Preparation and Properties of Antibacterial Silk Fibroin Scaffolds
Abstract
:1. Introduction
2. Materials and Methods
2.1. Preparation of SF Solution
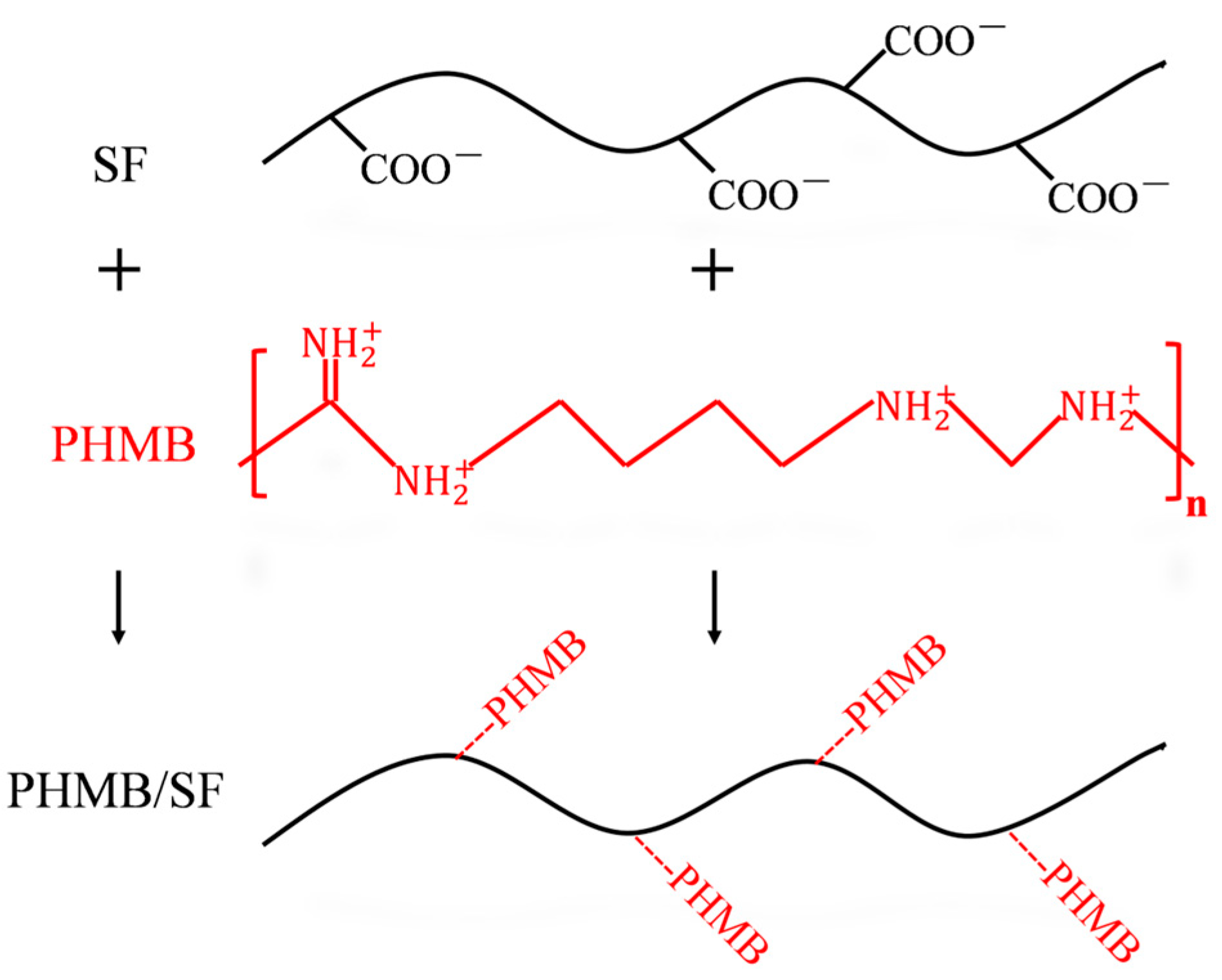
2.2. Preparation of the PHMB/SF Scaffold
2.3. Morphological Observation of the Scaffolds
2.4. X-ray Diffraction and Fourier Transform Infrared Spectroscopy of the Scaffolds
2.5. Zeta Potential of the PHMB/SF Complexes
2.6. Antibacterial Activity Test
2.7. SEM Observation of Cell morphology
2.8. Laser Confocal Microscopy Observation of Cell Morphology
2.9. Cell Proliferation Assay
2.10. Statistical Analysis
3. Results
3.1. Characterization of the PHMB/SF Scaffold
3.2. Antimicrobial Activity of PHMB/SF Scaffolds
3.3. Morphology of L-929 Cells in the Scaffold
3.4. Proliferation of L-929 Cells in the Scaffold
4. Discussion
5. Conclusions
Supplementary Materials
Author Contributions
Funding
Institutional Review Board Statement
Data Availability Statement
Conflicts of Interest
References
- Ambrogi, V.; Pietrella, D.; Donnadio, A.; Latterini, L.; Di Michele, A.; Luffarelli, I.; Ricci, M. Biocompatible alginate silica supported silver nanoparticles composite films for wound dressing with antibiofilm activity. Mater. Sci. Eng. C 2020, 112, 110863. [Google Scholar] [CrossRef] [PubMed]
- Rippon, M.G.; Westgate, S.; Rogers, A.A. Implications of endotoxins in wound healing: A narrative review. J. Wound Care 2022, 31, 380–392. [Google Scholar] [CrossRef] [PubMed]
- Hu, S.; Cai, X.; Qu, X.; Yu, B.; Yan, C.; Yang, J.; Li, F.; Zheng, Y.; Shi, X. Preparation of biocompatible wound dressings with long-term antimicrobial activity through covalent bonding of antibiotic agents to natural polymers. Int. J. Biol. Macromol. 2019, 123, 1320–1330. [Google Scholar] [CrossRef] [PubMed]
- Litany, R.J.; Praseetha, P.K. Tiny tots for a big-league in wound repair: Tools for tissue regeneration by nanotechniques of today. J. Control Release 2022, 349, 443–459. [Google Scholar] [CrossRef] [PubMed]
- Liu, X.; Huang, Q.; Pan, P.; Fang, M.; Zhang, Y.; Yang, S.; Li, M.; Liu, Y. Comparative study of the preparation of high-molecular-weight fibroin by degumming silk with several neutral proteases. Polymers 2023, 15, 3383. [Google Scholar] [CrossRef] [PubMed]
- Zhao, P.; Yang, P.; Zhou, W.; Liu, H.; Jin, X.; Zhu, X. Injectable sealants based on silk fibroin for fast hemostasis and wound repairing. Adv. Healthc. Mater. 2023, 12, e2301310. [Google Scholar] [CrossRef] [PubMed]
- Wang, Z.; Cui, Y.; Feng, Y.; Guan, L.; Dong, M.; Liu, Z.; Liu, L. A versatile silk fibroin based filtration membrane with enhanced mechanical property, disinfection and biodegradability. Chem. Eng. J. 2021, 426, 131947. [Google Scholar] [CrossRef]
- Ju, H.W.; Lee, O.J.; Lee, J.M.; Moon, B.M.; Park, H.J.; Park, Y.R.; Lee, M.C.; Kim, S.H.; Chao, J.R.; Ki, C.S.; et al. Wound healing effect of electrospun silk fibroin nanomatrix in burn-model. Int. J. Biol. Macromol. 2016, 85, 29–39. [Google Scholar] [CrossRef]
- Park, Y.R.; Sultan, M.T.; Park, H.J.; Lee, J.M.; Ju, H.W.; Lee, O.J.; Lee, D.J.; Kaplan, D.L.; Park, C.H. NF-κB signaling is key in the wound healing processes of silk fibroin. Acta Biomater. 2018, 67, 183–195. [Google Scholar] [CrossRef]
- Huang, X.; Liang, P.; Jiang, B.; Zhang, P.; Yu, W.; Duan, M.; Guo, L.; Cui, X.; Huang, M.; Huang, X. Hyperbaric oxygen potentiates diabetic wound healing by promoting fibroblast cell proliferation and endothelial cell angiogenesis. Life Sci. 2020, 259, 118246. [Google Scholar] [CrossRef]
- Wang, B.; Zhang, J.; Li, G.; Xu, C.; Yang, L.; Zhang, J.; Wu, Y.; Liu, Y.; Liu, Z.; Wang, M.; et al. N-acetyltransferase 10 promotes cutaneous wound repair via the NF-κB-IL-6 axis. Cell Death Discov. 2023, 9, 324. [Google Scholar] [CrossRef] [PubMed]
- Chen, J.; Chen, Y.; Chen, Y.; Yang, Z.; You, B.; Ruan, Y.C.; Peng, Y. Epidermal CFTR suppresses MAPK/NF-κB to promote cutaneous wound healing. Cell Physiol. Biochem. 2016, 39, 2262–2274. [Google Scholar] [CrossRef] [PubMed]
- Maleki, A.; He, J.; Bochani, S.; Nosrati, V.; Shahbazi, M.A.; Guo, B. Multifunctional photoactive hydrogels for wound healing acceleration. ACS Nano. 2021, 15, 18895–18930. [Google Scholar] [CrossRef] [PubMed]
- Hu, W.; Wang, Z.; Zha, Y.; Gu, X.; You, W.; Xiao, Y.; Wang, X.; Zhang, S.; Wang, J. High flexible and broad antibacterial nanodressing induces complete skin repair with angiogenic and follicle regeneration. Adv. Healthc. Mater. 2020, 9, 2000035. [Google Scholar] [CrossRef] [PubMed]
- Ma, X.; Wu, G.; Dai, F.; Li, D.; Li, H.; Zhang, L.; Deng, H. Chitosan/polydopamine layer by layer self-assembled silk fibroin nanofibers for biomedical applications. Carbohyd. Polym. 2021, 251, 117058. [Google Scholar] [CrossRef] [PubMed]
- Khosravimelal, S.; Chizari, M.; Farhadihosseinabadi, B.; Moosazadeh Moghaddam, M.; Gholipourmalekabadi, M. Fabrication and characterization of an antibacterial chitosan/silk fibroin electrospun nanofiber loaded with a cationic peptide for wound-dressing application. J. Mater. Sci. Mater. Med. 2021, 32, 114. [Google Scholar] [CrossRef] [PubMed]
- Chizari, M.; Khosravimelal, S.; Tebyaniyan, H.; Moosazadeh Moghaddam, M.; Gholipourmalekabadi, M. Fabrication of an antimicrobial peptide-loaded silk fibroin/gelatin bilayer sponge to apply as a wound dressing; an in vitro study. Int. J. Pept. Res. Ther. 2022, 28, 1–13. [Google Scholar] [CrossRef]
- Srivastava, C.M.; Purwar, R.; Gupta, A.; Sharma, D. Dextrose modified flexible tasar and muga fibroin films for wound healing applications. Mater. Sci. Eng. C 2017, 75, 104–114. [Google Scholar] [CrossRef]
- Feng, L.; Wu, F.; Li, J.; Jiang, Y.; Duan, X. Antifungal activities of polyhexamethylene biguanide and polyhexamethylene guanide against the citrus sour rot pathogen Geotrichum citri-aurantii in vitro and in vivo. Postharvest Biol. Technol. 2011, 61, 160–164. [Google Scholar] [CrossRef]
- Montemezzo, M.; Ferrari, M.D.; Kerstner, E.; Santos, V.D.; Victorazzi Lain, V.; Wollheim, C.; Frozza, C.O.D.S.; Roesch-Ely, M.; Baldo, G.; Brandalise, R.N. PHMB-loaded PDMS and its antimicrobial properties for biomedical applications. J. Biomater. Appl. 2021, 36, 252–263. [Google Scholar] [CrossRef]
- Zheng, Y.; Wang, D.; Ma Luyan, Z. Effect of polyhexamethylene biguanide in combination with undecylenamidopropyl betaine or PslG on biofilm clearance. Int. J. Mol. Sci. 2021, 22, 768. [Google Scholar] [CrossRef] [PubMed]
- Zhu, K.; Zheng, L.; Xing, J.; Chen, S.; Chen, R.; Ren, L. Mechanical, antibacterial, biocompatible and microleakage evaluation of glass ionomer cement modified by nanohydroxyapatite/polyhexamethylene biguanide. Dent. Mater. J. 2022, 41, 197–208. [Google Scholar] [CrossRef] [PubMed]
- Jin, J.; Chen, Z.L.; Xiang, Y.; Tang, T.; Zhou, H.; Hong, X.D.; Fan, H.; Zhang, X.D.; Luo, P.F.; Ma, B.; et al. Development of a PHMB hydrogel-modified wound scaffold dressing with antibacterial activity. Wound Repair Regen. 2020, 28, 480–492. [Google Scholar] [CrossRef] [PubMed]
- Dong, W.; Chen, R.; Lin, Y.T.; Huang, Z.X.; Bao, G.J.; He, X.Y. A novel zinc oxide eugenol modified by polyhexamethylene biguanide: Physical and antimicrobial properties. Dent. Mater. J. 2020, 39, 200–205. [Google Scholar] [CrossRef] [PubMed]
- Antony, I.R.; Pradeep, A.; Pillai, A.V.; Menon, R.R.; Kumar, V.A.; Jayakumar, R. Antiseptic chitosan-poly(hexamethylene) biguanide hydrogel for the treatment of infectious wounds. J. Funct. Biomater. 2023, 14, 528. [Google Scholar] [CrossRef] [PubMed]
- Sibbald, R.G.; Coutts, P.; Woo, K.Y. Reduction of bacterial burden and pain in chronic wounds using a new polyhexamethylene biguanide antimicrobial foam dressing-clinical trial results. Adv. Skin Wound Care 2011, 24, 78–84. [Google Scholar] [CrossRef] [PubMed]
- Liang, A.; Zhang, M.; Luo, H.; Niu, L.; Feng, Y.; Li, M. Porous poly(hexamethylene biguanide) hydrochloride loaded silk fibroin sponges with antibacterial function. Materials 2020, 13, 285–294. [Google Scholar] [CrossRef]
- Schillinger, U.; Lücke, F.K. Antibacterial activity of lactobacillus sake isolated from meat. Appl. Environ. Microbiol. 1989, 55, 1901–1906. [Google Scholar] [CrossRef]
- Jin, H.; Cai, M.; Deng, F. Antioxidation effect of graphene oxide on silver nanoparticles and its use in antibacterial applications. Polymers 2023, 15, 3045. [Google Scholar] [CrossRef]
- Ling, S.; Zhou, L.; Zhou, W.; Shao, Z.; Chen, X. Conformation transition kinetics and spinnability of regenerated silk fibroin with glycol, glycerol and polyethylene glycol. Mater. Lett. 2012, 81, 13–15. [Google Scholar] [CrossRef]
- Zhang, Q.; Zhao, Y.; Yan, S.; Yang, Y.; Zhao, H.; Li, M.; Lu, S.; Kaplan, D.L. Preparation of uniaxial multichannel silk fibroin scaffolds for guiding primary neurons. Acta Biomater. 2012, 8, 2628–2638. [Google Scholar] [CrossRef] [PubMed]
- Urciuolo, F.; Garziano, A.; Imparato, G.; Panzetta, V.; Fusco, S.; Casale, C.; Netti, P.A. Biophysical properties of dermal building-blocks affect extra cellular matrix assembly in 3D endogenous macrotissue. Biofabrication 2016, 8, 015010–015017. [Google Scholar] [CrossRef] [PubMed]
- Xie, R.J.; Zhang, M. Effect of glycerol on structure and properties of silk fibroin/pearl powder blend films. Adv. Mater. Res. 2013, 796, 126–131. [Google Scholar] [CrossRef]
- Han, G.; Ceilley, R. Chronic wound healing: A review of current management and treatments. Adv. Ther. 2017, 34, 599–610. [Google Scholar] [CrossRef] [PubMed]
- Feng, L.; Liu, Y.; Chen, Y.; Xiang, Q.; Huang, Y.; Liu, Z.; Xue, W.; Guo, R. Injectable antibacterial hydrogel with asiaticoside-loaded liposomes and ultrafine silver nanosilver particles promotes healing of burn-infected wounds. Adv. Healthc. Mater. 2023, 12, e2203201. [Google Scholar] [CrossRef] [PubMed]
- Daunton, C.; Kothari, S.; Smith, L.; Steele, D. A history of materials and practices for wound management. Wound Pract. Res. 2012, 20, 174–183. [Google Scholar]
- Hashem, M.A.; Alotaibi, B.S.; Elsayed, M.M.A.; Alosaimi, M.E.; Hussein, A.K.; Abduljabbar, M.H.; Lee, K.T.; Abdelkader, H.; El-Mokhtar, M.A.; Hassan, A.H.E.; et al. Characterization and bio-evaluation of the synergistic effect of simvastatin and folic acid as wound dressings on the healing process. Pharmaceutics 2023, 15, 2423. [Google Scholar] [CrossRef]
- Rippon, M.G.; Rogers, A.A.; Ousey, K. Polyhexamethylene biguanide and its antimicrobial role in wound healing: A narrative review. J. Wound Care 2023, 32, 5–20. [Google Scholar] [CrossRef]
- Fu, F.; Li, L.; Liu, L.; Cai, J.; Zhang, Y.; Zhou, J.; Zhang, L. Construction of cellulose based ZnO nanocomposite films with antibacterial properties through one-step coagulation. ACS Appl. Mater. Interfaces 2015, 7, 2597–2606. [Google Scholar] [CrossRef]
- Babalska, Z.Ł.; Korbecka-Paczkowska, M.; Karpiński, T.M. Wound antiseptics and European guidelines for antiseptic application in wound treatment. Pharmaceuticals 2021, 14, 1253. [Google Scholar] [CrossRef]
- Creppy, E.E.; Diallo, A.; Moukha, S.; Eklu-Gadegbeku, C.; Cros, D. Study of epigenetic properties of poly(hexamethylene biguanide) hydrochloride (PHMB). Int. J. Environ. Res. Public Health 2014, 11, 8069–8092. [Google Scholar] [CrossRef] [PubMed]
- Christen, V.; Faltermann, S.; Brun, N.R.; Kunz, P.Y.; Fent, K. Cytotoxicity and molecular effects of biocidal disinfectants (quaternary ammonia, glutaraldehyde, poly(hexamethylene biguanide) hydrochloride PHMB) and their mixtures in vitro and in zebrafish eleuthero-embryos. Sci. Total Environ. 2017, 586, 1204–1218. [Google Scholar] [CrossRef] [PubMed]
- Schnaider, L.; Toprakcioglu, Z.; Ezra, A.; Liu, X.; Bychenko, D.; Levin, A.; Knowles, T.P. Biocompatible hybrid organic/inorganic microhydrogels promote bacterial adherence and eradication in vitro and in vivo. Nano Lett. 2020, 20, 1590–1597. [Google Scholar] [CrossRef] [PubMed]
- Srivastava, C.M.; Purwar, R.; Gupta, A.P. Enhanced potential of biomimetic.; silver nanoparticles functionalized Antheraea mylitta (tasar) silk fibroin nanofibrous mats for skin tissue engineering. Int. J. Biol. Macromol. 2019, 130, 437–453. [Google Scholar] [CrossRef] [PubMed]
- Li, P.; Jia, Z.; Wang, Q.; Tang, P.; Wang, M.; Wang, K.; Fang, J.; Zhao, C.; Ren, F.; Ge, X.; et al. A resilient and flexible chitosan/silk cryogel incorporated Ag/Sr co-doped nanoscale hydroxyapatite for osteoinductivity and antibacterial properties. J. Mater. Chem. B 2018, 6, 7427–7438. [Google Scholar] [CrossRef] [PubMed]
- Lan, Y.; Li, W.; Jiao, Y.; Guo, R.; Zhang, Y.; Xue, W.; Zhang, Y. Therapeutic efficacy of antibiotic-loaded gelatin microsphere/silk fibroin scaffolds in infected full-thickness burns. Acta Biomater. 2014, 10, 3167–3176. [Google Scholar] [CrossRef]
- Besheli, N.H.; Mottaghitalab, F.; Eslami, M.; Gholami, M.; Kundu, S.C.; Kaplan, D.L.; Farokhi, M. Sustainable release of vancomycin from silk fibroin nanoparticles for treating severe bone infection in rat tibia osteomyelitis model. ACS Appl. Mater. Interfaces 2017, 9, 5128–5138. [Google Scholar] [CrossRef]
- Song, J.; Klymov, A.; Shao, J.; Zhang, Y.; Ji, W.; Kolwijck, E.; Jansen, J.A.; Leeuwenburgh, S.C.G.; Yang, F. Electrospun nanofibrous silk fibroin membranes containing gelatin nanospheres for controlled delivery of biomolecules. Adv. Healthc. Mater. 2017, 6, 1700014. [Google Scholar] [CrossRef]
- Wang, R.; Zhu, J.; Jiang, G.; Sun, Y.; Ruan, L.; Li, P.; Cui, H. Forward wound closure with regenerated silk fibroin and polylysine-modified chitosan composite bioadhesives as dressings. ACS Appl. Bio Mater. 2020, 3, 7941–7951. [Google Scholar] [CrossRef]
- Ghalei, S.; Handa, H. A review on antibacterial silk fibroin-based biomaterials: Current state and prospects. Mater Today Chem. 2022, 23, 100673. [Google Scholar] [CrossRef]
- Song, D.W.; Kim, S.H.; Kim, H.H.; Lee, K.H.; Ki, C.S.; Park, Y.H. Multi-biofunction of antimicrobial peptide-immobilized silk fibroin nanofiber membrane: Implications for wound healing. Acta Biomater. 2016, 39, 146–155. [Google Scholar] [CrossRef] [PubMed]
- Çalamak, S.; Erdoğdu, C.; Özalp, M.; Ulubayram, K. Silk fibroin based antibacterial bionanotextiles as wound dressing materials. Mater. Sci. Eng. C 2014, 43, 11–20. [Google Scholar] [CrossRef] [PubMed]
- Gokila, S.; Gomathi, T.; Vijayalakshmi, K.; Alshahrani Faleh, A.; Anil, S.; Sudha, P.N. Development of 3D scaffolds using nanochitosan/silk-fibroin/hyaluronic acid biomaterials for tissue engineering applications. Int. J. Biol. Macromol. 2018, 120, 876–885. [Google Scholar]
- Yan, S.; Zhang, Q.; Wang, J.; Liu, Y.; Lu, S.; Li, M.; Kaplan, D.L. Silk fibroin/chondroitin sulfate/hyaluronic acid ternary scaffolds for dermal tissue reconstruction. Acta Biomater. 2013, 9, 6771–6782. [Google Scholar] [CrossRef]
- Llorens, E.; Calderón, S.; del Valle, L.J.; Puiggalí, J. Polybiguanide (PHMB) loaded in PLA scaffolds displaying high hydrophobic, biocompatibility and antibacterial properties. Mater. Sci. Eng. C 2015, 50, 74–84. [Google Scholar] [CrossRef]
- Müller, G.; Koburger, T.; Kramer, A. Interaction of polyhexamethylene biguanide hydrochloride (PHMB) with phosphatidylcholine containing o/w emulsion and consequences for microbicidal efficacy and cytotoxicity. Chem. Biol. Interact. 2013, 201, 58–64. [Google Scholar] [CrossRef]







| Antibacterial Agent | Material Form | Loading Method | Antimicrobial Efficiency | Cytocompatibility | Ref. |
|---|---|---|---|---|---|
| Nano silver | Hydrogel | Droplet microfluidic approach | E. coli (75%) | Cell viability exceeded 97% | [43,44,45] |
| Mat | Coating | Zone of inhibition (12 h): S. aureus (10 mm) E. coli (14 mm) | Reached to confluence stage after 5 days of incubation | ||
| Hydrogel | Hydrothermal | Growth inhibition of E. coli | Can promote cell proliferation | ||
| Antibiotics | Film | Dipping | Zone of inhibition (24 h): S. aureus (19–21 mm) E. coli (16–18 mm) | Reached to confluence stage after 5 days of incubation | [18,46,47,48] |
| Film | Electrospinning | Zone of inhibition (24 h): S. aureus (3 mm) | No cytotoxicity | ||
| Scaffold | Freeze-drying | Zone of inhibition (26 d): S. aureus (11–14 mm) | No harmful effect on cell viability | ||
| Scaffold | Dipping | Zone of inhibition (24 h): S. aureus (8.8 mm) E. coli (7.5 mm) | Can promote wound healing | ||
| Antibacterial peptides | Bioadhesives | Blended | Zone of inhibition (12 h): S. aureus (2.1 mm) E. coli (4.3 mm) | Cell viability approached 100% | [16,17,49,51] |
| Scaffold | Electrospinning | Zone of inhibition (12 h): S. aureus (7.8 mm) E. coli (6.9 mm) | Cell viability approached 90% | ||
| Film | Covalent cross-linking | S. aureus (75%) | Cell viability decreased | ||
| Film | Covalent cross-linking | Strong antibacterial properties against S. epidermidis, E. coli | No cytotoxic | ||
| Cationic polymers | Film | Electrospinning | E. coli (93.63 ± 2.09%) | No obvious cytotoxicity | [14,15,52,53] |
| Film | Electrospinning | Complete inhibition of S. aureus and P. aeruginosa growth after 5 h | No obvious cytotoxicity | ||
| Scaffold | Blended | Zone of inhibition (24 h): E. coli (16 mm) Pseudomonas aureus (14 mm) | No obvious cytotoxicity | ||
| Film | Electrostatic interaction | E. coli and S. aureus (98%) | Cell viability approached 78% |
Disclaimer/Publisher’s Note: The statements, opinions and data contained in all publications are solely those of the individual author(s) and contributor(s) and not of MDPI and/or the editor(s). MDPI and/or the editor(s) disclaim responsibility for any injury to people or property resulting from any ideas, methods, instructions or products referred to in the content. |
© 2023 by the authors. Licensee MDPI, Basel, Switzerland. This article is an open access article distributed under the terms and conditions of the Creative Commons Attribution (CC BY) license (https://creativecommons.org/licenses/by/4.0/).
Share and Cite
Pan, P.; Hu, C.; Liang, A.; Liu, X.; Fang, M.; Yang, S.; Zhang, Y.; Li, M. Preparation and Properties of Antibacterial Silk Fibroin Scaffolds. Polymers 2023, 15, 4581. https://doi.org/10.3390/polym15234581
Pan P, Hu C, Liang A, Liu X, Fang M, Yang S, Zhang Y, Li M. Preparation and Properties of Antibacterial Silk Fibroin Scaffolds. Polymers. 2023; 15(23):4581. https://doi.org/10.3390/polym15234581
Chicago/Turabian StylePan, Peng, Cheng Hu, Ahui Liang, Xueping Liu, Mengqi Fang, Shanlong Yang, Yadong Zhang, and Mingzhong Li. 2023. "Preparation and Properties of Antibacterial Silk Fibroin Scaffolds" Polymers 15, no. 23: 4581. https://doi.org/10.3390/polym15234581
APA StylePan, P., Hu, C., Liang, A., Liu, X., Fang, M., Yang, S., Zhang, Y., & Li, M. (2023). Preparation and Properties of Antibacterial Silk Fibroin Scaffolds. Polymers, 15(23), 4581. https://doi.org/10.3390/polym15234581

