PEDOT:PSS versus Polyaniline: A Comparative Study of Conducting Polymers for Organic Electrochemical Transistors
Abstract
:1. Introduction
2. Materials and Methods
3. Results
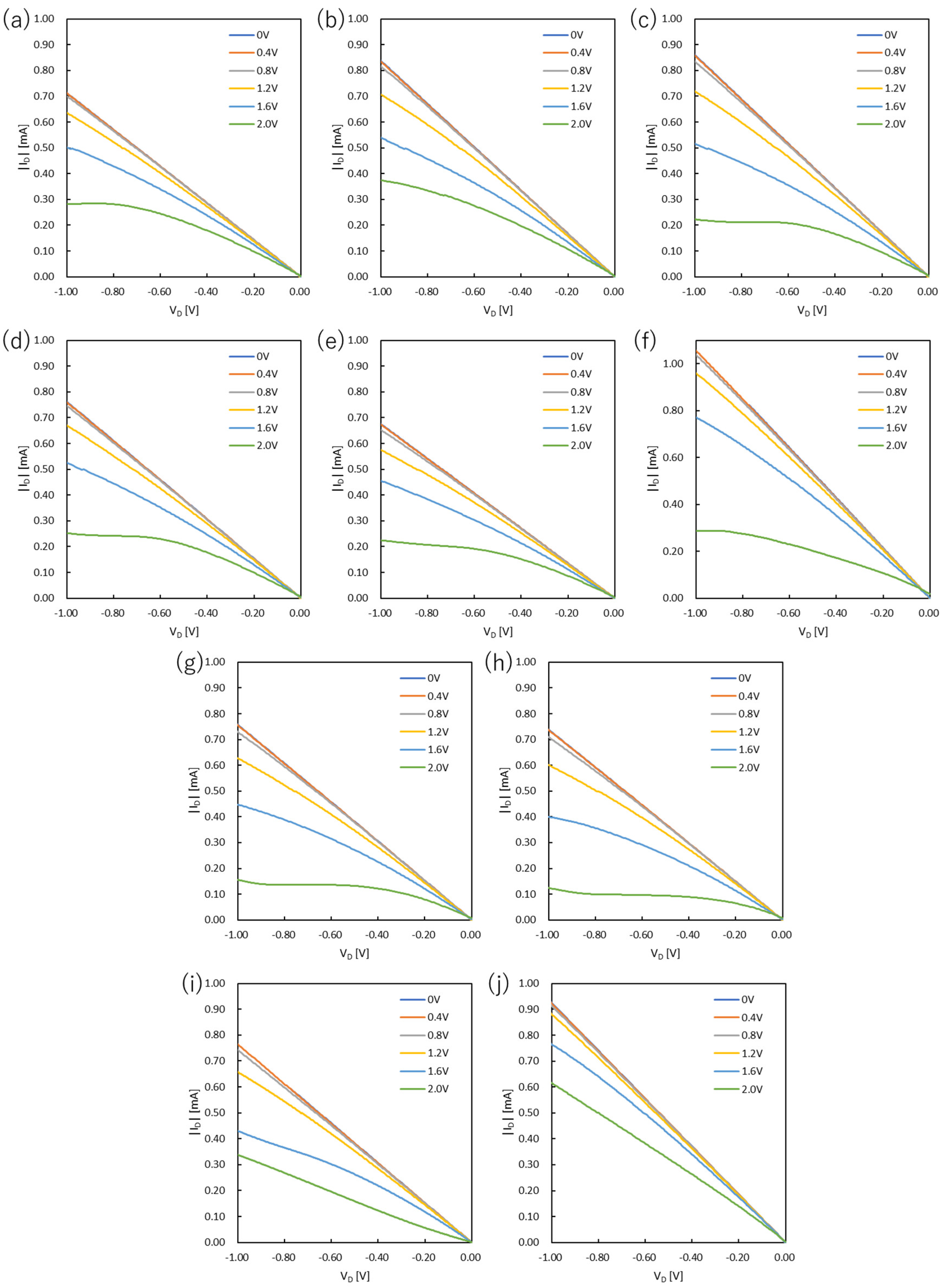
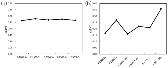
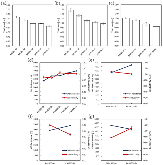
3.1. Output Characteristics
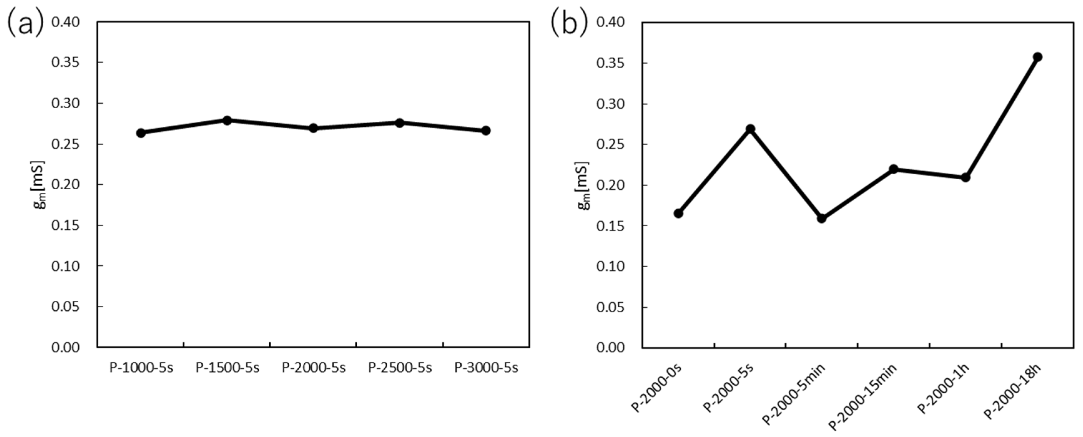
3.2. Transfer Characteristics
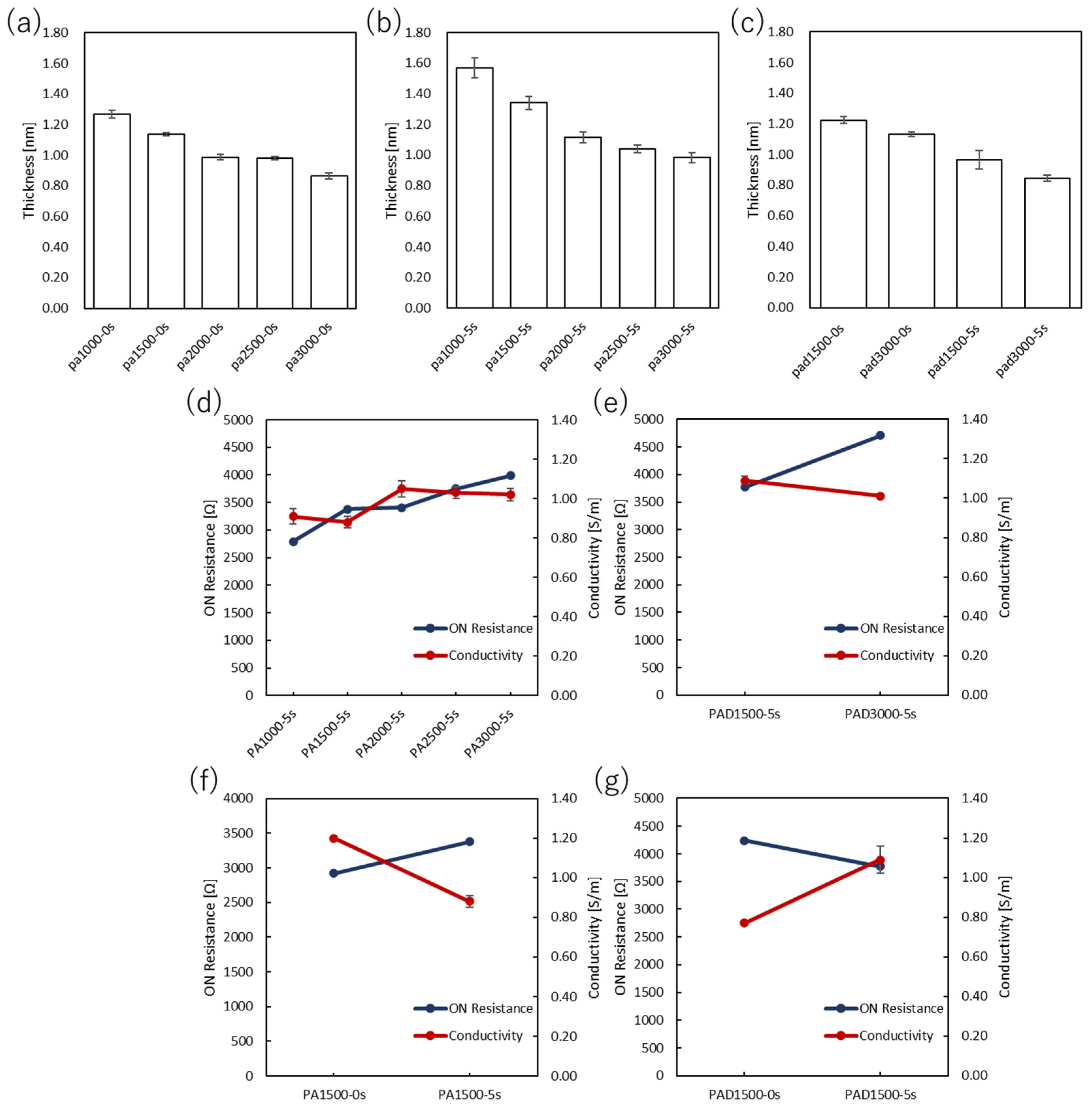
3.3. Surface Morphology
4. Discussion
5. Conclusions
Supplementary Materials
Author Contributions
Funding
Data Availability Statement
Conflicts of Interest
References
- Naveen, M.H.; Gurudatt, N.G.; Shim, Y.-B. Applications of conducting polymer composites to electrochemical sensors: A review. Appl. Mater. Today 2017, 9, 419–433. [Google Scholar] [CrossRef]
- Chung, J.; Khot, A.; Savoie, B.M.; Boudouris, B.W. 100th Anniversary of Macromolecular Science Viewpoint: Recent Advances and Opportunities for Mixed Ion and Charge Conducting Polymers. ACS Macro Lett. 2020, 9, 646–655. [Google Scholar] [CrossRef]
- Guo, X.; Facchetti, A. The journey of conducting polymers from discovery to application. Nat. Mater. 2020, 19, 922–928. [Google Scholar] [CrossRef] [PubMed]
- Petty, A.J., II; Keate, R.L.; Jiang, B.; Ameer, G.A.; Rivnay, J. Conducting Polymers for Tissue Regeneration In Vivo. Chem. Mater. 2020, 32, 4095–4115. [Google Scholar] [CrossRef]
- Xue, Y.; Chen, S.; Yu, J.; Bunes, B.R.; Xue, Z.; Xue, Z.; Xu, J.; Lu, B.; Zang, L. Nanostructured conducting polymers and their composites: Synthesis methodologies, morphologies and applications. J. Mater. Chem. C 2020, 8, 10136–10159. [Google Scholar] [CrossRef]
- Sharma, S.; Sudhakara, P.; Omran, A.A.B.; Singh, J.; Ilyas, R.A. Recent Trends and Developments in Conducting Polymer Nanocomposites for Multifunctional Applications. Polymers 2021, 13, 2898. [Google Scholar] [CrossRef] [PubMed]
- Luo, H.; Kaneti, Y.V.; Ai, Y.; Wu, Y.; Wei, F.; Fu, J.; Cheng, J.; Jing, C.; Yuliarto, B.; Eguchi, M.; et al. Nanoarchitectured Porous Conducting Polymers: From Controlled Synthesis to Advanced Applications. Adv. Mater. 2021, 33, 2007318. [Google Scholar] [CrossRef] [PubMed]
- Holze, R. Overoxidation of Intrinsically Conducting Polymers. Polymers 2022, 14, 1584. [Google Scholar] [CrossRef]
- Evans, D.R. Understanding PEDOT doped with tosylate. Chem. Commun. 2022, 58, 4553–4560. [Google Scholar] [CrossRef]
- Kimpel, J.; Michinobu, T. Conjugated Polymers for Functional Applications: Lifetime and Performance of Polymeric Organic Semiconductors in OFETs. Polym. Int. 2021, 70, 367–373. [Google Scholar] [CrossRef]
- Scheiblin, G.; Coppard, R.; Owens, R.M.; Mailley, P.; Malliaras, G.G. Referenceless pH Sensor using Organic Electrochemical Transistors. Adv. Mater. Technol. 2017, 2, 1600141. [Google Scholar] [CrossRef]
- Tang, H.; Yan, F.; Lin, P.; Xu, J.; Chan, H.L.W. Highly Sensitive Glucose Biosensors Based on Organic Electrochemical Transistors Using Platinum Gate Electrodes Modified with Enzyme and Nanomaterials. Adv. Funct. Mater. 2011, 21, 2264–2272. [Google Scholar] [CrossRef]
- Wustoni, S.; Savva, A.; Sun, R.; Bihar, E.; Inal, S. Enzyme-Free Detection of Glucose with a Hybrid Conductive Gel Electrode. Adv. Mater. Interfaces 2019, 6, 1800928. [Google Scholar] [CrossRef]
- Kenry; Yeo, J.C.; Lim, C.T. Emerging flexible and wearable physical sensing platforms for healthcare and biomedical applications. Microsyst. Nanoeng. 2016, 2, 16043. [Google Scholar] [CrossRef] [PubMed]
- Ouyang, J.; Chu, C.-W.; Chen, F.-C.; Xu, Q.; Yang, Y. High-Conductivity Poly(3,4-ethylenedioxythiophene):Poly(styrene sulfonate) Film and Its Application in Polymer Optoelectronic Devices. Adv. Funct. Mater. 2005, 15, 203–208. [Google Scholar] [CrossRef]
- ElMahmoudy, M.; Inal, S.; Charrier, A.; Uguz, I.; Malliaras, G.G. Tailoring the Electrochemical and Mechanical Properties of PEDOT:PSS Films for Bioelectronics. Macromol. Mater. Eng. 2017, 302, 1600497. [Google Scholar] [CrossRef]
- Damborsky, J.; Schultz, T.W. Comarison of the QSAR models for toxicity and biodegradability of anilines and phenols. Chemosphere 1997, 34, 429–446. [Google Scholar] [CrossRef] [PubMed]
- Amer, K.; Elshaer, A.M.; Anas, M.; Ebrahim, S. Fabrication, characterrization, and electrical measurements of gas ammonia sensor based on organic field effect transistor. J. Mater. Sci. 2019, 30, 391–400. [Google Scholar] [CrossRef]
- Kim, S.-M.; Kim, C.-H.; Kim, Y.; Kim, N.; Lee, W.-J.; Lee, E.-H.; Kim, D.; Park, S.; Lee, K.; Rivnay, J.; et al. Influence of PEDOT:PSS crystallinity and composition on electrochemical transistor performance and long-term stability. Nat. Commun. 2018, 9, 3858. [Google Scholar] [CrossRef] [PubMed]
- Zeglio, E.; Inganäs, O. Active Materials for Organic Electrochemical Transistors. Adv. Mater. 2018, 30, 1800941. [Google Scholar] [CrossRef]
- Nawaz, A.; Liu, Q.; Leong, W.L.; Fairfull-Smith, K.E.; Sonar, P. Organic Electrochemical Transistors for In Vivo Bioelectronics. Adv. Mater. 2021, 33, 2101874. [Google Scholar] [CrossRef] [PubMed]
- Liang, Y.; Offenhausser, A.; Ingebrandt, S.; Mayer, D. PEDOT:PSS-Based Bioelectronic Devices for Recording and Modulation of Electrophysiological and Biochemical Cell Signals. Adv. Healthc. Mater. 2021, 10, 2100061. [Google Scholar] [CrossRef] [PubMed]
- Rashid, R.B.; Ji, X.; Rivnay, J. Organic electrochemical transistors in bioelectronic circuits. Biosens. Bioelectron. 2021, 190, 113461. [Google Scholar] [CrossRef] [PubMed]
- Paudel, P.R.; Tropp, J.; Kaphle, V.; Azoulay, J.D.; Lüssem, B. Organic electrochemical transistors—From device models to a targeted design of materials. J. Mater. Chem. C 2021, 9, 9761–9790. [Google Scholar] [CrossRef]
- Kukhta, N.A.; Marks, A.; Luscombe, C.K. Molecular Design Strategies toward Improvement of Charge Injection and Ionic Conduction in Organic Mixed Ionic-Electronic Conductors for Organic Electrochemical Transistors. Chem. Rev. 2022, 122, 4325–4355. [Google Scholar] [CrossRef] [PubMed]
- Kousseff, C.J.; Halaksa, R.; Parr, Z.S.; Nielsen, C. Mixed Ionic and Electronic Conduction in Small-Molecule Semiconductors. Chem. Rev. 2022, 122, 4397–4419. [Google Scholar] [CrossRef]
- Marks, A.; Griggs, S.; Gasparini, N.; Moser, M. Organic Electrochemical Transistors: An Emerging Technology for Biosensing. Adv. Mater. Interfaces 2022, 9, 2102039. [Google Scholar] [CrossRef]
- He, Y.; Kukhta, N.A.; Marks, A.; Luscombe, C.K. The effect of side chain engineering on conjugated polymers in organic electrochemical transistors for bioelectronic applications. J. Mater. Chem. C 2022, 10, 2314–2332. [Google Scholar] [CrossRef]
- Li, P.; Lei, T. Molecular design strategies for high-performance organic electrochemical transistors. J. Polym. Sci. 2022, 60, 366–392. [Google Scholar] [CrossRef]
- Fang, B.; Yan, J.; Chang, D.; Piao, J.; Ma, K.M.; Gu, Q.; Gao, P.; Chai, Y.; Tao, X. Scalable production of ultrafine polyaniline fibres for tactile organic electrochemical transistors. Nat. Commun. 2022, 13, 2101. [Google Scholar] [CrossRef]
- Mello, H.J.N.P.D.; Faleiros, M.C.; Mulato, M. Electrochem. Sci. Adv. 2022, 2, e2100176. [Google Scholar] [CrossRef]
- Long, Y.; Chen, Z.; Wang, N.; Li, J.; Wang, M. Electronic transport in PANI-CSA/PANI-DBSA polyblends. Phys. B Condens. Matter. 2004, 344, 82–87. [Google Scholar] [CrossRef]











| Sample | Spin-Coating Rate (rpm) a | Immersion Time b |
|---|---|---|
| P1000-5 s | 1000 | 5 s |
| P1500-5 s | 1500 | 5 s |
| P2000-5 s | 2000 | 5 s |
| P2500-5 s | 2500 | 5 s |
| P3000-5 s | 3000 | 5 s |
| P2000-0 s | 2000 | 0 s |
| P2000-5 min | 2000 | 5 min |
| P2000-15 min | 2000 | 15 min |
| P2000-1 h | 2000 | 1 h |
| P2000-18 h | 2000 | 18 h |
| Sample | Spin-Coating Rate (rpm) a | Immersion Time b |
|---|---|---|
| PA1000-5 s | 1000 | 5 s |
| PA1500-5 s | 1500 | 5 s |
| PA2000-5 s | 2000 | 5 s |
| PA2500-5 s | 2500 | 5 s |
| PA3000-5 s | 3000 | 5 s |
| PA1500-0 s | 1500 | 0 s |
| PAD1500-5 s | 1500 | 5 s |
| PAD3000-5 s | 3000 | 5 s |
| PAD1500-0 s | 1500 | 0 s |
Disclaimer/Publisher’s Note: The statements, opinions and data contained in all publications are solely those of the individual author(s) and contributor(s) and not of MDPI and/or the editor(s). MDPI and/or the editor(s) disclaim responsibility for any injury to people or property resulting from any ideas, methods, instructions or products referred to in the content. |
© 2023 by the authors. Licensee MDPI, Basel, Switzerland. This article is an open access article distributed under the terms and conditions of the Creative Commons Attribution (CC BY) license (https://creativecommons.org/licenses/by/4.0/).
Share and Cite
Kawamura, R.; Michinobu, T. PEDOT:PSS versus Polyaniline: A Comparative Study of Conducting Polymers for Organic Electrochemical Transistors. Polymers 2023, 15, 4657. https://doi.org/10.3390/polym15244657
Kawamura R, Michinobu T. PEDOT:PSS versus Polyaniline: A Comparative Study of Conducting Polymers for Organic Electrochemical Transistors. Polymers. 2023; 15(24):4657. https://doi.org/10.3390/polym15244657
Chicago/Turabian StyleKawamura, Ryotaro, and Tsuyoshi Michinobu. 2023. "PEDOT:PSS versus Polyaniline: A Comparative Study of Conducting Polymers for Organic Electrochemical Transistors" Polymers 15, no. 24: 4657. https://doi.org/10.3390/polym15244657
APA StyleKawamura, R., & Michinobu, T. (2023). PEDOT:PSS versus Polyaniline: A Comparative Study of Conducting Polymers for Organic Electrochemical Transistors. Polymers, 15(24), 4657. https://doi.org/10.3390/polym15244657

