Experimental Research of Abnormal Wear for Water-Lubricated Polymer Bearings under Low Speed, Heavy Pressure, and High Water Temperature
Abstract
1. Introduction
2. Experimental Equipment and Operating Conditions
2.1. Experimental Equipment and Data Measurement
2.2. Operating Conditions
2.3. Preparation before Experiment Test
3. Results and Discussion
3.1. Friction Coefficient (COF) under Different Speeds
3.2. Friction Coefficient (COF) under Different Speeds and Pressures
3.3. Friction Coefficient (COF) under Different Speeds, Pressures, and Water Temperatures
3.4. Hydrolysis, Melting, and Polymer Accumulation of Polymer Bearing Surface
4. Conclusions
- Under different specific pressures, speeds, and water temperatures, speeds have the greatest impact on the lubrication state under 50–350 rpm; thus, speeds have great influence on the COF compared with specific pressures and water temperatures because the lubrication state affect the COF directly.
- The rising water temperature causes heat dissipation deterioration and obvious heat generation; thus, the temperature rise in the polymer bearing surface increases significantly at the maximum permissible specific pressure of 0.5 MPa. The hydrolysis and melting of the polymer bearing occurred under 50 rpm, 0.5 MPa, and a 40 °C water temperature.
- Water swelling time of polymer bearings is about 6 months, and bearing diameter after water swelling was reduced by about 0.6 mm. The wear depth after hydrolysis and melting was 10 times larger than normal wear depth. Polymer bearings are sensitive to high water temperature, heavy pressure, and low speed, and their occurrence at the same time needs to be avoided.
Author Contributions
Funding
Data Availability Statement
Conflicts of Interest
References
- Litwin, W. Marine Propeller Shaft Bearings under Low-Speed Conditions: Water vs. Oil Lubrication. Tribol. Trans. 2019, 62, 839–849. [Google Scholar] [CrossRef]
- Litwin, W. Water-lubricated bearings of ship propeller shafts problems, experimental tests and theoretical investigations. Pol. Marit. Res. 2009, 16, 41–49. [Google Scholar] [CrossRef]
- Litwin, W. Experimental research on marine oil-lubricated stern tube bearing. Proc. Inst. Mech. Eng. Part J J. Eng. Tribol. 2019, 233, 1773–1781. [Google Scholar] [CrossRef]
- Litwin, W.; Olszewski, A. Assessment of possible application of water lubricated sintered brass slide bearing for marine propeller shaft. Pol. Marit. Res. 2012, 19, 54–61. [Google Scholar] [CrossRef]
- Litwin, W. Experimental research on water lubricated three layer sliding bearing with lubrication grooves in the upper part of the bush and its comparison with a rubber bearing. Tribol. Int. 2015, 82, 153–161. [Google Scholar] [CrossRef]
- Litwin, W.; Olszewski, A. Water-Lubricated Sintered Bronze Journal Bearings—Theoretical and Experimental Research. Tribol. Trans. 2014, 57, 114–122. [Google Scholar] [CrossRef]
- Litwin, W.; Dymarski, C. Experimental research on water-lubricated marine stern tube bearings in conditions of improper lubrication and cooling causing rapid bush wear. Tribol. Int. 2016, 95, 449–455. [Google Scholar] [CrossRef]
- Litwin, W. Influence of local bush wear on water lubricated sliding bearing load carrying capacity. Tribol. Int. 2016, 103, 352–358. [Google Scholar] [CrossRef]
- Litwin, W. Experimental Investigation on Marine Main Shaft Bearings With Reduced Length to Diameter Ratio. In Proceedings of the STLE/ASME 2010 International Joint Tribology Conference IJTC2010, San Francisco, CA, USA, 17–20 October 2010. [Google Scholar]
- Litwin, W. Properties comparison of rubber and three layer PTFE-NBR-bronze water lubricated bearings with lubricating grooves along entire bush circumference based on experimental tests. Tribol. Int. 2015, 90, 404–411. [Google Scholar] [CrossRef]
- Wodtke, M.; Litwin, W. Water-lubricated stern tube bearing—Experimental and theoretical investigations of thermal effects. Tribol. Int. 2021, 153, 106608–106615. [Google Scholar] [CrossRef]
- Quinci, F.; Litwin, W.; Wodtke, M.; van Den Nieuwendijk, R. A comparative performance assessment of a hydrodynamic journal bearing lubricated with oil and magnetorheological fluid. Tribol. Int. 2021, 162, 326–335. [Google Scholar] [CrossRef]
- Barszczewska, A. Experimental Research on Insufficient Water Lubrication of Marine Stern Tube Journal Bearing with Elastic Polymer Bush. Pol. Marit. Res. 2020, 27, 91–102. [Google Scholar] [CrossRef]
- Barszczewska, A.; Piatkowska, E.; Litwin, W. Selected Problems of Experimental Testing Marine Stern Tube Bearings. Pol. Marit. Res. 2019, 26, 142–154. [Google Scholar] [CrossRef]
- Zou, D.; Lv, F.; Ta, N.; Rao, Z. Study on bearing force of marine propeller induced by longitudinal vibration of propulsion-shafting. Ships Offshore Struct. 2020, 15, 162–173. [Google Scholar] [CrossRef]
- Lv, F.; Ta, N.; Rao, Z. Analysis of equivalent supporting point location and carrying capacity of misaligned journal bearing. Tribol. Int. 2017, 116, 26–38. [Google Scholar] [CrossRef]
- Lv, F.; Rao, Z.; Ta, N.; Jiao, C. Mixed-lubrication analysis of thin polymer film overplayed metallic marine stern bearing considering wall slip and journal misalignment. Tribol. Int. 2017, 109, 390–397. [Google Scholar] [CrossRef]
- Xie, Z.; Shen, N.; Zhu, W.; Tian, W.; Hao, L. Theoretical and experimental investigation on the influences of misalignment on the lubrication performances and lubrication regimes transition of water lubricated bearing. Mech. Syst. Signal Process. 2021, 149, 107211. [Google Scholar] [CrossRef]
- Xie, Z.; Rao, Z.; Liu, H. Effect of Surface Topography and Structural Parameters on the Lubrication Performance of a Water-Lubricated Bearing: Theoretical and Experimental Study. Coatings 2019, 9, 23. [Google Scholar] [CrossRef]
- Lv, F.; Jiao, C.; Ta, N.; Rao, Z. Mixed-lubrication analysis of misaligned bearing considering turbulence. Tribol. Int. 2018, 119, 19–26. [Google Scholar] [CrossRef]
- Xie, Z.; Liu, H. Experimental research on the interface lubrication regimes transition of water lubricated bearing. Mech. Syst. Signal Process. 2020, 136, 106522. [Google Scholar] [CrossRef]
- Litwin, W. Influence of Surface Roughness Topography on Properties of Water-Lubricated Polymer Bearings: Experimental Research. Tribol. Trans. 2011, 54, 351–361. [Google Scholar] [CrossRef]
- Litwin, W.; Olszewski, A. Properties Comparison of Two Water Lubricated Rubber Bearings Based on Experimental Test. In Proceedings of the ASME/STLE 2012 International Joint Tribology Conference, Denver, CO, USA, 7–10 October 2012. [Google Scholar]
- Pang, X.; Xue, X.; Jin, X. Experimental study on wear life of journal bearings in the rotor system subjected to torque. Trans. Can. Soc. Mech. Eng. 2020, 44, 272–278. [Google Scholar] [CrossRef]
- Hirani, H.; Verma, M. Tribological study of elastomeric bearings for marine propeller shaft system. Tribol. Int. 2009, 42, 378–390. [Google Scholar] [CrossRef]
- Litwin, W.; Olszewski, A.; Wodtke, M. Influence of shaft misalignment on water lubricated turbine sliding bearings with various bush modules of elasticity. Key Eng. Mater. 2011, 490, 128–134. [Google Scholar] [CrossRef]
- Takabi, J.; Khonsari, M.M. On the thermally-induced seizure in bearings: A review. Tribol. Int. 2015, 91, 118–130. [Google Scholar] [CrossRef]
- Laukiavich, C.A.; Braun, M.J.; Chandy, A.J. An Investigation into the Thermal Effects on a Hydrodynamic Bearing’s Clearance. Tribol. Trans. 2015, 58, 980–1001. [Google Scholar] [CrossRef]
- Eder, S.J.; Ielchici, C.; Krenn, S.; Brandtner, D. An experimental framework for determining wear in porous journal bearings operated in the mixed lubrication regime. Tribol. Int. 2018, 123, 1–9. [Google Scholar] [CrossRef]












| Length/Diameter | Relative Clearance | Operating Temperature (wet) | Water Swell | Young’s Modulus | Poisson Ratio | Specific Gravity |
|---|---|---|---|---|---|---|
| 1.5 | 0.3% | −7~60 °C | 1.3% | 605 MPa | ~0.45 | 1.16 |
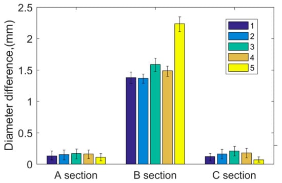
| States | Section | Diameter of Measuring Points | ||||
|---|---|---|---|---|---|---|
| 1 | 2 | 3 | 4 | 5 | ||
| Before soaking | A | 307.92 | 307.95 | 307.92 | 307.90 | 307.90 |
| B | 307.79 | 307.81 | 307.78 | 307.79 | 307.76 | |
| C | 307.70 | 307.69 | 307.63 | 307.63 | 307.60 | |
| After soaking | A | 307.45 | 307.56 | 307.61 | 307.52 | 307.38 |
| B | 307.16 | 307.28 | 307.31 | 307.21 | 307.08 | |
| C | 307.00 | 307.15 | 307.15 | 307.05 | 306.98 | |
Disclaimer/Publisher’s Note: The statements, opinions and data contained in all publications are solely those of the individual author(s) and contributor(s) and not of MDPI and/or the editor(s). MDPI and/or the editor(s) disclaim responsibility for any injury to people or property resulting from any ideas, methods, instructions or products referred to in the content. |
© 2023 by the authors. Licensee MDPI, Basel, Switzerland. This article is an open access article distributed under the terms and conditions of the Creative Commons Attribution (CC BY) license (https://creativecommons.org/licenses/by/4.0/).
Share and Cite
Liu, Y.; Gao, G.; Jiang, D. Experimental Research of Abnormal Wear for Water-Lubricated Polymer Bearings under Low Speed, Heavy Pressure, and High Water Temperature. Polymers 2023, 15, 1227. https://doi.org/10.3390/polym15051227
Liu Y, Gao G, Jiang D. Experimental Research of Abnormal Wear for Water-Lubricated Polymer Bearings under Low Speed, Heavy Pressure, and High Water Temperature. Polymers. 2023; 15(5):1227. https://doi.org/10.3390/polym15051227
Chicago/Turabian StyleLiu, Ying, Gengyuan Gao, and Dan Jiang. 2023. "Experimental Research of Abnormal Wear for Water-Lubricated Polymer Bearings under Low Speed, Heavy Pressure, and High Water Temperature" Polymers 15, no. 5: 1227. https://doi.org/10.3390/polym15051227
APA StyleLiu, Y., Gao, G., & Jiang, D. (2023). Experimental Research of Abnormal Wear for Water-Lubricated Polymer Bearings under Low Speed, Heavy Pressure, and High Water Temperature. Polymers, 15(5), 1227. https://doi.org/10.3390/polym15051227

