Fabrication of Ordered Porous Polyimide Films Templated by (AB)m Type of Diblock Copolymer
Abstract
1. Introduction
2. Materials and Methods
2.1. Materials
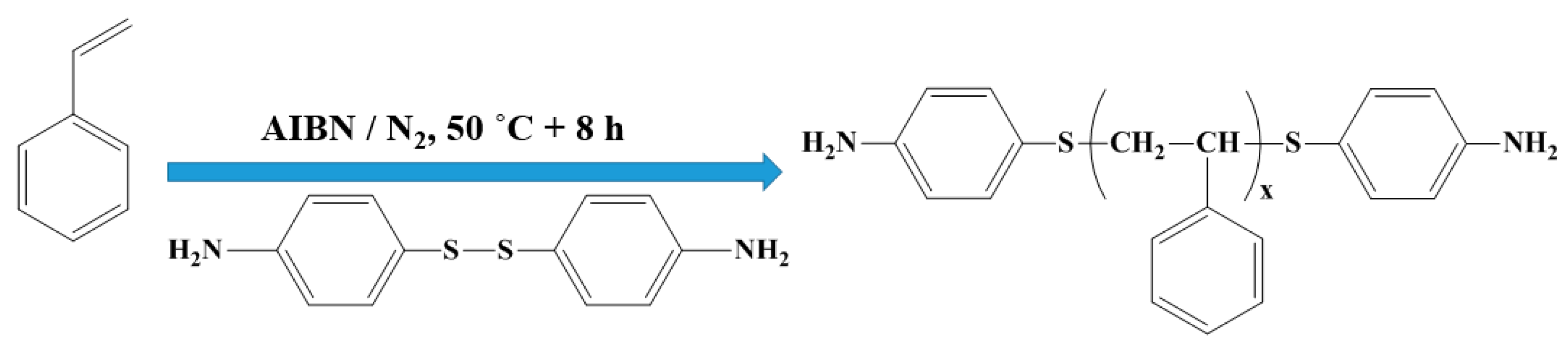
2.2. Preparation of Amino Endcapped PS
2.3. Preparation of PAA-b-PS
2.4. Preparation of Porous Polyimide Films
2.5. Measurements
3. Results
3.1. FTIR Characterization
3.2. Molecular Weight and Molecular Weight Distribution
3.3. TGA Characterization
3.4. Morphological Characterization
3.5. Dielectric Properties
3.6. Liquid Uptake Behavior
3.7. Water Contact Angle
4. Discussion
4.1. Synthesis of PAA-b-PSs/PI-b-PSs
4.2. Fabrication of Ordered PI Films from Self-Assembly of PAA-b-PSs
4.3. Performance of Ordered Porous PI Films from PAA-b-PSs
5. Conclusions
Author Contributions
Funding
Institutional Review Board Statement
Informed Consent Statement
Data Availability Statement
Conflicts of Interest
References
- Fang, Q.R.; Wang, J.H.; Gu, S.; Kaspar, R.B.; Zhuang, Z.B.; Zheng, J.; Guo, H.X.; Qiu, S.L.; Yan, Y.S. 3D Porous crystalline polyimide covalent organic frameworks for drug delivery. J. Am. Chem. Soc. 2015, 137, 8352–8355. [Google Scholar] [CrossRef] [PubMed]
- Zhai, C.H.; Jana, S.C. Tuning porous networks in polyimide aerogels for airborne nanoparticle filtration. ACS Appl. Mater. Interfaces 2017, 9, 30074–30082. [Google Scholar] [CrossRef] [PubMed]
- Lee, J.; Chang, J.Y. Preparation of a compressible and hierarchically porous polyimide sponge via the sol–gel process of an aliphatic tetracarboxylic dianhydride and an aromatic triamine. Chem. Commun. 2016, 52, 10419–10422. [Google Scholar] [CrossRef] [PubMed]
- Zhao, G.F.; Ishizaka, T.; Kasai, H.; Oikawa, H.; Nakanishi, H. Fabrication of unique porous polyimide nanoparticles using a reprecipitation method. Chem. Mater. 2007, 19, 1901–1905. [Google Scholar] [CrossRef]
- Zhao, G.F.; Ishizaka, T.; Kasai, H.; Hasegawa, M.; Nakanishi, H.; Oikawa, H. Using a polyelectrolyte to fabricate porous polyimide nanoparticles with crater-like pores. Polym. Adv. Technol. 2009, 20, 43–47. [Google Scholar] [CrossRef]
- Li, Z.L.; Zou, H.W.; Liu, P.B. Morphology and properties of porous polyimide films prepared through thermally induced phase separation. RSC Adv. 2015, 5, 37837–37842. [Google Scholar] [CrossRef]
- Hedrick, J.L.; Miller, R.D.; Hawker, C.J.; Carter, K.R.; Volksen, W.; Yoon, D.Y.; Trollsås, M. Templating nanoporosity in thin-film dielectric insulators. Adv. Mater. 1998, 10, 1049–1053. [Google Scholar] [CrossRef]
- Gurr, P.A.; Scofield, J.M.P.; Kim, J.; Fu, Q.; Kentish, S.E.; Qiao, G.G. Polyimide polydimethylsiloxane triblock copolymers for thin film composite gas separation membranes. J. Polym. Part A Polym. Chem. 2014, 52, 3372–3382. [Google Scholar] [CrossRef]
- Guo, T.Q.; Han, K.Y.; Heng, L.P.; Cao, M.Y.; Jiang, L. Ordered porous structure hybrid films generated by breath figures for directional water penetration. RSC Adv. 2015, 5, 88471–88476. [Google Scholar] [CrossRef]
- Wang, L.H.; Tian, Y.; Ding, H.Y.; Liu, B.Q. Formation of ordered macroporous films from fluorinated polyimide by water droplets templating. Eur. Polym. J. 2007, 43, 862–869. [Google Scholar] [CrossRef]
- Yoo, S.H.; Kim, J.H.; Jho, J.Y.; Won, J.; Kang, Y.S. Influence of the addition of PVP on the morphology of asymmetric polyimide phase inversion membranes: Effect of PVP molecular weight. J. Membr. Sci. 2004, 236, 203–207. [Google Scholar] [CrossRef]
- Carter, K.R.; DiPietro, R.A.; Sanchez, M.I.; Swanson, S.A. Nanoporous polyimides derived from highly fluorinated polyimide/poly (propylene oxide) copolymers. Chem. Mater. 2001, 13, 213–221. [Google Scholar] [CrossRef]
- Choi, J.Y.; Takayama, T.; Yu, H.C.; Chung, C.M.; Kudo, K. Preparation and characterization of nanoporous films derived from alicyclic copolyimides having pendent poly(propyleneglycol) groups. Polymer 2012, 53, 1328–1338. [Google Scholar] [CrossRef]
- Cho, Y.W.; Kang, K.S.; Jee, C.; Kim, J.H.; Jang, D.; Huh, P. Nanoporous polyimide film from poly (ethylene glycol-co-imide) using a one-step heat calcinationprocess. Mol. Cryst. Liquid Cryst. 2016, 634, 73–81. [Google Scholar] [CrossRef]
- Ju, J.P.; Wang, Q.H.; Wang, T.M.; Wang, C. Low dielectric, nanoporous fluorinated polyimide films prepared from PCL-PI-PCL triblock copolymer using retro-Diels–Alder reaction. J. Colloid Interface Sci. 2013, 404, 36–41. [Google Scholar] [CrossRef] [PubMed]
- Miyata, S.; Yoshida, K.; Shirokura, H.; Kashio, M.; Nagai, K. Solid and thermal properties of ABA-type triblock copolymers designed using difunctional fluorine-containing polyimide macroinitiators with methyl methacrylate. Polym. Int. 2009, 58, 1148–1159. [Google Scholar] [CrossRef]
- Bates, F.S.; Fredrickson, G.H. Block copolymers-designer soft materials. Phys. Today 1999, 52, 32–38. [Google Scholar] [CrossRef]
- Peinemann, K.V.; Abetz, V.; Simon, P.F.W. Asymmetric superstructure formed in a block copolymer via phase separation. Nat. Mater. 2007, 6, 992–996. [Google Scholar] [CrossRef]
- Hedrick, J.L.; Hawker, C.J.; Dipietro, R.; Jerome, R.; Charlier, Y. The use of styrenic copolymers to generate polyimide nanofoams. Polymer 1995, 36, 4855–4866. [Google Scholar] [CrossRef]
- Kim, D.W.; Hwang, S.S.; Hong, S.M.; Yoo, H.O.; Hong, S.P. Optimization of foaming process using triblock polyimides with thermally labile blocks. Polymer 2001, 42, 83–92. [Google Scholar] [CrossRef]
- Dong, G.; Khan, A.U.; Liu, T.Y.; Zhou, Z.P.; Liu, G.L. Sub-10 nm domains in high-performance polyetherimides. Polym. Chem. 2019, 10, 379–385. [Google Scholar]
- Pierson, R.M.; Constanza, A.J.; Weinstein, A.J. Bis-type modifiers in polymerization. I. Behavior of various disulfides in bulk styrene polymerization. J. Polym. Sci. 1955, 17, 221–246. [Google Scholar] [CrossRef]
- Vayer, M.; Nguyen, T.H.; Grosso, D.; Boissiere, C.; Hillmyer, M.A.; Sinturel, C. Characterization of nanoporous polystyrene thin films by environmental ellipsometric porosimetry. Macromolecules 2011, 44, 8892–8897. [Google Scholar] [CrossRef]
- Sroog, C.E. Polyimides. Prog. Polym. Sci. 1991, 16, 561–694. [Google Scholar] [CrossRef]
- Wang, X.B.; Lo, T.Y.; Hsueh, H.Y.; Ho, R.M. Double and single network phases in polystyrene-block-poly(L-lactide) diblock copolymers. Macromolecules 2013, 46, 2997–3004. [Google Scholar] [CrossRef]
- Maier, G. Low dielectric constant polymers for microelectronics. Prog. Polym. Sci. 2001, 26, 3–65. [Google Scholar] [CrossRef]
- Zhang, X.M.; Liu, J.G.; Yang, S.Y. Synthesis and characterization of flexible and high-temperature resistant polyimide aerogel with ultra-low dielectric constant. Express Polym. Lett. 2016, 10, 789–798. [Google Scholar] [CrossRef]
- Thedford, R.P.; Beaucage, P.A.; Susca, E.M.; Chao, C.A.; Nowack, K.C.; Robert, B.V.D.; Gruner, S.M.; Wiesner, U. Superconducting Quantum Metamaterials from High Pressure Melt Infiltration of Metals into Block Copolymer Double Gyroid Derived Ceramic Templates. Adv. Funct. Mater. 2021, 31, 2100469. [Google Scholar] [CrossRef]
- Bates, F.S.; Fredrickson, G.H. Block copolymer thermodynamics: Theory and experiment. Annu. Rev. Phys. Chem. 1990, 41, 525–557. [Google Scholar] [CrossRef]
- Lo, T.Y.; Chao, C.C.; Ho, R.M.; Georgopanos, P.; Avgeropoulos, A.; Thomas, E.L. Phase transitions of polystyrene-b-poly(dimethylsiloxane) in solvents of varying selectivity. Macromolecules 2013, 46, 7513–7524. [Google Scholar] [CrossRef]
- Park, K.A.; Lee, H.J.; Hong, I.K. Solubility prediction of bioantioxidants for functional solvent by group contribution method. J. Ind. Eng. Chem. 2010, 16, 490–495. [Google Scholar] [CrossRef]
- Jang, W.; Shin, D.; Choi, S.; Park, S.; Han, H. Effects of internal linkage groups of fluorinated diamine on the optical and dielectric properties of polyimide thin films. Polymer 2007, 48, 2130–2143. [Google Scholar] [CrossRef]










| Code | a (g/mol) | a Đ | bPAA (g/mol) | total (g/mol) |
|---|---|---|---|---|
| NH2-PS-NH2 | 9400 | 2.23 | --- | --- |
| PAAI-b-PS | --- | 2.38 | 67,370 | 76,770 |
| PAAII-b-PS | --- | 2.17 | 33,840 | 43,240 |
| PAAIII-b-PS | --- | 2.11 | 21,130 | 30,530 |
| Code | Ordinate Value at 275 °C | Ordinate Value at 500 °C | Ordinate Value at 700 °C | a f mPS | b f mPI | c Volume Fraction of PS Block (f VPS) |
|---|---|---|---|---|---|---|
| PII-b-PS | 0.67 | 0.60 | 0 | 0.07 | 0.60 | 0.14 |
| PIII-b-PS | 0.70 | 0.56 | 0 | 0.14 | 0.56 | 0.26 |
| PIIII-b-PS | 0.73 | 0.52 | 0 | 0.21 | 0.52 | 0.36 |
Disclaimer/Publisher’s Note: The statements, opinions and data contained in all publications are solely those of the individual author(s) and contributor(s) and not of MDPI and/or the editor(s). MDPI and/or the editor(s) disclaim responsibility for any injury to people or property resulting from any ideas, methods, instructions or products referred to in the content. |
© 2023 by the authors. Licensee MDPI, Basel, Switzerland. This article is an open access article distributed under the terms and conditions of the Creative Commons Attribution (CC BY) license (https://creativecommons.org/licenses/by/4.0/).
Share and Cite
Huo, M.; Wang, Y.; Wang, X. Fabrication of Ordered Porous Polyimide Films Templated by (AB)m Type of Diblock Copolymer. Polymers 2023, 15, 635. https://doi.org/10.3390/polym15030635
Huo M, Wang Y, Wang X. Fabrication of Ordered Porous Polyimide Films Templated by (AB)m Type of Diblock Copolymer. Polymers. 2023; 15(3):635. https://doi.org/10.3390/polym15030635
Chicago/Turabian StyleHuo, Mengwei, Yibo Wang, and Xinbo Wang. 2023. "Fabrication of Ordered Porous Polyimide Films Templated by (AB)m Type of Diblock Copolymer" Polymers 15, no. 3: 635. https://doi.org/10.3390/polym15030635
APA StyleHuo, M., Wang, Y., & Wang, X. (2023). Fabrication of Ordered Porous Polyimide Films Templated by (AB)m Type of Diblock Copolymer. Polymers, 15(3), 635. https://doi.org/10.3390/polym15030635

