Vinylbenzyl Chloride/Styrene-Grafted SBS Copolymers via TEMPO-Mediated Polymerization for the Fabrication of Anion Exchange Membranes for Water Electrolysis
Abstract
1. Introduction
2. Materials and Methods
2.1. Materials
2.2. Synthesis of Graft Copolymers
2.2.1. Synthesis of TEMPO-Grafted SBS Macroinitiator (MI)
2.2.2. Synthesis of g-VBC-x Copolymers
2.2.3. Synthesis of g-VBC-x-co-Sty-z Copolymers
2.3. Preparation of the Anion Exchange Membranes
2.3.1. Preparation of Polymeric Films
2.3.2. Amination of the Polymeric Films
2.4. Characterization
2.4.1. Characterization of the Anion Exchange Membranes
2.4.2. Electrolytic Cell Tests
3. Results and Discussion
3.1. Synthesis of the Graft Copolymers
3.2. Film Preparation
3.3. Thermal Characterization
3.3.1. Thermogravimetric Analysis
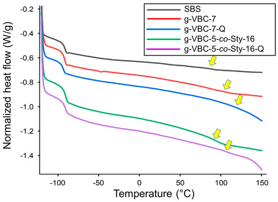
3.3.2. Differential Scanning Calorimetry
3.4. Mechanical Properties
3.5. Water Uptake and Electrochemical Properties
3.6. Electrolysis Test
4. Conclusions
5. Patents
Author Contributions
Funding
Acknowledgments
Conflicts of Interest
References
- Chi, J.; Yu, H. Water electrolysis based on renewable energy for hydrogen production. Chin. J. Catal. 2018, 39, 390–394. [Google Scholar] [CrossRef]
- Vincent, I.; Bessarabov, D. Low cost hydrogen production by anion exchange membrane electrolysis: A review. Renew. Sustain. Energy Rev. 2018, 81, 1690–1704. [Google Scholar] [CrossRef]
- Henkensmeier, D.; Najibah, M.; Harms, C.; Žitka, J.; Hnát, J.; Bouzek, K. Overview: State-of-the Art Commercial Membranes for Anion Exchange Membrane Water Electrolysis. J. Electrochem. Energy Convers. Storage 2021, 18, 024001. [Google Scholar] [CrossRef]
- Miller, H.A.; Bouzek, K.; Hnat, J.; Loos, S.; Bernäcker, C.I.; Weißgärber, T.; Röntzsch, L.; Meier-Haack, J. Green hydrogen from anion exchange membrane water electrolysis: A review of recent developments in critical materials and operating conditions. Sustain. Energy Fuels 2020, 4, 2114–2133. [Google Scholar] [CrossRef]
- Khataee, A.; Shirole, A.; Jannasch, P.; Krüger, A.; Cornell, A. Anion exchange membrane water electrolysis using Aemion™ membranes and nickel electrodes. J. Mater. Chem. A 2022, 10, 16061–16070. [Google Scholar] [CrossRef]
- Yang, Y.; Li, P.; Zheng, X.; Sun, W.; Dou, S.X.; Ma, T.; Pan, H. Anion-exchange membrane water electrolyzers and fuel cells. Chem. Soc. Rev. 2022, 51, 9620–9693. [Google Scholar] [CrossRef] [PubMed]
- Park, E.J.; Arges, C.G.; Xu, H.; Kim, Y.S. Membrane Strategies for Water Electrolysis. ACS Energy Lett. 2022, 7, 3447–3457. [Google Scholar] [CrossRef]
- Zhang, M.; Shan, C.; Liu, L.; Liao, J.; Chen, Q.; Zhu, M.; Wang, Y.; An, L.; Li, N. Facilitating Anion Transport in Polyolefin-Based Anion Exchange Membranes via Bulky Side Chains. ACS Appl. Mater. Interfaces 2016, 8, 23321–23330. [Google Scholar] [CrossRef]
- Zhu, M.; Su, Y.; Wu, Y.; Zhang, M.; Wang, Y.; Chen, Q.; Li, N. Synthesis and properties of quaternized polyolefins with bulky poly(4-phenyl-1-butene) moieties as anion exchange membranes. J. Membr. Sci. 2017, 541, 244–252. [Google Scholar] [CrossRef]
- Jeon, J.Y.; Tian, D.; Pagels, M.K.; Bae, C. Efficient Preparation of Styrene Block Copolymer Anion Exchange Membranes via One-Step Friedel–Crafts Bromoalkylation with Alkenes. Org. Process. Res. Dev. 2019, 23, 1580–1586. [Google Scholar] [CrossRef]
- Liu, W.; Liu, L.; Liao, J.; Wang, L.; Li, N. Self-crosslinking of comb-shaped polystyrene anion exchange membranes for alkaline fuel cell application. J. Membr. Sci. 2017, 536, 133–140. [Google Scholar] [CrossRef]
- Xue, J.; Liu, L.; Liao, J.; Shen, Y.; Li, N. UV-crosslinking of polystyrene anion exchange membranes by azidated macromolecular crosslinker for alkaline fuel cells. J. Membr. Sci. 2017, 535, 322–330. [Google Scholar] [CrossRef]
- Chen, W.; Hu, M.; Wang, H.; Wu, X.; Gong, X.; Yan, X.; Zhen, D.; He, G. Dimensionally stable hexamethylenetetramine functionalized polysulfone anion exchange membranes. J. Mater. Chem. A 2017, 5, 15038–15047. [Google Scholar] [CrossRef]
- Weiber, E.A.; Jannasch, P. Polysulfones with highly localized imidazolium groups for anion exchange membranes. J. Membr. Sci. 2015, 481, 164–171. [Google Scholar] [CrossRef]
- Hao, J.; Jiang, Y.; Gao, X.; Lu, W.; Xiao, Y.; Shao, Z.; Yi, B. Functionalization of polybenzimidazole-crosslinked poly(vinylbenzyl chloride) with two cyclic quaternary ammonium cations for anion exchange membranes. J. Membr. Sci. 2018, 548, 1–10. [Google Scholar] [CrossRef]
- Li, S.; Zhu, X.; Liu, D.; Sun, F. A highly durable long side-chain polybenzimidazole anion exchange membrane for AEMFC. J. Membr. Sci. 2018, 546, 15–21. [Google Scholar] [CrossRef]
- Zhu, L.; Yu, X.; Hickner, M.A. Exploring backbone-cation alkyl spacers for multi-cation side chain anion exchange membranes. J. Power Sources 2018, 375, 433–441. [Google Scholar] [CrossRef]
- Yang, Y.; Knauss, D.M. Poly(2,6-dimethyl-1,4-phenylene oxide)-b-poly(vinylbenzyltrimethylammonium) Diblock Copolymers for Highly Conductive Anion Exchange Membranes. Macromolecules 2015, 48, 4471–4480. [Google Scholar] [CrossRef]
- Pan, J.; Han, J.; Zhu, L.; Hickner, M.A. Cationic Side-Chain Attachment to Poly(Phenylene Oxide) Backbones for Chemically Stable and Conductive Anion Exchange Membranes. Chem. Mater. 2017, 29, 5321–5330. [Google Scholar] [CrossRef]
- He, Y.; Ge, X.; Liang, X.; Zhang, J.; Shehzad, M.A.; Zhu, Y.; Yang, Z.; Wu, L.; Xu, T. Anion exchange membranes with branched ionic clusters for fuel cells. J. Mater. Chem. A 2018, 6, 5993–5998. [Google Scholar] [CrossRef]
- Han, J.; Pan, J.; Chen, C.; Wei, L.; Wang, Y.; Pan, Q.; Zhao, N.; Xie, B.; Xiao, L.; Lu, J.; et al. Effect of Micromorphology on Alkaline Polymer Electrolyte Stability. ACS Appl. Mater. Interfaces 2019, 11, 469–477. [Google Scholar] [CrossRef]
- Liu, L.; Chu, X.; Liao, J.; Huang, Y.; Li, Y.; Ge, Z.; Hickner, M.A.; Li, N. Tuning the properties of poly(2,6-dimethyl-1,4-phenylene oxide) anion exchange membranes and their performance in H2/O2 fuel cells. Energy Environ. Sci. 2018, 11, 435–446. [Google Scholar] [CrossRef]
- Douglin, J.C.; Varcoe, J.R.; Dekel, D.R. A high-temperature anion-exchange membrane fuel cell. J. Power Sources Adv. 2020, 5, 100023. [Google Scholar] [CrossRef]
- Meek, K.M.; Reed, C.M.; Pivovar, B.; Kreuer, K.-D.; Varcoe, J.R.; Bance-Soualhi, R. The alkali degradation of LDPE-based radiation-grafted anion-exchange membranes studied using different ex situ methods. RSC Adv. 2020, 10, 36467–36477. [Google Scholar] [CrossRef]
- Zhang, X.; Chu, X.; Zhang, M.; Zhu, M.; Huang, Y.; Wang, Y.; Liu, L.; Li, N. Molecularly designed, solvent processable tetraalkylammonium-functionalized fluoropolyolefin for durable anion exchange membrane fuel cells. J. Membr. Sci. 2019, 574, 212–221. [Google Scholar] [CrossRef]
- Zhu, L.; Peng, X.; Shang, S.; Kwasny, M.T.; Zimudzi, T.J.; Yu, X.; Saikia, N.; Pan, J.; Liu, Z.-K.; Tew, G.N.; et al. High Performance Anion Exchange Membrane Fuel Cells Enabled by Fluoropoly(olefin) Membranes. Adv. Funct. Mater. 2019, 29, 1902059. [Google Scholar] [CrossRef]
- Robertson, N.J.; Kostalik, I.H.A.; Clark, T.J.; Mutolo, P.F.; Abruña, H.D.; Coates, G.W. Tunable High Performance Cross-Linked Alkaline Anion Exchange Membranes for Fuel Cell Applications. J. Am. Chem. Soc. 2010, 132, 3400–3404. [Google Scholar] [CrossRef]
- You, W.; Padgett, E.; MacMillan, S.N.; Muller, D.A.; Coates, G.W. Highly conductive and chemically stable alkaline anion exchange membranes via ROMP of trans -cyclooctene derivatives. Proc. Natl. Acad. Sci. USA 2019, 116, 9729–9734. [Google Scholar] [CrossRef]
- Mandal, M.; Huang, G.; Hassan, N.U.; Mustain, W.E.; Kohl, P.A. Poly(norbornene) anion conductive membranes: Homopolymer, block copolymer and random copolymer properties and performance. J. Mater. Chem. A 2020, 8, 17568–17578. [Google Scholar] [CrossRef]
- Gao, X.; Yu, H.; Qin, B.; Jia, J.; Hao, J.; Xie, F.; Shao, Z.-G. Enhanced water transport in AEMs based on poly(styrene–ethylene–butylene–styrene) triblock copolymer for high fuel cell performance. Polym. Chem. 2019, 10, 1894–1903. [Google Scholar] [CrossRef]
- Yu, N.; Dong, J.; Li, H.; Wang, T.; Yang, J. Improving the performance of quaternized SEBS based anion exchange membranes by adjusting the functional group and side chain structure. Eur. Polym. J. 2021, 154, 110528. [Google Scholar] [CrossRef]
- Lin, B.; Xu, F.; Su, Y.; Zhu, Z.; Ren, Y.; Ding, J.; Yuan, N. Facile Preparation of Anion-Exchange Membrane Based on Polystyrene-b-polybutadiene-b-polystyrene for the Application of Alkaline Fuel Cells. Ind. Eng. Chem. Res. 2019, 58, 22299–22305. [Google Scholar] [CrossRef]
- Liu, L.; Li, D.; Xing, Y.; Li, N. Mid-block quaternized polystyrene-b-polybutadiene-b-polystyrene triblock copolymers as anion exchange membranes. J. Membr. Sci. 2018, 564, 428–435. [Google Scholar] [CrossRef]
- Faraj, M.; Elia, E.; Boccia, M.; Filpi, A.; Pucci, A.; Ciardelli, F. New anion conducting membranes based on functionalized styrene-butadiene-styrene triblock copolymer for fuel cells applications. J. Polym. Sci. Part A Polym. Chem. 2011, 49, 3437–3447. [Google Scholar] [CrossRef]
- Jeon, J.Y.; Park, S.; Han, J.; Maurya, S.; Mohanty, A.D.; Tian, D.; Saikia, N.; Hickner, M.A.; Ryu, C.Y.; Tuckerman, M.E.; et al. Synthesis of Aromatic Anion Exchange Membranes by Friedel–Crafts Bromoalkylation and Cross-Linking of Polystyrene Block Copolymers. Macromolecules 2019, 52, 2139–2147. [Google Scholar] [CrossRef]
- Shi, Y.; Zhao, Z.; Liu, W.; Zhang, C. Physically Self-Cross-Linked SEBS Anion Exchange Membranes. Energy Fuels 2020, 34, 16746–16755. [Google Scholar] [CrossRef]
- Wang, Z.; Li, Z.; Chen, N.; Lu, C.; Wang, F.; Zhu, H. Crosslinked poly (2,6-dimethyl-1,4-phenylene oxide) polyelectrolyte enhanced with poly (styrene-b-(ethylene-co-butylene)-b-styrene) for anion exchange membrane applications. J. Membr. Sci. 2018, 564, 492–500. [Google Scholar] [CrossRef]
- Filpi, A.; Boccia, M.; Pucci, A.; Ciardelli, F. Modulation of the electrochemical properties of SBS-based anionic membranes by the amine molecular structure. E-Polymers 2013, 13, 1–14. [Google Scholar] [CrossRef]
- Tsai, T.-H.; Ertem, S.P.; Maes, A.M.; Seifert, S.; Herring, A.M.; Coughlin, E.B. Thermally Cross-Linked Anion Exchange Membranes from Solvent Processable Isoprene Containing Ionomers. Macromolecules 2015, 37, 655–662. [Google Scholar] [CrossRef]
- Kang, Z.; Pak, M.; Bender, G. Introducing a novel technique for measuring hydrogen crossover in membrane-based electrochemical cells. Int. J. Hydrogen Energy 2021, 46, 15161–15167. [Google Scholar] [CrossRef]
- Faraj, M.; Boccia, M.; Miller, H.A.; Martini, F.; Borsacchi, S.; Geppi, M.; Pucci, A. New LDPE based anion-exchange membranes for alkaline solid polymeric electrolyte water electrolysis. Int. J. Hydrogen Energy 2012, 37, 14992–15002. [Google Scholar] [CrossRef]
- Sherazi, T.A.; Sohn, J.Y.; Lee, Y.M.; Guiver, M.D. Polyethylene-based radiation grafted anion-exchange membranes for alkaline fuel cells. J. Membr. Sci. 2013, 441, 148–157. [Google Scholar] [CrossRef]
- Song, J.-M.; Lee, S.-Y.; Woo, H.-S.; Sohn, J.-Y.; Shin, J. Thermal behavior of poly(vinylbenzyl chloride)-grafted poly(ethylene-co -tetrafluoroethylene) films. J. Polym. Sci. Part B Polym. Phys. 2014, 52, 517–525. [Google Scholar] [CrossRef]
- Li, Y.; Jackson, A.C.; Beyer, F.L.; Knauss, D.M. Poly(2,6-dimethyl-1,4-phenylene oxide) Blended with Poly(vinylbenzyl chloride)-b-polystyrene for the Formation of Anion Exchange Membranes. Macromolecules 2014, 47, 6757–6767. [Google Scholar] [CrossRef]









| Graft Copolymer | FDVBC (%) | VBC a wt/wt | Sty a wt/wt | VBC b (mol%) | VBC c (mol%) | Mn d (g mol−1) | Mn e (g mol−1) | Ð |
|---|---|---|---|---|---|---|---|---|
| g-VBC-7 | 7 | 1.1 | - | 100 | 100 | 137,000 | 19,500 | 1.50 |
| g-VBC-22 | 22 | 3.6 | - | 100 | 100 | 150,000 | 63,500 | 1.60 |
| g-VBC-5-co-Sty-16 | 5 | 0.7 | 1.98 | 20 | 24 | 158,000 | 55,200 | 1.58 |
| g-VBC-10-co-Sty-13 | 10 | 1.45 | 1.52 | 40 | 43 | 201,000 | 45,600 | 1.56 |
| Film | Tonset1 a (°C) | Tmax1 b (°C) | Tonset2 c (°C) | Tmax2 d (°C) | Residue at 700 (%wt) |
|---|---|---|---|---|---|
| SBS | 420 | 460 | - | - | 0 |
| MI | 406 | 468 | - | - | 2 |
| g-VBC-7 | 333 | 367 | 408 | 467 | 2 |
| g-VBC-7-Q e | 202 | 230 | 408 | 467 | 2 |
| g-VBC-5-co-Sty-16 | 346 | 380 | 420 | 457 | 2 |
| g-VBC-5-co-Sty-16-Q e | 149 | 164 | 404 | 454 | 4 |
| Film | Tg1 a (°C) | ΔCp1b (J (g K)−1) | Tg2a (°C) a | ΔCp2b (J (g K)−1) |
|---|---|---|---|---|
| SBS | 91 | 0.47 | 90 | 0.05 |
| MI | 89 | 0.45 | 90 | 0.11 |
| g-VBC-7 | 91 | 0.40 | 81 | 0.30 |
| g-VBC-7-Q c | 93 | 0.25 | 115 | 0.18 |
| g-VBC-5-co-Sty-16 | 90 | 0.35 | 95 | 0.26 |
| g-VBC-5-co-Sty-16-Qc | 90 | 0.29 | 108 | 0.10 |
| Film | E (MPa) a | (%) | (MPa) |
|---|---|---|---|
| SBS | 30 ± 10 | 670 ± 90 | 6 ± 3 |
| g-VBC-7-Q b | 22 ± 1 | 370 ± 50 | 6 ± 1 |
| g-VBC-5-co-Sty-16-Q b | 260 ± 30 | 460 ± 30 | 25 ± 2 |
| Film | σIP a (mS cm−1) | H2 P (mol cm−1s−1Pa−1) | IEC (meq g−1) | WU (%) |
|---|---|---|---|---|
| Benchmark b | 7.3 | - | 1.84 ± 0.04 | 44 ± 5 |
| g-VBC-7-Q | 6.4 | 17.7·10−17 | 0.88 ± 0.01 | 130 ± 30 |
| g-VBC-22-Q | 19.8 | n.d. c | 1.9 ± 0.2 | 510 ± 40 |
| g-VBC-5-co-Sty-16-Q | 5.7 | 11.9·10−17 | 0.6 ± 0.1 | 110 ± 30 |
| g-VBC-10-co-Sty-13-Q | 7.6 | 18.4·10−17 | 1.5 ± 0.3 | 200 ± 50 |
Disclaimer/Publisher’s Note: The statements, opinions and data contained in all publications are solely those of the individual author(s) and contributor(s) and not of MDPI and/or the editor(s). MDPI and/or the editor(s) disclaim responsibility for any injury to people or property resulting from any ideas, methods, instructions or products referred to in the content. |
© 2023 by the authors. Licensee MDPI, Basel, Switzerland. This article is an open access article distributed under the terms and conditions of the Creative Commons Attribution (CC BY) license (https://creativecommons.org/licenses/by/4.0/).
Share and Cite
Roggi, A.; Guazzelli, E.; Resta, C.; Agonigi, G.; Filpi, A.; Martinelli, E. Vinylbenzyl Chloride/Styrene-Grafted SBS Copolymers via TEMPO-Mediated Polymerization for the Fabrication of Anion Exchange Membranes for Water Electrolysis. Polymers 2023, 15, 1826. https://doi.org/10.3390/polym15081826
Roggi A, Guazzelli E, Resta C, Agonigi G, Filpi A, Martinelli E. Vinylbenzyl Chloride/Styrene-Grafted SBS Copolymers via TEMPO-Mediated Polymerization for the Fabrication of Anion Exchange Membranes for Water Electrolysis. Polymers. 2023; 15(8):1826. https://doi.org/10.3390/polym15081826
Chicago/Turabian StyleRoggi, Andrea, Elisa Guazzelli, Claudio Resta, Gabriele Agonigi, Antonio Filpi, and Elisa Martinelli. 2023. "Vinylbenzyl Chloride/Styrene-Grafted SBS Copolymers via TEMPO-Mediated Polymerization for the Fabrication of Anion Exchange Membranes for Water Electrolysis" Polymers 15, no. 8: 1826. https://doi.org/10.3390/polym15081826
APA StyleRoggi, A., Guazzelli, E., Resta, C., Agonigi, G., Filpi, A., & Martinelli, E. (2023). Vinylbenzyl Chloride/Styrene-Grafted SBS Copolymers via TEMPO-Mediated Polymerization for the Fabrication of Anion Exchange Membranes for Water Electrolysis. Polymers, 15(8), 1826. https://doi.org/10.3390/polym15081826

