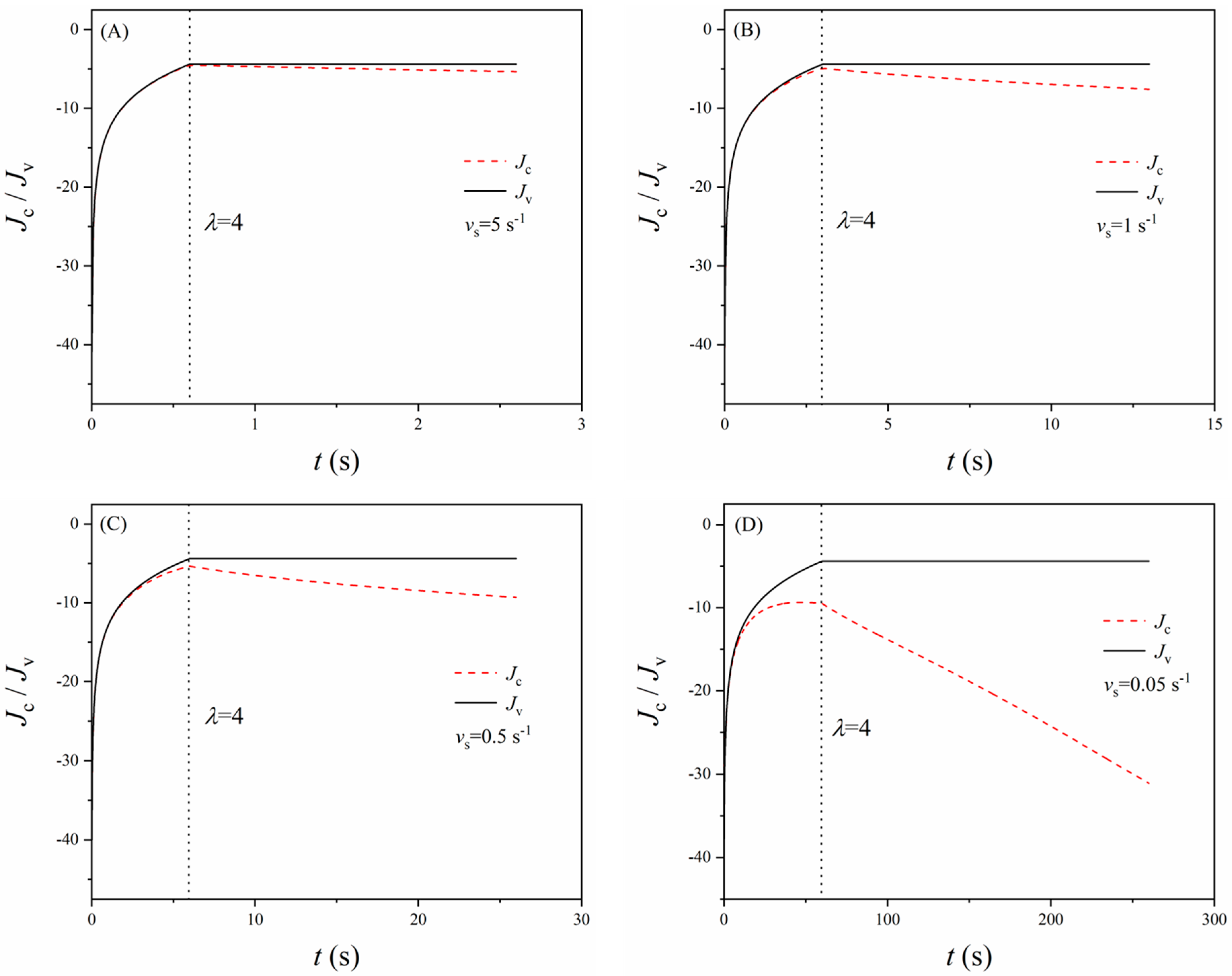
Another factor that strongly influences the relaxation of the viscous networks is the loading rate (stretching rate) since the loading rate directly affects the inelastic stretch ratio λi and thus Jv (Equations (12) and (14)). In addition, from Equation (13), it can be noted that Jc is independent of the loading rate. To examine the effect of the loading rate, we revisit a common situation in most experiments. The elastomer membrane is stretched from λ = 1 to λ = 4 at different loading rates, then the deformation is maintained thereafter. Similarly, α = 3, μ ¯ c = μ ¯ f = 3.4 and the material parameters of VHB 4910 elastomers are adopted here. As for the stretching rates, the typical values are chosen for a case study (i.e., vs = 5 s−1, 1 s−1, 0.5 s−1, and 0.05 s−1). Figure 5 illustrates the change in Jc and Jv with time as the loading rate varies. Before reaching λ = 4, the change in Jv follows the trend of Jc, except when the loading rate is rather slow (e.g., vs = 0.05 s−1). For vs = 0.05 s−1, Jv actually slightly drops after reaching a peak because the material relaxes faster at large deformation, and there is sufficient time for relaxation when the loading rate is slow. This is also the reason for the larger difference between Jc and Jv at slower loading rates. After reaching λ = 4, Jc remains the same since the deformation is maintained, while Jv linearly decreases with time as the relaxation of the material continues. Since Jc and Jv, in essence, are indicators of the mechanical constraints on the polarization of the dipoles, the rise of Jc and Jv reflects stronger mechanical constraints on the polarization and vice versa. Owing to the diffusion of the viscous network, the material relaxes, and the mechanical constraints on the polarization of the viscous network weaken with time, which leads to a decrease in Jv. Figure 6 shows the variation of the dielectric permittivity as a function of the stretch ratio at different loading rates. A lower loading rate results in a higher dielectric permittivity at a certain stretch ratio. Moreover, the range of the variation becomes narrower as the loading rate decreases, which is desirable for DE actuators from a control perspective. When the deformation is maintained at a stretch ratio of 4, the dielectric permittivity rises with time and will eventually approach to a steady state corresponding to ε = 1 + χ 1 1 / J c + 1 χ μ ¯ c 2 / 3 .
In real-world applications, dielectric elastomers are usually pre-stretched to avoid loss-of-tension and subjected to cyclic loads (e.g., DE oscillators and resonators [10]). Here, for example, we examine a common case that the DE membrane is equi-biaxially pre-stretched to λ = 3 and then subjected to cyclic mechanical load, i.e., λ = A sin 2 π f t + B , where the amplitude A = 1, the bias B = 3, and the frequency f = 0.1 Hz. Also, it is considered that the DE membrane is fully relaxed (λ = λi = 3 at t = 0) before the cyclic mechanical load is applied. Figure 7A depicts the change of the stretch ratios λ and λi with time. The change of λi follows the trend of λ, while its amplitude is much smaller owing to the relatively high loading frequency. Also, as the loading cycles continue, the cycles of the inelastic stretch ratio λi become steady. Figure 7B illustrates the variation of parameters Jc and Jv with time. In this case, unlike the results shown in Figure 5, the starting points of Jc and Jv differ. Moreover, the value of Jc is always higher than that of Jv, which indicates that Jc is the dominant constraint (Equation (16)) in such cases. Similar to the response of λi, the cycles of Jv become identical after a few cycles as the cycles of λi become steady. Of course, it is expected that the responses of both λi and Jv also depend on the frequency of the mechanical load since they are affected by the material viscoelasticity. The responses of both λi and Jv are eventually reflected in the variation of the dielectric permittivity ε. Figure 8 shows the variation of ε under cyclic mechanical loading conditions, where the typical frequencies are selected as f = 1 Hz, 0.1 Hz, and 0.01 Hz, respectively. First, as the loading frequency increases, it takes longer for the dielectric permittivity to reach a steady cycle. Moreover, a different loading frequency leads to a different pattern of the response of the dielectric permittivity, which could be further utilized to tackle different tasks in particular applications.

4. Conclusions

Based on the theory of finite-deformation viscoelasticity for elastomers and with the adoption of the Brillouin function, this work proposes a modeling framework to explore the effect of the material viscoelasticity on the dielectric permittivity of dielectric elastomers. First, the capability of the model to capture typical experimental phenomena is examined. It is found that the stretch-dependence of the dielectric permittivity can be well described by the proposed model with consideration of the material viscoelasticity. Second, the influences of the volume fraction χ and the relaxation time τ (typical parameters that reflect the viscoelasticity of the material) are also studied. Results show that the viscous network can mitigate the deformation-dependence of the dielectric permittivity while this mitigation effect weakens for a higher relaxation time. Moreover, the mechanical rate-dependence of the dielectric permittivity is modeled. The loading rate affects the dielectric permittivity mainly through the inelastic deformation (λi) and thus Jv. As the loading rate decreases, the range of the variation of the dielectric permittivity becomes narrower. Furthermore, the variation of the dielectric permittivity under cyclic loading conditions is investigated. Steady cycles of the inelastic stretch ratio, constraint Jv, and dielectric permittivity can be achieved if sufficient time is given. In addition, a different loading frequency leads to a different response pattern of the dielectric permittivity, which could be further exploited for particular applications. With the modeling framework proposed in this work, the dielectric permittivity of DEs can be more accurately predicted, especially when they are under (dynamic) mechanical constraints. Therefore, the results of this work are anticipated to provide useful guidelines for the optimal design of dielectric elastomer-related devices.

Author Contributions

Conceptualization, X.Z. and J.Z.; methodology, X.Z. and J.Z.; data curation, X.Z.; investigation, X.Z. and J.Z.; writing—original draft preparation, X.Z.; writing—review and editing, J.Z.; supervision, J.Z.; project administration, J.Z.; funding acquisition, J.Z. All authors have read and agreed to the published version of the manuscript.

Funding

This work was funded by the Guangdong Basic and Applied Basic Research Foundation (Project No. 2020A1515111027), the National Natural Science Foundation of China (Project No. 12102108), the Shenzhen Science and Technology Program (Project No. JCYJ20210324120212034), and the Talent Recruitment Project of Guangdong (Project No. 2021QN02G677).

Institutional Review Board Statement

Not applicable.

Data Availability Statement

Data are contained within the article.

Conflicts of Interest

The authors declare no conflict of interest.

References

  1. Xing, Z.; Zhang, J.; McCoul, D.; Cui, Y.; Sun, L.; Zhao, J. A super-lightweight and soft manipulator driven by dielectric elastomers. Soft Robot. 2020, 7, 512–520. [Google Scholar] [CrossRef] [PubMed]
  2. Shintake, J.; Rosset, S.; Schubert, B.; Floreano, D.; Shea, H. Versatile soft grippers with intrinsic electroadhesion based on multifunctional polymer actuators. Adv. Mater. 2016, 28, 231–238. [Google Scholar] [CrossRef] [PubMed]
  3. She, A.; Zhang, S.; Shian, S.; Clarke, D.R.; Capasso, F. Adaptive metalenses with simultaneous electrical control of focal length, astigmatism, and shift. Sci. Adv. 2018, 4, 9957. [Google Scholar] [CrossRef] [PubMed]
  4. Chen, B.; Sun, W.; Lu, J.; Lu, J.; Chen, Y.; Zhou, J.; Suo, Z. All-solid ionic eye. J. Appl. Mech. 2021, 88, 031016. [Google Scholar] [CrossRef]
  5. Jiang, Y.; Liu, S.; Zhong, M.; Zhang, L.; Ning, N.; Tian, M. Optimizing energy harvesting performance of cone dielectric elastomer generator based on vhb elastomer. Nano Energy 2020, 71, 104606. [Google Scholar] [CrossRef]
  6. Moretti, G.; Rosset, S.; Vertechy, R. A review of dielectric elastomer generator systems. Adv. Intell. Syst. 2020, 2, 2000125. [Google Scholar] [CrossRef]
  7. Hu, Z.; Liu, X.; Ren, T.; Saeed, H.A.M.; Wang, Q.; Cui, X.; Huai, K.; Huang, S.; Xia, Y.; Fu, K.; et al. Research progress of low dielectric constant polymer materials. J. Polym. Eng. 2022, 42, 677–687. [Google Scholar] [CrossRef]
  8. Qian, C.; Bei, R.; Zhu, T.; Zheng, W.; Liu, S.; Chi, Z.; Aldred, M.P.; Chen, X.; Zhang, Y.; Xu, J. Facile strategy for intrinsic low-k dielectric polymers: Molecular design based on secondary relaxation behavior. Macromolecules 2019, 52, 4601–4609. [Google Scholar] [CrossRef]
  9. Shi, Y.; Askounis, E.; Plamthottam, R.; Libby, T.; Peng, Z.; Youssef, K.; Pu, J.; Pelrine, R.; Pei, Q. A processable, high-performance dielectric elastomer and multilayering process. Science 2022, 377, 228–232. [Google Scholar] [CrossRef]
  10. Brochu, P.; Pei, Q.B. Advances in dielectric elastomers for actuators and artificial muscles. Macromol. Chem. Rapid Commun. 2010, 31, 10–36. [Google Scholar] [CrossRef]
  11. Zhao, X.; Suo, Z. Theory of dielectric elastomers capable of giant deformation of actuation. Phys. Rev. Lett. 2010, 104, 178302. [Google Scholar] [CrossRef] [PubMed]
  12. Jean-Mistral, C.; Sylvestre, A.; Basrour, S.; Chaillout, J.J. Dielectric properties of polyacrylate thick films used in sensors and actuators. Smart Mater. Struct. 2010, 19, 075019. [Google Scholar] [CrossRef]
  13. McKay, T.G.; Calius, E.; Anderson, I.A. The dielectric constant of 3M VHB: A parameter in dispute. Proc. SPIE 2009, 7287, 72870P. [Google Scholar]
  14. Shian, S.; Huang, J.; Zhu, S.; Clarke, D.R. Optimizing the electrical energy conversion cycle of dielectric elastomer generators. Adv. Mater. 2014, 26, 6617–6621. [Google Scholar] [CrossRef]
  15. Zhao, Y.; Wen, L. Dynamic modeling with quantifying dissipated power density and experimental validation of dielectric elastomer actuators. Smart Struct. Mater. 2023, 32, 055013. [Google Scholar] [CrossRef]
  16. Kofod, G.; Kornbluh, R.; Pelrine, R.; Sommer-Larsen, P. Actuation response of polyacrylate dielectric elastomers. Smart Struct. Mater. 2001, 14, 787–793. [Google Scholar]
  17. Choi, H.R.; Jung, K.; Chuc, N.H.; Jung, M.; Koo, I.; Koo, J.; Lee, J.; Nam, J.; Cho, M.; Lee, Y. Effects of prestrain on behavior of dielectric elastomer actuator. Proc. SPIE 2005, 5759, 283–291. [Google Scholar]
  18. Wissler, M.; Mazza, E. Electromechanical coupling in dielectric elastomer actuators. Sens. Actuator A Phys. 2007, 138, 384–393. [Google Scholar] [CrossRef]
  19. Tröls, A.; Kogler, A.; Baumgartner, R.; Kaltseis, R.; Keplinger, C.; Schwödiauer, R.; Graz, I.; Bauer, S. Stretch dependence of the electrical breakdown strength and dielectric constant of dielectric elastomers. Smart Mater. Struct. 2013, 22, 104012. [Google Scholar] [CrossRef]
  20. Doi, M.; Edwards, S.F. The Theory of Polymer Dynamics; Clarendon Press: Oxford, UK, 1986. [Google Scholar]
  21. Hong, W. Modeling viscoelastic dielectrics. J. Mech. Phys. Solids 2011, 59, 637–650. [Google Scholar] [CrossRef]
  22. Pyckhout-Hintzen, W.; Westermann, S.; Wischnewski, A. Direct observation of nonaffine tube deformation in strained polymer networks. Phys. Rev. Lett. 2013, 110, 196002. [Google Scholar] [CrossRef] [PubMed]
  23. Li, B.; Chen, H.; Qiang, J.; Zhou, J. A model for conditional polarization of the actuation enhancement of a dielectric elastomer. Soft Matter 2012, 8, 311–317. [Google Scholar] [CrossRef]
  24. Zhao, X.; Suo, Z. Electrostriction in elastic dielectrics undergoing large deformation. J. Appl. Phys. 2008, 104, 123530. [Google Scholar] [CrossRef]
  25. Jiménez, S.M.A.; McMeeking, R.M. Deformation dependent dielectric permittivity and its effect on actuator performance and stability. Int. J. Non-Linear Mech. 2013, 57, 183–191. [Google Scholar] [CrossRef]
  26. Schlögl, T.; Leyendecker, S. A polarisation based approach to model the strain dependent permittivity of dielectric elastomers. Sens. Actuator A Phys. 2017, 267, 156–163. [Google Scholar] [CrossRef]
  27. Opris, D.M. Polar elastomers as novel materials for electromechanical actuator applications. Adv. Mater. 2018, 30, 1703678. [Google Scholar] [CrossRef]
  28. Li, Y.; Tang, S.; Kröger, M.; Liu, W.K. Molecular simulation guided constitutive modeling on finite strain viscoelasticity of elastomers. J. Mech. Phys. Solids 2016, 88, 204–226. [Google Scholar]
  29. Rickaby, S.R.; Scott, N.H. Theoretical and numerical studies of the Brillouin function and its inverse. J. Non-Newton. Fluid 2021, 297, 104648. [Google Scholar] [CrossRef]
  30. Van Vleck, J.H. The Theory of Electric and Magnetic Susceptibilities; Clarendon Press: Oxford, UK, 1932. [Google Scholar]
  31. Huang, J.; Shian, S.; Diebold, R.M.; Suo, Z.; Clarke, D.R. The thickness and stretch dependence of the electrical breakdown strength of an acrylic dielectric elastomer. Appl. Phys. Lett. 2012, 101, 122905. [Google Scholar] [CrossRef]
  32. Kollosche, M.; Kofod, G.; Suo, Z.; Zhu, J. Temporal evolution and instability in a viscoelastic dielectric elastomer. J. Mech. Phys. Solids 2015, 76, 47–67. [Google Scholar] [CrossRef]
  33. Reese, S.; Govindjee, S. A theory of finite viscoelasticity and numerical aspects. Int. J Solids Struct. 1998, 35, 3455–3482. [Google Scholar] [CrossRef]
  34. Gent, A.N. A new constitutive relation for rubber. Rubber Chem. Technol. 1996, 69, 59–61. [Google Scholar] [CrossRef]
  35. Horgan, C.O.; Saccomandi, G. A molecular-statistical basis for the Gent constitutive model of rubber elasticity. J. Elast. 2002, 68, 167–176. [Google Scholar] [CrossRef]
  36. Foo, C.C.; Koh, S.J.A.; Keplinger, C.; Kaltseis, R.; Bauer, S.; Suo, Z. Performance of dissipative dielectric elastomer generators. J. Appl. Phys. 2012, 111, 094107. [Google Scholar]
  37. Foo, C.C.; Cai, S.; Koh, S.J.A.; Bauer, S.; Suo, Z. Model of dissipative dielectric elastomers. J. Appl. Phys. 2012, 111, 034102. [Google Scholar]
Figure 1. Polymer networks consist of cross-linked (red crosses) polymer chains and free chains.
Figure 1. Polymer networks consist of cross-linked (red crosses) polymer chains and free chains.
Polymers 16 00113 g001
Figure 2. A dielectric elastomer membrane coated with compliant electrodes on both sides. (A) The reference state and (B) the current state when the elastomer is subjected to equi-biaxial forces F and voltage Φ.
Figure 2. A dielectric elastomer membrane coated with compliant electrodes on both sides. (A) The reference state and (B) the current state when the elastomer is subjected to equi-biaxial forces F and voltage Φ.
Polymers 16 00113 g002
Figure 3. The dielectric permittivity is a function of the stretch ratio. Data from the works of (A) Jean-Mistral et al. [12], (B) Wissler and Mazza [18], (C) Kofod et al. [16], and (D) Tröls et al. [19]. The data are fitted using Equations (15) and (16), representing the purely elastic (black solid curve) and viscoelastic case (blue dash curve), respectively.
Figure 3. The dielectric permittivity is a function of the stretch ratio. Data from the works of (A) Jean-Mistral et al. [12], (B) Wissler and Mazza [18], (C) Kofod et al. [16], and (D) Tröls et al. [19]. The data are fitted using Equations (15) and (16), representing the purely elastic (black solid curve) and viscoelastic case (blue dash curve), respectively.
Polymers 16 00113 g003
Figure 4. Variation of the dielectric permittivity with the equi-biaxial stretch ratio λ for different χ and τ. (A) τ = 5, (B) τ = 50, and (C) τ = 500.
Figure 4. Variation of the dielectric permittivity with the equi-biaxial stretch ratio λ for different χ and τ. (A) τ = 5, (B) τ = 50, and (C) τ = 500.
Polymers 16 00113 g004
Figure 5. Change of parameters Jc and Jv with time as the loading rate (stretching rate) varies. (A) vs = 5 s−1, (B) vs = 1 s−1, (C) vs = 0.5 s−1, and (D) vs = 0.05 s−1.
Figure 5. Change of parameters Jc and Jv with time as the loading rate (stretching rate) varies. (A) vs = 5 s−1, (B) vs = 1 s−1, (C) vs = 0.5 s−1, and (D) vs = 0.05 s−1.
Polymers 16 00113 g005
Figure 6. Dielectric permittivity versus the equi-biaxial stretch ratio at different loading rates (i.e., vs = 5 s−1, 1 s−1, 0.5 s−1, and 0.05 s−1).
Figure 6. Dielectric permittivity versus the equi-biaxial stretch ratio at different loading rates (i.e., vs = 5 s−1, 1 s−1, 0.5 s−1, and 0.05 s−1).
Polymers 16 00113 g006
Figure 7. The dielectric elastomer membrane under equi-biaxial cyclic mechanical load (f = 0.1 Hz). (A) variation of λ and λi and (B) variation of Jc and Jv.
Figure 7. The dielectric elastomer membrane under equi-biaxial cyclic mechanical load (f = 0.1 Hz). (A) variation of λ and λi and (B) variation of Jc and Jv.
Polymers 16 00113 g007
Figure 8. Variation of the dielectric permittivity when the DE membrane is subjected to the cyclic mechanical load of different loading frequencies. (A) f = 1 Hz, (B) f = 0.1 Hz, and (C) f = 0.01 Hz.
Figure 8. Variation of the dielectric permittivity when the DE membrane is subjected to the cyclic mechanical load of different loading frequencies. (A) f = 1 Hz, (B) f = 0.1 Hz, and (C) f = 0.01 Hz.
Polymers 16 00113 g008
Table 1. Dielectric permittivity of VHB 4910 elastomers under equi-biaxial load.
Table 1. Dielectric permittivity of VHB 4910 elastomers under equi-biaxial load.
Experimentλ = 1λ = 3λ = 4λ = 5
Jean-Mistral et al. [12]5.44.954.6
Wissler and Mazza [18]4.683.713.34
Kofod et al. [16]4.74.554.5
Tröls et al. [19]4.123.643.29
Disclaimer/Publisher’s Note: The statements, opinions and data contained in all publications are solely those of the individual author(s) and contributor(s) and not of MDPI and/or the editor(s). MDPI and/or the editor(s) disclaim responsibility for any injury to people or property resulting from any ideas, methods, instructions or products referred to in the content.

Share and Cite

MDPI and ACS Style

Zheng, X.; Zhou, J. Modeling the Effect of Material Viscoelasticity on the Dielectric Permittivity of Deformed Elastomers. Polymers 2024, 16, 113. https://doi.org/10.3390/polym16010113

AMA Style

Zheng X, Zhou J. Modeling the Effect of Material Viscoelasticity on the Dielectric Permittivity of Deformed Elastomers. Polymers. 2024; 16(1):113. https://doi.org/10.3390/polym16010113

Chicago/Turabian Style

Zheng, Xianghe, and Jianyou Zhou. 2024. "Modeling the Effect of Material Viscoelasticity on the Dielectric Permittivity of Deformed Elastomers" Polymers 16, no. 1: 113. https://doi.org/10.3390/polym16010113

APA Style

Zheng, X., & Zhou, J. (2024). Modeling the Effect of Material Viscoelasticity on the Dielectric Permittivity of Deformed Elastomers. Polymers, 16(1), 113. https://doi.org/10.3390/polym16010113

Note that from the first issue of 2016, this journal uses article numbers instead of page numbers. See further details here.

Article Metrics

Back to TopTop