Confinement-Induced Fractionation and Liquid–Liquid Phase Separation of Polymer Mixtures
Abstract
1. Introduction
2. Simulation Model
3. Results
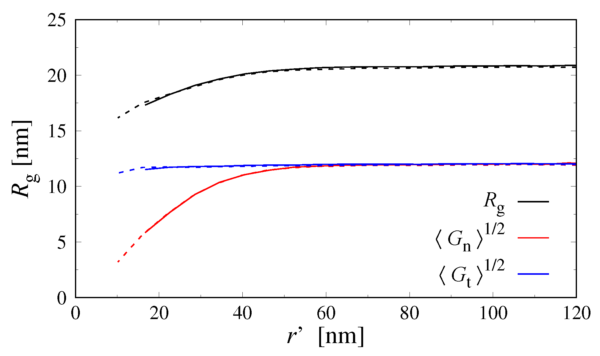
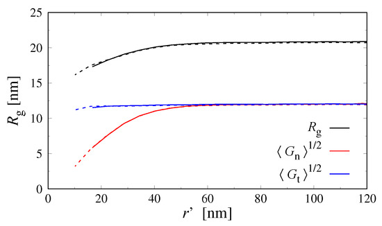
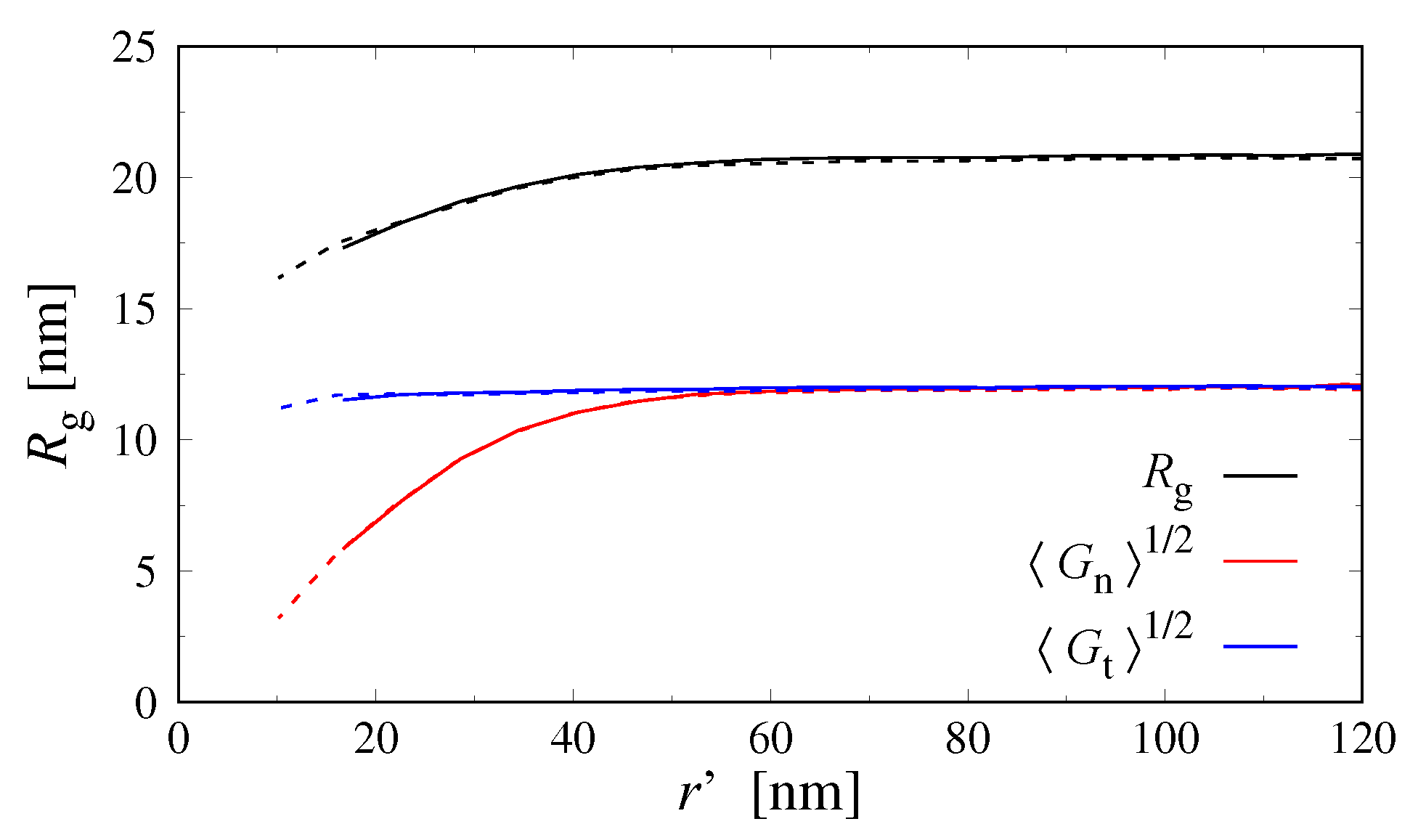
3.1. Parameterization and Bulk Phase Behavior
3.2. Phase Behavior in Confinement
4. Conclusions
Author Contributions
Funding
Institutional Review Board Statement
Informed Consent Statement
Data Availability Statement
Acknowledgments
Conflicts of Interest
References
- Brangwynne, C.P.; Eckmann, C.R.; Courson, D.S.; Rybarska, A.; Hoege, C.; Gharakhani, J.; Jülicher, F.; Hyman, A.A. Germline P Granules Are Liquid Droplets That Localize by Controlled Dissolution/Condensation. Science 2009, 324, 1729–1732. [Google Scholar] [CrossRef] [PubMed]
- Hyman, A.A.; Weber, C.A.; Jülicher, F. Liquid-Liquid Phase Separation in Biology. Annu. Rev. Cell Dev. Biol. 2014, 30, 39–58. [Google Scholar] [CrossRef] [PubMed]
- Martin, E.W.; Holehouse, A.S.; Peran, I.; Farag, M.; Incicco, J.J.; Bremer, A.; Grace, C.R.; Soranno, A.; Pappu, R.V.; Mittag, T. Valence and patterning of aromatic residues determine the phase behavior of prion-like domains. Science 2020, 367, 694–699. [Google Scholar] [CrossRef] [PubMed]
- Zimmermann, S.B.; Trach, S.O. Estimation of macromolecule concentrations and excluded volume effects for the cytoplasm of Escherichia coli. J. Mol. Biol. 1991, 222, 599. [Google Scholar] [CrossRef]
- Matha, S.; Qi, S.; Barz, M.; Schmid, F. How ill-defined constituents produce well-defined nanoparticles: Effect of polymer dispersity on the uniformity of copolymeric micelles. Phys. Rev. Materials 2019, 3, 026002. [Google Scholar] [CrossRef]
- van Heukelum, A.; Barkema, G.T.; Edelman, M.W.; van der Linden, E.; de Hoog, E.H.A.; Tromp, R.H. Fractionation in a Phase-Separated Polydisperse Polymer Mixture. Macromolecules 2003, 36, 6662–6667. [Google Scholar] [CrossRef]
- Zhao, Z.; Li, Q.; Ji, X.; Dimova, R.; Lipowsky, R.; Liu, Y. Molar mass fractionation in aqueous two-phase polymer solutions of dextran and poly(ethylene glycol). J. Chromatogr. A 2016, 1452, 107–115. [Google Scholar] [CrossRef]
- Nikoubashman, A. Ordering, phase behavior, and correlations of semiflexible polymers in confinement. J. Chem. Phys. 2021, 154, 090901. [Google Scholar] [CrossRef]
- Zhou, X.; Guo, F.; Li, K.; He, L.; Zhang, L. Entropy-Induced Separation of Binary Semiflexible Ring Polymer Mixtures in Spherical Confinement. Polymers 2019, 11, 1992. [Google Scholar] [CrossRef]
- Zhou, X.; Wu, J.; Zhang, L. Ordered aggregation of semiflexible ring-linear blends in ellipsoidal confinement. Polymer 2020, 197, 122494. [Google Scholar] [CrossRef]
- Howard, M.P.; Nikoubashman, A. Stratification of polymer mixtures in drying droplets: Hydrodynamics and diffusion. J. Chem. Phys. 2020, 153, 054901. [Google Scholar] [CrossRef] [PubMed]
- Merindol, R.; Loescher, S.; Samanta, A.; Walther, A. Pathway-controlled formation of mesostructured all-DNA colloids and superstructures. Nat. Nanotechnol. 2018, 13, 730–738. [Google Scholar] [CrossRef] [PubMed]
- Samanta, A.; Sabatino, V.; Ward, T.R.; Walther, A. Functional and morphological adaptation in DNA protocells via signal processing prompted by artificial metalloenzymes. Nat. Nanotechnol. 2020, 15, 914–921. [Google Scholar] [CrossRef] [PubMed]
- Dominak, L.M.; Gundermann, E.L.; Keating, C.D. Microcompartmentation in Artificial Cells: pH-Induced Conformational Changes Alter Protein Localization. Langmuir 2010, 26, 5697–5705. [Google Scholar] [CrossRef]
- Monterroso, B.; Zorrilla, S.; Sobrinos-Sanguino, M.; Keating, C.D.; Rivas, G. Microenvironments created by liquid-liquid phase transition control the dynamic distribution of bacterial division FtsZ protein. Sci. Rep. 2016, 6, 35140. [Google Scholar] [CrossRef]
- Yanagisawa, M.; Watanabe, C.; Yoshinaga, N.; Fujiwara, K. Cell-Size Space Regulates the Behavior of Confined Polymers: From Nano- and Micromaterials Science to Biology. Langmuir 2022, 38, 11811–11827. [Google Scholar] [CrossRef]
- Yanagisawa, M. Cell-size space effects on phase separation of binary polymer blends. Biophys. Rev. 2022, 22, 1093–1103. [Google Scholar] [CrossRef]
- Watanabe, C.; Furuki, T.; Kanakubo, Y.; Kanie, F.; Koyanagi, K.; Takeshita, J.; Yanagisawa, M. Cell-sized confinement initiates phase separation of polymer blends and promotes fractionation upon competitive membrane wetting. ACS Materials Lett. 2022, 4, 1742–1748. [Google Scholar] [CrossRef]
- Hoogerbrugge, P.J.; Koelman, J.M.V.A. Simulating microscopic hydrodynamic phenomena with dissipative particle dynamics. EPL 1992, 19, 155. [Google Scholar] [CrossRef]
- Español, P.; Warren, P.B. Statistical mechanics of dissipative particle dynamics. EPL 1995, 30, 191. [Google Scholar] [CrossRef]
- Groot, R.D.; Warren, P.B. Dissipative particle dynamics: Bridging the gap between atomistic and mesoscopic simulation. J. Chem. Phys. 1997, 107, 4423. [Google Scholar] [CrossRef]
- Liu, Y.; Lipowsky, R.; Dimova, R. Giant vesicles encapsulating aqueous two-phase systems: From phase diagrams to membrane shape transformations. Front. Chem. 2019, 7, 213. [Google Scholar] [CrossRef] [PubMed]
- Larm, O.; Lindberg, B.; Svensson, S. Studies on the length of the side chains of the dextran elaborated by Leuconostoc mesenteroides NRRL B-512. Carbohydr. Res. 1971, 20, 39–48. [Google Scholar] [CrossRef] [PubMed]
- Görisch, S.M.; Wachsmuth, M.; Tóth, K.F.; Lichter, P.; Rippe, K. Histone acetylation increases chromatin accessibility. J. Cell Sci. 2005, 118, 5825. [Google Scholar] [CrossRef]
- Louis, A.A.; Bolhuis, P.G.; Hansen, J.P.; Meijer, E.J. Can Polymer Coils Be Modeled as “Soft Colloids”? Phys. Rev. Lett. 2000, 85, 2522. [Google Scholar] [CrossRef]
- Likos, C.N. Effective interactions in soft condensed matter physics. Phys. Rep. 2001, 348, 267–439. [Google Scholar]
- Berressem, F.; Scherer, C.; Andrienko, D.; Nikoubashman, A. Ultra-Coarse-Graining of Homopolymers in Inhomogeneous Systems. J. Phys. Condens. Matter 2021, 33, 254002. [Google Scholar] [CrossRef]
- Groot, R.D.; Madden, T.J. Dynamic simulation of diblock copolymer microphase separation. J. Chem. Phys. 1998, 108, 8713. [Google Scholar] [CrossRef]
- Petrus, P.; Lísal, M.; Brennan, J.K. Self-Assembly of Lamellar- and Cylinder-Forming Diblock Copolymers in Planar Slits: Insight from Dissipative Particle Dynamics Simulations. Langmuir 2010, 26, 14680–14693. [Google Scholar] [CrossRef]
- Gavrilov, A.A.; Kudryavtsev, Y.V.; Chertovich, A.V. Phase diagrams of block copolymer melts by dissipative particle dynamics simulations. J. Chem. Phys. 2013, 139, 224901. [Google Scholar] [CrossRef]
- Steinhaus, A.; Srivastva, D.; Nikoubashman, A.; Gröschel, A.H. Janus Nanostructures from ABC/B Triblock Terpolymer Blends. Polymers 2019, 11, 1107. [Google Scholar] [CrossRef] [PubMed]
- Rubinstein, M.; Colby, R.H. Polymer Physics; Oxford University Press: Oxford, UK, 2003. [Google Scholar]
- Weeks, J.D.; Chandler, D.; Andersen, H.C. Role of Repulsive Forces in Determining the Equilibrium Structure of Simple Liquids. J. Chem. Phys. 1971, 54, 5237. [Google Scholar] [CrossRef]
- Groot, R.D.; Rabone, K.L. Mesoscopic simulation of cell membrane damage, morphology change and rupture by nonionic surfactants. Biophys. J. 2001, 81, 725–736. [Google Scholar] [CrossRef]
- Luo, Z.; Jiang, J. pH-sensitive drug loading/releasing in amphiphilic copolymer PAE–PEG: Integrating molecular dynamics and dissipative particle dynamics simulations. J. Control. Release 2012, 162, 185–193. [Google Scholar] [CrossRef] [PubMed]
- Saeki, S.; Kuwahara, N.; Nakata, M.; Kaneko, M. Upper and lower critical solution temperatures in poly(ethylene glycol) solutions. Polymer 1976, 17, 685. [Google Scholar] [CrossRef]
- Bercea, M.; Nichifor, M.; Eckelt, J.; Wolf, B.A. Dextran-based polycations: Thermodynamic interaction with water as compared with unsubstituted Dextran, 2 – Flory/Huggins interaction parameter. Macromol. Chem. Phys. 2011, 212, 1932–1940. [Google Scholar] [CrossRef]
- Clark, A.H. Direct analysis of experimental tie line data two polymer–one solvent systems) using Flory–Huggins theory. Carbohydr. Polym. 2000, 42, 337–351. [Google Scholar] [CrossRef]
- Edmond, E.; Ogston, A.G. An approach to the study of phase separation in ternary aqueous systems. Biochem. J. 1968, 109, 569–576. [Google Scholar] [CrossRef]
- King, R.S.; Blanch, H.W.; Prausnitz, J.M. Molecular thermodynamics of aqueous two-phase systems for bioseparations. AIChE J. 1988, 34, 1585–1594. [Google Scholar] [CrossRef]
- Liu, Y.; Lipowsky, R.; Dimova, R. Concentration dependence of the interfacial tension for aqueous two-phase polymer solutions of Dextran and polyethylene glycol. Langmuir 2012, 28, 3831–3839. [Google Scholar] [CrossRef]
- Humphrey, W.; Dalke, A.; Schulten, K. VMD - Visual Molecular Dynamics. J. Molec. Graphics 1996, 14, 33–38. [Google Scholar] [CrossRef] [PubMed]
- Ester, M.; Kriegel, H.P.; Sander, J.; Xu, X. A density-based algorithm for discovering clusters in large spatial databases with noise. Proc. Second Int. Conf. Knowl. Discov. Data Min. 1996, 96, 226. [Google Scholar]
- Li, Y.; Lipowsky, R.; Dimova, R. Transition from complete to partial wetting within membrane compartments. J. Am. Chem. Soc. 2008, 130, 12252–12253. [Google Scholar] [CrossRef] [PubMed]
- Snook, I.K.; Henderson, D. Monte Carlo study of a hard-sphere fluid near a hard wall. J. Chem. Phys. 1978, 68, 2134. [Google Scholar] [CrossRef]







| Monodisperse | Polydisperse | |||
|---|---|---|---|---|
Disclaimer/Publisher’s Note: The statements, opinions and data contained in all publications are solely those of the individual author(s) and contributor(s) and not of MDPI and/or the editor(s). MDPI and/or the editor(s) disclaim responsibility for any injury to people or property resulting from any ideas, methods, instructions or products referred to in the content. |
© 2023 by the authors. Licensee MDPI, Basel, Switzerland. This article is an open access article distributed under the terms and conditions of the Creative Commons Attribution (CC BY) license (https://creativecommons.org/licenses/by/4.0/).
Share and Cite
Nikoubashman, A.; Yanagisawa, M. Confinement-Induced Fractionation and Liquid–Liquid Phase Separation of Polymer Mixtures. Polymers 2023, 15, 511. https://doi.org/10.3390/polym15030511
Nikoubashman A, Yanagisawa M. Confinement-Induced Fractionation and Liquid–Liquid Phase Separation of Polymer Mixtures. Polymers. 2023; 15(3):511. https://doi.org/10.3390/polym15030511
Chicago/Turabian StyleNikoubashman, Arash, and Miho Yanagisawa. 2023. "Confinement-Induced Fractionation and Liquid–Liquid Phase Separation of Polymer Mixtures" Polymers 15, no. 3: 511. https://doi.org/10.3390/polym15030511
APA StyleNikoubashman, A., & Yanagisawa, M. (2023). Confinement-Induced Fractionation and Liquid–Liquid Phase Separation of Polymer Mixtures. Polymers, 15(3), 511. https://doi.org/10.3390/polym15030511

