New Chemically Amplified Positive Photoresist with Phenolic Resin Modified by GMA and BOC Protection
Abstract
1. Introduction
2. Materials and Methods
2.1. Raw Materials
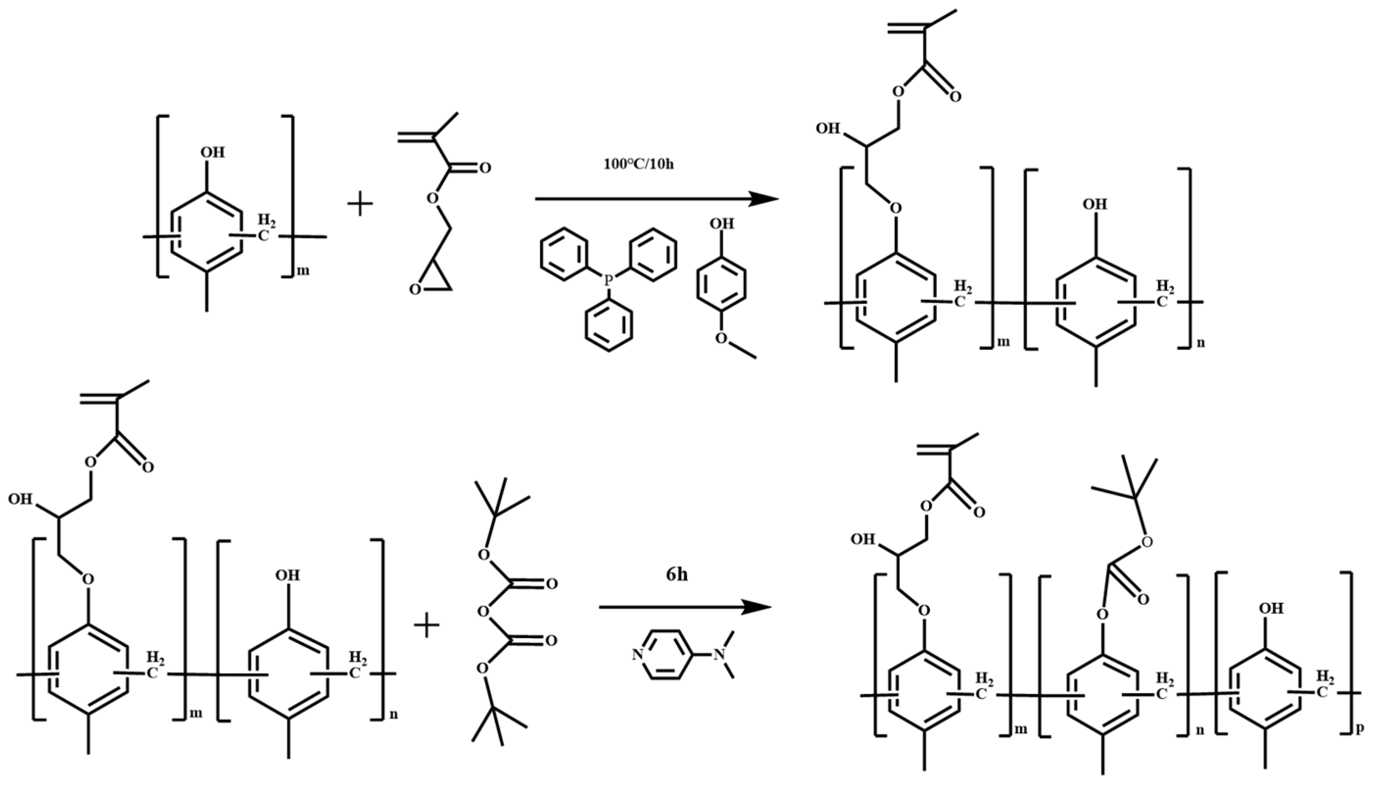
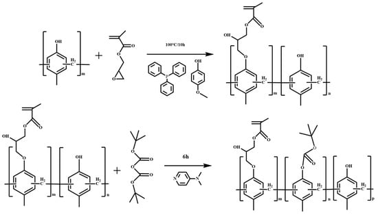
2.2. Synthesis of Materials
- (1)
- Addition reaction of GMA (17.1 g, 15 mol%) to phenolic resin JB480 (82.28 g, 100 mol%) in PGMEA (234. 2 g) as the solvent in a round flask with magnetic stirring. First, the JB480 (82.28 g) resin was mixed into PGMEA (204.2 g) and stirred at approximately 60 °C until the resin was completely dissolved, and then the solution was cooled to approximately 35 °C. The inhibitor p-methoxyphenol was added into the solution at approximately 50 ppm. Then, the required amount of GMA (17.1 g) was added into the reaction flask, and the temperature was raised to 70 °C. Finally, a solution of triphenylphosphine (0.98 g) in PGMEA (30 g) was added dropwise to the reaction solution through a dropping funnel. The reaction was continued at approximately 100°C for 10 h to give GMA-adducted resin solution JB00.
- (2)
- BOC protection: Based on the BOC protection ratio of resin JB480, the molar ratios of JB480 and BOC were 100:20, 100:25 and 100:30 molar, hereinafter referred to as JB20, JB25 and JB30, respectively. DMAP (the quantities of DMAP of 0.15 g, 0.19 g and 0.22 g correspond to JB20, JB25 and JB30, respectively) was dissolved into 5 g of PGMEA and then slowly added dropwise to a solution of JB00 (167.2 g) with stirring at room temperature. The BOC reagent (the mass and molar ratio of BOC to be added to JB20, JB25 and JB30 were 14.8 g, 18.6 g, 22.3 g and 20 mol%, 25 mol%, 30 mol%, respectively) in 5 g of PGMEA was added to the reaction solution. The mixture was stirred with a magnet stirrer at 25 °C for 6 h. The resulting BOC-protected synthetic JB resin was filtered with a PTFE membrane filter for further study. The synthesis process of JB20, JB25 and JB30 was consistent.
2.3. Material Characterization
2.4. Lithography Evaluation
3. Results and Discussion
3.1. Chemical Structure and Molecular Properties
3.2. Quality Evaluation of the Modified Phenolic Resins
4. Conclusions
Author Contributions
Funding
Institutional Review Board Statement
Data Availability Statement
Acknowledgments
Conflicts of Interest
References
- Liu, Y.; Zeng, K.; Zheng, S. Organic-in organic hybrid nanocomposites involving novolac resin and polyhedral oligomeric silsesquioxane. React. Funct. Polym. 2007, 67, 627–635. [Google Scholar] [CrossRef]
- Pan, H. Synthesis of polymers from organic solvent liquefied biomass: A review. Renew. Sustain. Energy Rev. 2011, 15, 3454–3463. [Google Scholar] [CrossRef]
- Hua, Y.Q.; Zhang, Z.X.; Qin, Q. Curing reaction of molybdenum-phenolic resins. J. Appl. Polym. Sci. 2003, 88, 1410–1415. [Google Scholar] [CrossRef]
- Deng, P.; Liu, Y.S.; Liu, Y.; Xu, C.G.; Wang, Q. Preparation of phosphorus-containing phenolic resin and its application in epoxy resin as a curing agent and flame retardant. Polym. Adv. Technol. 2018, 29, 1294–1302. [Google Scholar] [CrossRef]
- Barton, H.D. Phenolic and furan resins in chemical equipment. Ind. Eng. Chem. 1964, 56, 66–69. [Google Scholar] [CrossRef]
- Zhou, H.H.; Xu, S.; Su, H.P.; Wang, M.; Qiao, W.M.; Ling, L.C.; Long, D.H. Facile preparation and ultra-microporous structure of melamine-resorcinol-formaldehyde polymeric microspheres. Chem. Commun. 2013, 49, 3763–3765. [Google Scholar] [CrossRef]
- Civioc, R.; Lattuada, M.; Koebel, M.M.; Galmarini, S. Monolithic resorcinol-formaldehyde alcogels and their corresponding nitrogen-doped activated carbons. J. Sol-Gel Sci. Technol. 2020, 95, 719–732. [Google Scholar] [CrossRef]
- Nakase, M.; Niki, H.; Satoh, T.; Kumagae, A. Characterization of a newly developed contrast enhancement material for g-line exposure. Jpn. J. Appl. Phys. 1987, 26, 293–297. [Google Scholar] [CrossRef]
- Rivero, G.; Fasce, L.A.; Cere, S.M.; Manfredi, L.B. Furan resins as replacement of phenolic protective coatings: Structural, mechanical and functional characterization. Prog. Org. Coat. 2014, 77, 247–256. [Google Scholar] [CrossRef]
- Lochab, B.; Shukla, S.; Varma, I.K. Naturally occurring phenolic sources: Monomers and polymers. Rsc. Adv. 2014, 4, 21712–21752. [Google Scholar] [CrossRef]
- Wang, F.Y.; Ma, C.C.M.; Wu, W.J. Mechanical properties, morphology, and flame retardance of glass fiber-reinforced polyamide-toughened novolac-type phenolic resin. J. Appl. Polym. Sci. 1999, 73, 881–887. [Google Scholar] [CrossRef]
- Chen, Y.F.; Wu, Y.Z.; Geng, C.B.; Li, Z.G.; Dai, G.Q.; Cui, W.W. Curing Kinetics and the Properties of KH560-SiO2/Polyethersulfone/Bismaleimide-Phenolic Epoxy Resin Composite. J. Inorg. Organomet. Polym. Mater. 2020, 30, 1735–1743. [Google Scholar] [CrossRef]
- Gao, M.; Wu, W.H.; Wang, Y.H.; Wang, Y.X.; Wang, H. Phenolic foam modified with dicyandiamide as toughening agent. J. Therm. Anal. Calorim. 2016, 124, 189–195. [Google Scholar] [CrossRef]
- Wang, F.; Wang, Y.H.; Peng, W.; Ji, J.Q.; Liu, J.Y.; Xiao, P.; Wang, Y. Independent component analysis enhanced pulse thermography for high silicon oxygen phenolic resin (HSOPR) sheet with subsurface defects. Infrared Phys. Technol. 2018, 92, 345–349. [Google Scholar] [CrossRef]
- Kimura, H.; Matsumoto, A.; Ohtsuka, K. Studies on new type of phenolic resin—Curing reaction of bisphenol-A-based benzoxazine with epoxy resin using latent curing agent and the properties of the cured resin. J. Appl. Polym. Sci. 2008, 109, 1248–1256. [Google Scholar] [CrossRef]
- Charalambides, M.N.; Williams, J.G. Fracture-toughness characterization of phenolic resin and its composite. Polym. Compos. 1995, 16, 17–28. [Google Scholar] [CrossRef]
- Xu, P.J.; Jing, X.L. High carbon yield thermoset resin based on phenolic resin, hyperbranched polyborate, and paraformaldehyde. Polym. Adv. Technol. 2011, 22, 2592–2595. [Google Scholar] [CrossRef]
- Feih, S.; Mathys, Z.; Mathys, G.; Gibson, A.G.; Robinson, M.; Mouritz, A.P. Influence of water content on failure of phenolic composites in fire. Polym. Degrad. Stab. 2008, 93, 376–382. [Google Scholar] [CrossRef]
- Deng, J.Y.; Bailey, S.; Jiang, S.Y.; Ober, C.K. High-performance chain scissionable resists for extreme ultraviolet lithography: Discovery of the photoacid generator structure and mechanism. Chem. Mater. 2022, 34, 6170–6181. [Google Scholar] [CrossRef]
- Cao, C.; Liu, J.; Xia, X.; Shen, X.; Qiu, Y.; Kuang, C.; Liu, X. Click chemistry assisted organic-inorganic hybrid photoresist for ultra-fast two-photon lithography. Addit. Manuf. 2022, 51, 102658. [Google Scholar] [CrossRef]
- Hampu, N.; Hillmyer, M.A. Temporally controlled curing of block polymers in the disordered state using thermally stable photoacid generators for the preparation of nanoporous membranes. ACS Appl. Polym. Mater. 2019, 1, 1148–1154. [Google Scholar] [CrossRef]
- von Mayersbach, H.; Hopfel-Kreiner, I. UV versus chemical polymerization of glycol methacrylate (GMA) in enzyme histochemistry. Acta Histochem. 1978, 63, 246–250. [Google Scholar] [CrossRef] [PubMed]
- Vlnieska, V.; Mikhaylov, A.; Zakharova, M.; Blasco, E.; Kunka, D. Epoxy Resins for Negative Tone Photoresists. Polymers 2019, 11, 1457. [Google Scholar] [CrossRef] [PubMed]
- El-Demerdash, A.M.; Sadik, W.A.; El-Maghraby, A.H. Preparation, characterization, and lithographic applications of glycidyl Methacrylate/Methacrylic acid/t-butyl-4-vinylphenyl carbonate terpolymers. J. Appl. Polym. Sci. 2008, 108, 2467–2471. [Google Scholar] [CrossRef]
- Niu, X.; Huo, L.; Cai, C.; Guo, J.; Zhou, H. Rod-Like Attapulgite Modified by Bifunctional Acrylic Resin As Reinforcement for Epoxy Composites. Ind. Eng. Chem. Res. 2014, 53, 16359–16365. [Google Scholar] [CrossRef]
- Chen, F.; Liu, P. Conducting Polyaniline Nanoparticles and Their Dispersion for Waterborne Corrosion Protection Coatings. ACS Appl. Mater. Interfaces 2011, 3, 2694–2702. [Google Scholar] [CrossRef] [PubMed]
- Faggi, E.; Gasco, C.; Aguilera, J.; Guirado, G.; Ortego, S.; Saez, R.; Pujol, F.; Marquet, J.; Hernando, J.; Maria Sebastian, R. Polymethylferrocene-Induced Photopolymerization of Cyanoacrylates Using Visible and Near-Infrared Light. Macromolecules 2019, 52, 5602–5610. [Google Scholar] [CrossRef]
- Li, H.; Zhou, Z.; Liu, J.; Xu, W.; Liu, R.; Liu, X. One-pot synthesis of molecular glass photoresists based on β-cyclodextrin containing a t-butyloxy carbonyl group for i-line lithography. Polym. Bull. 2016, 74, 1091–1101. [Google Scholar] [CrossRef]









| Samples | Polydispersity | |||
|---|---|---|---|---|
| JB480 | 1875 | 7868 | 4771 | 4.20 |
| JB20 | 2070 | 6504 | 4792 | 3.14 |
| JB25 | 2080 | 6510 | 4771 | 3.13 |
| JB30 | 2140 | 6803 | 4792 | 3.18 |
| GMA-Modified Phenolic Resin | |||||||
|---|---|---|---|---|---|---|---|
| initial thickness (nm) | 773.5 | 773.5 | 882.6 | 719.7 | 820.7 | 731.4 | 531 |
| ratio of GMA (mol%) | 0% | 5% | 10% | 15% | 20% | 25% | 30% |
| film thickness loss at 20 s (nm) | 644.9 | 644.9 | 585.1 | 537.4 | 454.3 | 292.6 | 20.3 |
| Samples | JB20 (nm) | JB25 (nm) | JB30 (nm) | JB-DNQ (nm) |
|---|---|---|---|---|
| initial thickness | 988.9 | 891.4 | 959.8 | 1569.1 |
| film thickness loss at 10 s | 6.6 | 0 | 8.1 | 79.9 |
| film thickness loss at 20 s | 0.2 | 0 | 4.1 | 279.7 |
| film thickness loss at 30 s | 4.2 | 0 | 1.3 | 552.8 |
Disclaimer/Publisher’s Note: The statements, opinions and data contained in all publications are solely those of the individual author(s) and contributor(s) and not of MDPI and/or the editor(s). MDPI and/or the editor(s) disclaim responsibility for any injury to people or property resulting from any ideas, methods, instructions or products referred to in the content. |
© 2023 by the authors. Licensee MDPI, Basel, Switzerland. This article is an open access article distributed under the terms and conditions of the Creative Commons Attribution (CC BY) license (https://creativecommons.org/licenses/by/4.0/).
Share and Cite
Liu, J.; Kang, W. New Chemically Amplified Positive Photoresist with Phenolic Resin Modified by GMA and BOC Protection. Polymers 2023, 15, 1598. https://doi.org/10.3390/polym15071598
Liu J, Kang W. New Chemically Amplified Positive Photoresist with Phenolic Resin Modified by GMA and BOC Protection. Polymers. 2023; 15(7):1598. https://doi.org/10.3390/polym15071598
Chicago/Turabian StyleLiu, Junjun, and Wenbing Kang. 2023. "New Chemically Amplified Positive Photoresist with Phenolic Resin Modified by GMA and BOC Protection" Polymers 15, no. 7: 1598. https://doi.org/10.3390/polym15071598
APA StyleLiu, J., & Kang, W. (2023). New Chemically Amplified Positive Photoresist with Phenolic Resin Modified by GMA and BOC Protection. Polymers, 15(7), 1598. https://doi.org/10.3390/polym15071598

