Antioxidant and Antiradical Activities of Hibiscus sabdariffa L. Extracts Encapsulated in Calcium Alginate Spheres
Abstract
1. Introduction
2. Materials and Methods
2.1. Materials
2.1.1. Reagents
2.1.2. Plant Material and Preparation of Hibiscus sabdariffa L. Extracts
2.2. Sphere Preparation and Encapsulation of HSL Extract
2.3. Stabilization Studies of Spheres
2.3.1. Physical Characterization of Spheres
2.3.2. Diffusivity Assay
2.3.3. Radical Scavenging Activity
Content of Total Phenolic Compounds
Trolox Equivalent Antioxidant Capacity
2,2-Difenil-1-Picrilhidrazil (DPPH) Radical Scavenging Activity Assay
Oxygen Radical Antioxidant Capacity (ORAC)
2.3.4. Characterization of Phenolic Compounds by HPLC
2.4. Antioxidant Activity of in o/w Emulsions
2.4.1. Oil-in-Water Emulsion Preparation
2.4.2. Primary Oxidation Measures (Peroxide Value)
2.4.3. Secondary Oxidation Reactions (Thiobarbituric Acid Reactive Substances, TBARS)
2.4.4. pH Value
2.5. Statistical Analysis
3. Results and Discussion
3.1. Morphology, Size and Color of HSL Spheres
3.2. Difussivity Assay and Scavenging Activity
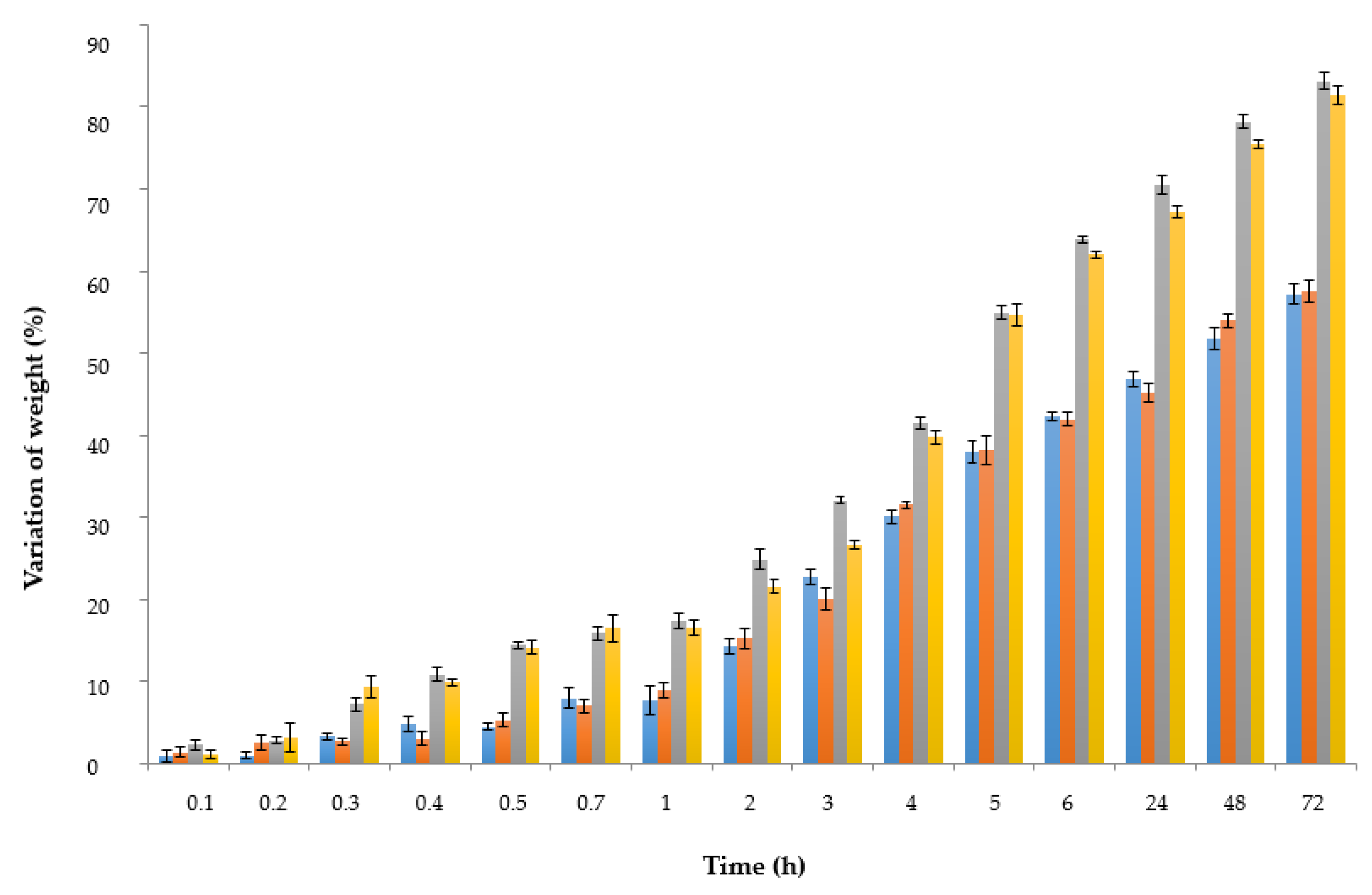
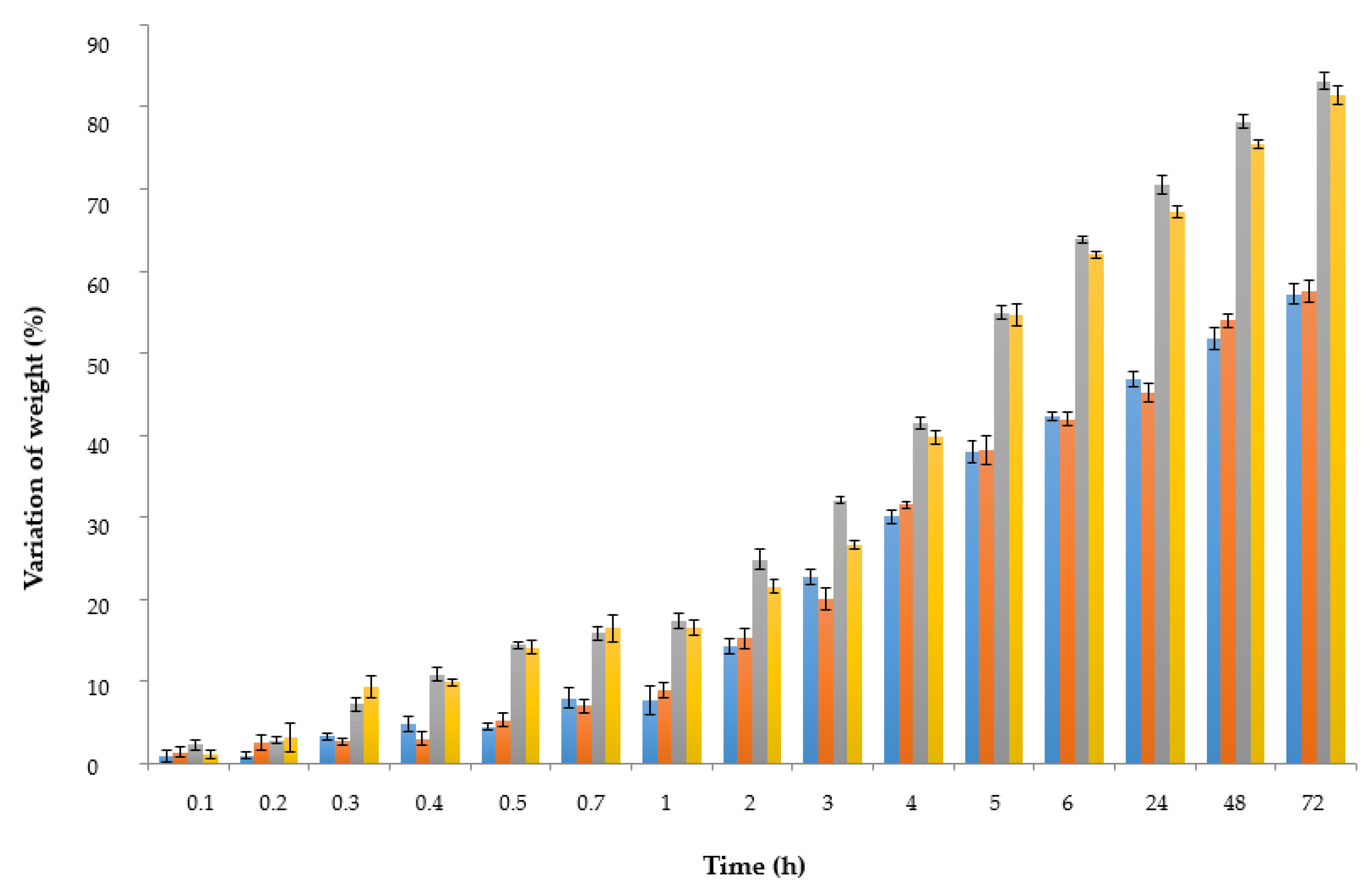
3.3. Changes of Diameter and Weight of HSL Spheres Contained in Different Simulants with Storage
3.4. Antioxidant Activity of Spheres in o/w Emulsions
4. Conclusions
Author Contributions
Funding
Institutional Review Board Statement
Informed Consent Statement
Data Availability Statement
Acknowledgments
Conflicts of Interest
References
- Loi, M.; Paciolla, C. Plant antioxidants for food safety and quality: Exploring new trends of research. Antioxidants 2021, 10, 972. [Google Scholar] [CrossRef]
- Lourenço, S.C.; Moldão-Martins, M.; Alves, V.D. Antioxidants of natural plant origins: From sources to food industry applications. Molecules 2019, 24, 4132. [Google Scholar] [CrossRef] [PubMed]
- Nedovic, V.; Kalusevic, A.; Manojlovic, V.; Levic, S.; Bugarski, B. An overview of encapsulation technologies for food applications. Procedia Food Sci. 2011, 1, 1806–1815. [Google Scholar] [CrossRef]
- Bennacef, C.; Desobry-Banon, S.; Probst, L.; Desobry, S. Advances on alginate use for spherification to encapsulate biomolecules. Food Hydrocoll. 2021, 118, 106782. [Google Scholar] [CrossRef]
- Mohammadalinejhad, S.; Kurek, M.A. Microencapsulation of Antocyanins. Critical review of techniques and wall materials. Appl. Sci. 2021, 11, 3936. [Google Scholar] [CrossRef]
- De Moura, S.C.S.R.; Berling, C.L.; Germer, S.P.M.; Alvim, I.D.; Hubinger, M.D. Encapsulating anthocyanins from Hibiscus sabdariffa L. calyces by ionic gelation: Pigment stability during storage of microparticles. Food Chem. 2018, 241, 317–327. [Google Scholar] [CrossRef]
- Owoade, O.; Adetutu, A.; Olorunnisola, O. A review of chemical constituents and pharmacological properties of Hibiscus sabdariffa L. Int. J. Curr. Res. Biosci. Plant Biol. 2019, 6, 42–51. [Google Scholar] [CrossRef]
- Amer, S.A.; Al-Khalaifah, H.; Gouda, A.; Osman, A.; Goda, N.I.A.; Mohammed, H.A. Potential Effects of Anthocyanin-Rich Roselle (Hibiscus sabdariffa L.). Extract on the Growth, Intestinal Histomorphology, Blood Biochemical Parameters, and the Immune Status of Broiler Chickens. Antioxidants 2022, 11, 544. [Google Scholar] [CrossRef]
- Salami, S.O.; Afolayan, A.J. Evaluation of nutritional and elemental compositions of green and red cultivars of roselle: Hibiscus sabdariffa L. Sci. Rep. 2021, 11, 1030. [Google Scholar] [CrossRef]
- Da-Costa-Rocha, I.; Bonnlaendr, B.; Sievers, H.; Pischel, I.; Heinrich, M. Hibiscus sabdariffa L.—A phytochemical and pharmacological review. Food Chem. 2014, 165, 424–443. [Google Scholar] [CrossRef]
- Yuniati, Y.; Elim, P.E.; Alfanaar, R.; Kusuma, H.S.; Mahfud. Extraction of anthocyanin pigment from Hibiscus Sabdariffa L. by ultrasonic-assisted extraction. In IOP Conference Series: Materials Science and Engineering; IOP Publishing: Bristol, UK, 2021; Volume 1010. [Google Scholar]
- Peredo Pozos, G.I.; Ruiz-López, M.A.; Zamora-Nátera, J.F.; Álvarez-Moya, C.; Barrientos Ramírez, L.; Reynoso Silva, M. Antioxidant Capacity and Antigenotoxic Effect of Hibiscus sabdariffa L. Extracts Obtained with Ultrasound-Assisted Extraction Process. Appl. Sci. 2020, 10, 560. [Google Scholar] [CrossRef]
- Hiromi, Y.; Goro Kajimoto, S.E. Antioxidant effects of d-tocopherols at different concentrations in oils during microwave heating. J. Am. Oil Chem. Soc. 1993, 70, 989–995. [Google Scholar]
- Wang, J.; Cao, X.; Qi, Y.; Ferchaud, V.; Chin, K.L.; Tang, F. High-performance thin-layer chromatographic method for screening antioxidant compounds and discrimination of Hibiscus sabdariffa L. by principal component analysis. JPC–J. Planar Chromatogr. –Mod. TLC 2015, 28, 274–279. [Google Scholar] [CrossRef]
- Ouerfelli, M.; Bettaieb, B.K.; Almajano, M.P. Radical Scavenging and Antioxidant Activity of Anthyllis Vulneraria Leaves and Flowers. Molecules 2018, 23, 1657. [Google Scholar] [CrossRef]
- Gallego, M.G.; Gordon, M.H.; Segovia, F.J.; Skowyra, M.; Almajano, M.P. Antioxidant Properties of Three Aromatic Herbs (Rosemary, Thyme and Lavender) in Oil-in-Water Emulsions. J. Am. Oil Chem. 2013, 90, 1559–1568. [Google Scholar] [CrossRef]
- Villasante, J.; Codina, E.; Hidalgo, G.I.; de Ilarduya, A.M.; Muñoz-Guerra, S.; Almajano, M.P. Poly (α-dodecyl γ-glutamate) (PAAG-12) and polylactic acid films charged with α-tocopherol and their antioxidant capacity in food models. Antioxidants 2019, 8, 284. [Google Scholar] [CrossRef]
- Grau, A.; Guardiola, F.; Boatella, J.; Barroeta, A.; Codony, R. Measurement of 2-thiobarbituric acid values in dark chicken meat through derivative spectrophotometry: Influence of various parameters. J. Agric. Food Chem. 2000, 48, 1155–1159. [Google Scholar] [CrossRef]
- Machado, A.R.; Silva, P.M.P.; Vicente, A.A.; Souza-Soares, L.A.; Pinheiro, A.C.; Cerqueira, M.A. Alginate Particles for Encapsulation of Phenolic Extract from Spirulina sp. LEB-18: Physicochemical Characterization and Assessment of In Vitro Gastrointestinal Behavior. Polymers 2022, 14, 4759. [Google Scholar] [CrossRef]
- Jabeur, I.; Pereira, E.; Caleja, C.; Calhelha, R.C.; Soković, M.; Catarino, L. Exploring the chemical and bioactive properties of: Hibiscus sabdariffa L. calyces from Guinea-Bissau (West Africa). Food Funct. 2019, 10, 2234–2243. [Google Scholar] [CrossRef]
- Luong, P.H.; Nguyen, T.C.; Pham, T.D.; Tran, D.M.T.; Ly, T.N.L.; Vu, Q.T.; Tran, T.K.N.; Thai, H. Preparation and assessment of some characteristics of nanoparticles based on sodium alginatet, chitosan and Camellia Chrysantha polyphenols. Int. J. Polym. Sci. 2021, 2021, 5581177. [Google Scholar] [CrossRef]
- Koksal, E.; Gode, F.; Ozaltin, K.; Karakurt, I.; Suly, P.; Saha, P. Controlled release of vitamin U from microencapsulated brassica oleracea L. var. capitata extract for peptic ulcer treatment. Food Bioproc. Tech. 2023, 16, 677–689. [Google Scholar] [CrossRef]
- Piovesana, A.; Rodrigues, E.; Zapata Noreña, C.P. Composition analysis of carotenoids and phenolic compounds and antioxidant activity from hibiscus calyces (Hibiscus sabdariffa L.) by HPLC-DAD-MS/MS. Phytochem. Anal. 2019, 30, 208–2017. [Google Scholar] [CrossRef] [PubMed]
- Hapsari, B.W.; Manikharda Setyaningsih, W. Methodologies in the analysis of phenolic compounds in roselle (Hibiscus sabdariffa L.): Composition, biological activity, and beneficial effects on human health. Horticulturae 2021, 7, 35. [Google Scholar] [CrossRef]
- Obouayeba, A.P.; Djyh, N.B.; Sekou, D.; Djaman, A.J.; N’guessan, J.D.; Kone, M.; Kouakou, T.H.P. No Titl Phytochemical and Antioxidant Activity of Roselle (Hibiscus sabdariffa L.) Petal Extracts. Res. J. Pharm. Biol. Chem. Sci. 2013, 4, 1694–1720. [Google Scholar]
- Neacsu, M.; Vaughan, N.; Raikos, V.; Multari, S.; Duncan, G.J.; Duthie, G.G. Phytochemical profile of commercially available food plant powders: Their potential role in healthier food reformulations. Food Chem. 2015, 179, 159–169. [Google Scholar] [CrossRef]
- Gustav, K.M.; Haroon, E.T.; Osei-Kwarteng, M.; Abdalbasit, A.M.; Onyago Gweyi, J. Food use of whole and extracts of Hibiscus sabdariffa. In Roselle (Hibiscus sabdariffa); Academic Press: Cambridge, MA, USA, 2021; pp. 123–136. [Google Scholar]
- Edwin, N.F.; Shu-Wen, H.; Aeschbach, R.; Prior, E. Antioxidant Activity of a Rosemary Extract and Its Constituents, Carnosic Acid, Carnosol, and Rosmarinic Acid, in Bulk Oil and Oil-in-Water Emulsion. J. Agric. Food Chem. 1999, 44, 131–135. [Google Scholar]











| Simulants 2 | TPC 1 | ||||
|---|---|---|---|---|---|
| Section 1 | Section 2 | Section 3 | |||
| Slope 3 | Intercept | Slope | Intercept | Maximum Value [mg GAE/mL] 4 | |
| W | 0.0206 | 0.0189 | 0.0026 | 0.0377 | 0.0560 c |
| AA | 0.0397 | 0.0206 | 0.0035 | 0.0587 | 0.0793 a |
| 50EtOH | 0.0306 | 0.0195 | 0.0039 | 0.0467 | 0.0699 b |
| 100EtOH | 0.0400 | 0.0149 | 0.0033 | 0.0507 | 0.0682 b |
| Simulants 2 | TEAC 1 | ||||
|---|---|---|---|---|---|
| Section 1 | Section 2 | Section 3 | |||
| Slope 3 | Intercept | Slope 3 | Intercept | Maximum Value [mmol Trolox/mL] 4 | |
| W | 0.1794 | 0.1719 | 0.0129 | 0.3208 | 0.4177a |
| AA | 0.0939 | 0.2062 | 0.0192 | 0.301 | 0.4370 a |
| 50EtOH | 0.2057 | 0.1719 | 0.0109 | 0.3449 | 0.4222 a |
| 100EtOH | 0.1582 | 0.1879 | 0.0117 | 0.3433 | 0.4164 a |
| Simulants 2 | DPPH 1 | ||||
|---|---|---|---|---|---|
| Section 1 | Section 2 | Section 3 | |||
| Slope 3 | Intercept | Slope 3 | Intercept | Maximum Value [mmol Trolox/mL] 4 | |
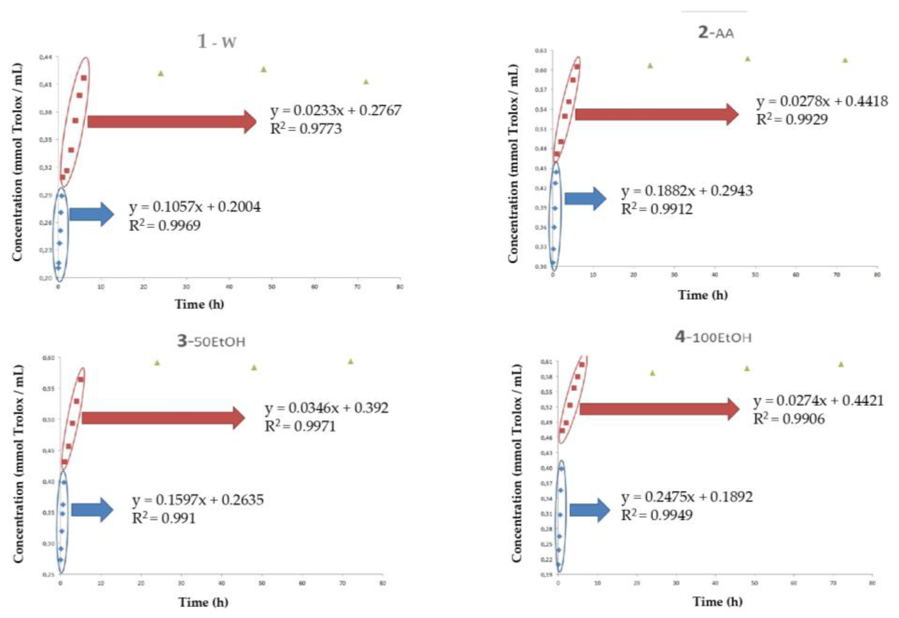
| W | 0.1057 | 0.2004 | 0.0233 | 0.2767 | 0.4268 b |
| AA | 0.1882 | 0.2943 | 0.0278 | 0.4418 | 0.6176 a |
| 50EtOH | 0.1597 | 0.2635 | 0.0346 | 0.392 | 0.5936 a |
| 100EtOH | 0.2475 | 0.1892 | 0.0274 | 0.4421 | 0.6050 a |
| Simulants 2 | ORAC 1 | ||||
|---|---|---|---|---|---|
| Section 1 | Section 2 | Section 3 | |||
| Slope 3 | Intercept | Slope 3 | Intercept | Maximum Value [mmol Trolox/mL] 4 | |
| W | 6.3532 | 6.426 | 1.2067 | 12.083 | 19.6686 b |
| 50EtOH | 6.0506 | 10.415 | 1.1493 | 15.803 | 23.0273 a |
| 100EtOH | 6.0791 | 10.727 | 1.2912 | 16.221 | 23.8159 a |
| Reference 1 | Concentration 2 (% Loss 3) | ||
|---|---|---|---|
| Chlorogenic Acid | Quercetin | Kaempferol | |
| HSL extract | 73.911 | 13.583 | 1.332 |
| HSL in W | 0.919 (37.6) | 0.083 (69.2) | 0.006 (75.6) |
| HSL in AA | 1.049 (28.8) | 0.109 (59.6) | 0.010 (63.8) |
| HSL in EtOH:W | 0.766 (48.0) | 0.123 (54.7) | 0.013 (51.7) |
| HSL in 100EtOH | 0.291 (80.2) | 0.116 (57.0) | 0.011 (57.9) |
Disclaimer/Publisher’s Note: The statements, opinions and data contained in all publications are solely those of the individual author(s) and contributor(s) and not of MDPI and/or the editor(s). MDPI and/or the editor(s) disclaim responsibility for any injury to people or property resulting from any ideas, methods, instructions or products referred to in the content. |
© 2023 by the authors. Licensee MDPI, Basel, Switzerland. This article is an open access article distributed under the terms and conditions of the Creative Commons Attribution (CC BY) license (https://creativecommons.org/licenses/by/4.0/).
Share and Cite
Bevan, P.; Pastor, M.V.; Almajano, M.P.; Codina-Torrella, I. Antioxidant and Antiradical Activities of Hibiscus sabdariffa L. Extracts Encapsulated in Calcium Alginate Spheres. Polymers 2023, 15, 1740. https://doi.org/10.3390/polym15071740
Bevan P, Pastor MV, Almajano MP, Codina-Torrella I. Antioxidant and Antiradical Activities of Hibiscus sabdariffa L. Extracts Encapsulated in Calcium Alginate Spheres. Polymers. 2023; 15(7):1740. https://doi.org/10.3390/polym15071740
Chicago/Turabian StyleBevan, Pascal, Maria Vicenta Pastor, María Pilar Almajano, and Idoia Codina-Torrella. 2023. "Antioxidant and Antiradical Activities of Hibiscus sabdariffa L. Extracts Encapsulated in Calcium Alginate Spheres" Polymers 15, no. 7: 1740. https://doi.org/10.3390/polym15071740
APA StyleBevan, P., Pastor, M. V., Almajano, M. P., & Codina-Torrella, I. (2023). Antioxidant and Antiradical Activities of Hibiscus sabdariffa L. Extracts Encapsulated in Calcium Alginate Spheres. Polymers, 15(7), 1740. https://doi.org/10.3390/polym15071740

