Ionenes as Potential Phase Change Materials with Self-Healing Behavior
Abstract
:1. Introduction
2. Experimental Part
2.1. Materials and Equipment
2.2. Film Preparation
2.3. Self-Healing Test
2.4. Monomer Synthesis
2.5. Ionene Synthesis
3. Results and Discussion
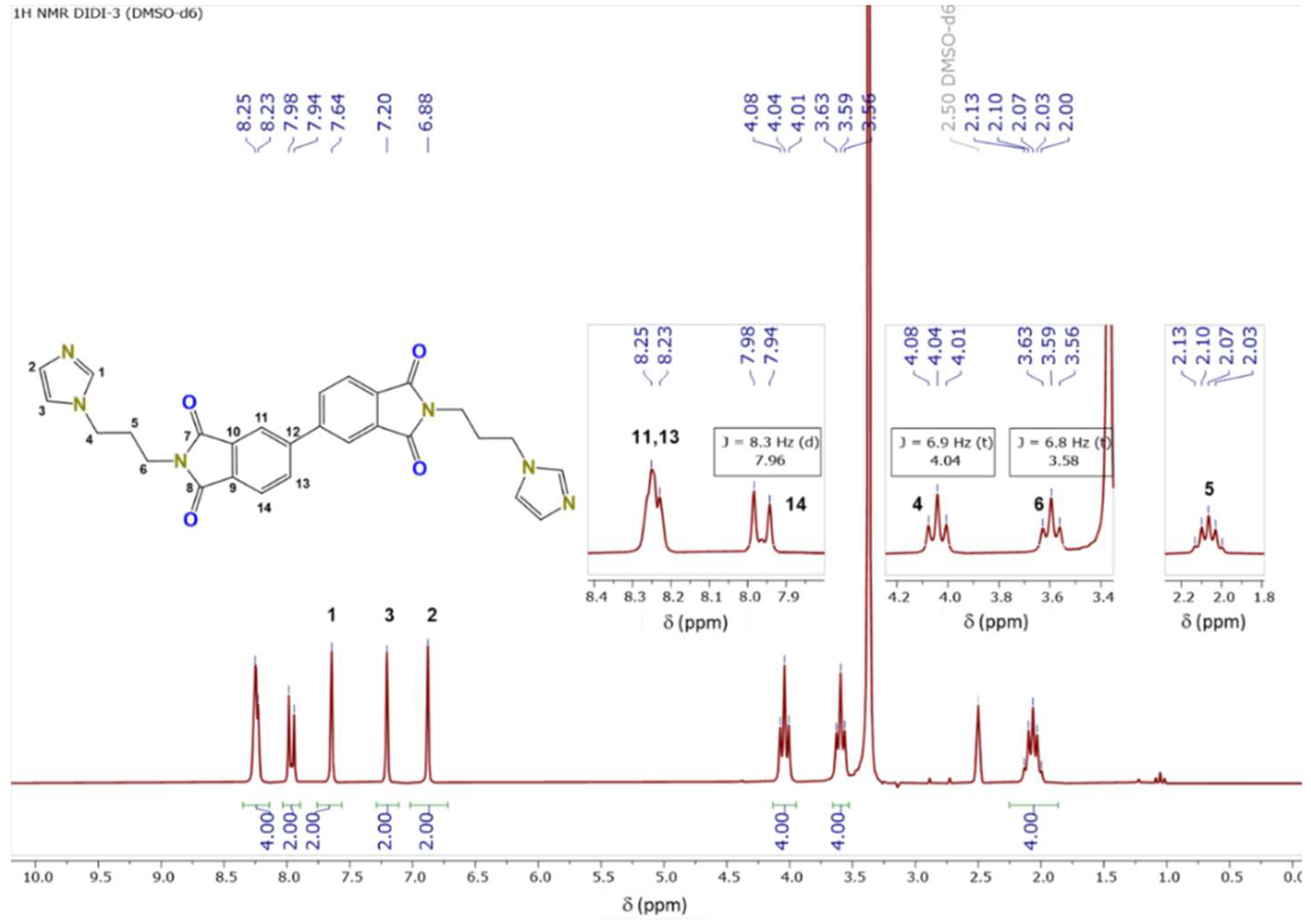
3.1. Synthesis and Structural Characterization of Monomers and Ionenes
3.2. Solubility
3.3. Thermal Properties
3.4. Self-Healing Behavior
3.5. Hydrophilicity
4. Conclusions
Supplementary Materials
Author Contributions
Funding
Institutional Review Board Statement
Data Availability Statement
Conflicts of Interest
References
- Xu, C.; Cheng, Z. Thermal Stability of Ionic Liquids: Current Status and Prospects for Future Development. Processes 2021, 9, 337. [Google Scholar] [CrossRef]
- Welton, T. Ionic Liquids: A Brief History. Biophys. Rev. 2018, 10, 691–706. [Google Scholar] [CrossRef]
- Khan, R.A.; Mohammed, H.A.; Sulaiman, G.M.; Subaiyel, A.A.; Karuppaiah, A.; Rahman, H.; Makhathini, S.; Ramburrun, P.; Choonara, Y.E. Molecule(s) of Interest: I. Ionic Liquids–Gateway to Newer Nanotechnology Applications: Advanced Nanobiotechnical Uses’, Current Status, Emerging Trends, Challenges, and Prospects. Int. J. Mol. Sci. 2022, 23, 14346. [Google Scholar] [CrossRef]
- Jadhav, V.H.; Kim, J.G.; Park, S.H.; Kim, D.W. Task-Specific Hexaethylene Glycol Bridged Di-Cationic Ionic Liquids as Catalysts for Nucleophilic Fluorination Using Potassium Fluoride. Chem. Eng. J. 2017, 308, 664–668. [Google Scholar] [CrossRef]
- Patil, S.K.; Patil, S.A.; Vadiyar, M.M.; Awale, D.V.; Sartape, A.S.; Walekar, L.S.; Kolekar, G.B.; Ghorpade, U.V.; Kim, J.H.; Kolekar, S.S. Tailor-Made Dicationic Ionic Liquid as a Fluorescent Sensor for Detection of Hydroquinone and Catechol. J. Mol. Liq. 2017, 244, 39–45. [Google Scholar] [CrossRef]
- Guglielmero, L.; Mero, A.; Mezzetta, A.; Tofani, G.; D’Andrea, F.; Pomelli, C.S.; Guazzelli, L. Novel Access to Ionic Liquids Based on Trivalent Metal–EDTA Complexes and Their Thermal and Electrochemical Characterization. J. Mol. Liq. 2021, 340, 117210. [Google Scholar] [CrossRef]
- Dias, R.M.; da Costa Lopes, A.M.; Silvestre, A.J.D.; Coutinho, J.A.P.; da Costa, M.C. Uncovering the Potentialities of Protic Ionic Liquids Based on Alkanolammonium and Carboxylate Ions and Their Aqueous Solutions as Non-Derivatizing Solvents of Kraft Lignin. Ind. Crops Prod. 2020, 143, 111866. [Google Scholar] [CrossRef]
- Chen, L.; Xiong, Y.; Qin, H.; Qi, Z. Advances of Ionic Liquids and Deep Eutectic Solvents in Green Processes of Biomass-Derived 5-Hydroxymethylfurfural. ChemSusChem 2022, 15, e202102635. [Google Scholar] [CrossRef] [PubMed]
- Sanati, A.; Malayeri, M.R.; Busse, O.; Weigand, J.J. Utilization of Ionic Liquids and Deep Eutectic Solvents in Oil Operations: Progress and Challenges. J. Mol. Liq. 2022, 361, 119641. [Google Scholar] [CrossRef]
- Ahmed, M.; Rao, S.S.; Filippov, A.; Johansson, P.; Shah, F.U. Aromatic Heterocyclic Anion Based Ionic Liquids and Electrolytes. Phys. Chem. Chem. Phys. 2023, 25, 3502–3512. [Google Scholar] [CrossRef]
- Dick, L.; Stettner, T.; Liu, Y.; Liu, S.; Kirchner, B.; Balducci, A. Hygroscopic Protic Ionic Liquids as Electrolytes for Electric Double Layer Capacitors. Energy Storage Mater. 2022, 53, 744–753. [Google Scholar] [CrossRef]
- Fiates, J.; Ratochinski, R.H.; Lourenço, T.C.; Da Silva, J.L.F.; Dias, L.G. Fluoroalkoxyaluminate-Based Ionic Liquids as Electrolytes for Sodium-Ion Batteries. J. Mol. Liq. 2023, 369, 120919. [Google Scholar] [CrossRef]
- Zunita, M.; Yuan, D.M.; Syafi’ Laksono, A. Glucose Conversion into Hydroxymethylfurfural via Ionic Liquid-Based Processes. Chem. Eng. J. Adv. 2022, 11, 100307. [Google Scholar] [CrossRef]
- Qiao, Y.; Ma, W.; Theyssen, N.; Chen, C.; Hou, Z. Temperature-Responsive Ionic Liquids: Fundamental Behaviors and Catalytic Applications. Chem. Rev. 2017, 117, 6881–6928. [Google Scholar] [CrossRef] [PubMed]
- Kasprzak, D.; Stępniak, I.; Galiński, M. Acetate- and Lactate-Based Ionic Liquids: Synthesis, Characterisation and Electrochemical Properties. J. Mol. Liq. 2018, 264, 233–241. [Google Scholar] [CrossRef]
- Widakdo, J.; Huang, T.-J.; Subrahmanya, T.M.; Austria, H.F.M.; Chou, H.-L.; Hung, W.-S.; Wang, C.-F.; Hu, C.-C.; Lee, K.-R.; Lai, J.-Y. Bioinspired Ionic Liquid-Graphene Based Smart Membranes with Electrical Tunable Channels for Gas Separation. Appl. Mater. Today 2022, 27, 101441. [Google Scholar] [CrossRef]
- Zunita, M.; Natola, O.W.; David, M.; Lugito, G. Integrated Metal Organic Framework/Ionic Liquid-Based Composite Membrane for CO2 Separation. Chem. Eng. J. Adv. 2022, 11, 100320. [Google Scholar] [CrossRef]
- Zhang, Z.; Cao, X.; Geng, C.; Sun, Y.; He, Y.; Qiao, Z.; Zhong, C. Machine Learning Aided High-Throughput Prediction of Ionic Liquid@MOF Composites for Membrane-Based CO2 Capture. J. Memb. Sci. 2022, 650, 120399. [Google Scholar] [CrossRef]
- Zunita, M.; Hastuti, R.; Alamsyah, A.; Khoiruddin, K.; Wenten, I.G. Ionic Liquid Membrane for Carbon Capture and Separation. Sep. Purif. Rev. 2022, 51, 261–280. [Google Scholar] [CrossRef]
- Faisal Elmobarak, W.; Almomani, F.; Tawalbeh, M.; Al-Othman, A.; Martis, R.; Rasool, K. Current Status of CO2 Capture with Ionic Liquids: Development and Progress. Fuel 2023, 344, 128102. [Google Scholar] [CrossRef]
- Xu, X.; Van Eygen, G.; Molina-Fernández, C.; Nikolaeva, D.; Depasse, Y.; Chergaoui, S.; Hartanto, Y.; Van der Bruggen, B.; Coutinho, J.A.P.; Buekenhoudt, A.; et al. Evaluation of Task-Specific Ionic Liquids Applied in Pervaporation Membranes: Experimental and COSMO-RS Studies. J. Memb. Sci. 2023, 670, 121350. [Google Scholar] [CrossRef]
- Rather, S.; Shariff, A.M.; Sulaimon, A.A.; Bamufleh, H.S.; Qasim, A.; Saad Khan, M.; Alhumade, H.; Saeed, U.; Alalayah, W.M. Prediction of Carbon-Dioxide Activity Coefficient for Solubility in Ionic Liquids Using Multi-Non-Linear Regression Analysis. Chemosphere 2023, 311, 137102. [Google Scholar] [CrossRef]
- Zheng, S.; Zeng, S.; Li, G.; Yao, X.; Li, Z.; Zhang, X. Superior Selective Adsorption of Trace CO2 Induced by Chemical Interaction and Created Ultra-Micropores of Ionic Liquid Composites. Chem. Eng. J. 2023, 451, 138736. [Google Scholar] [CrossRef]
- Niu, Z.; Luo, W.; Mu, P.; Li, J. Nanoconfined CO2-Philic Ionic Liquid in Laminated g-C3N4 Membrane for the Highly Efficient Separation of CO2. Sep. Purif. Technol. 2022, 297, 121513. [Google Scholar] [CrossRef]
- Li, Q.; Wang, S.; Zhou, M.; Lu, X.; Qiao, G.; Li, C.; Wu, Y. A Review of Imidazolium Ionic Liquid-Based Phase Change Materials for Low and Medium Temperatures Thermal Energy Storage and Their Applications. Green Energy Resour. 2023, 1, 100010. [Google Scholar] [CrossRef]
- Anggraini, Y.; Sutjahja, I.; Kurnia, D.; Viridi, S. Effects of Anion and Alkyl Chain Length of Cation on the Thermophysical Properties of Imidazolium-Based Ionic Liquid. Mater. Today Proc. 2021, 44, 3188–3191. [Google Scholar] [CrossRef]
- Faraji, S.; Shekaari, H.; Zafarani-Moattar, M.T.; Mokhtarpour, M.; Asghari, E. Thermal Properties of Phase Change Materials Ionic Liquid/Fatty Acids for Thermal Energy Storage Applications. J. Energy Storage 2023, 67, 107464. [Google Scholar] [CrossRef]
- Raj, C.R.; Suresh, S.; Bhavsar, R.R.; Singh, V.K. Recent Developments in Thermo-Physical Property Enhancement and Applications of Solid Solid Phase Change Materials. J. Therm. Anal. Calorim. 2020, 139, 3023–3049. [Google Scholar] [CrossRef]
- Lee, J.S.; Hocken, A.; Green, M.D. Advances in the Molecular Design of Ionenes for a Diverse Range of Applications. Mol. Syst. Des. Eng. 2021, 6, 334–354. [Google Scholar] [CrossRef]
- Li, K.; Xu, S.; Xiong, M.; Huan, S.-Y.; Yuan, L.; Zhang, X.-B. Molecular Engineering of Organic-Based Agents for in Situ Bioimaging and Phototherapeutics. Chem. Soc. Rev. 2021, 50, 11766–11784. [Google Scholar] [CrossRef]
- Zunita, M.; Hastuti, R.; Alamsyah, A.; Kadja, G.T.M.; Khoiruddin, K.; Kurnia, K.A.; Yuliarto, B.; Wenten, I.G. Polyionic Liquid Membrane: Recent Development and Perspective. J. Ind. Eng. Chem. 2022, 113, 96–123. [Google Scholar] [CrossRef]
- O’Harra, K.E.; Kammakakam, I.; Bara, J.E.; Jackson, E.M. Understanding the Effects of Backbone Chemistry and Anion Type on the Structure and Thermal Behaviors of Imidazolium Polyimide-ionenes. Polym. Int. 2019, 68, 1547–1556. [Google Scholar] [CrossRef]
- Cui, J.; Nie, F.-M.; Yang, J.-X.; Pan, L.; Ma, Z.; Li, Y.-S. Novel Imidazolium-Based Poly(Ionic Liquid)s with Different Counterions for Self-Healing. J. Mater. Chem. A 2017, 5, 25220–25229. [Google Scholar] [CrossRef]
- Campos, V.; Dweck, J.; Nascimento, C.A.O.; Tcacenco, C.M. Thermal Stability of Ionene Polymers. J. Therm. Anal. Calorim. 2013, 112, 1221–1229. [Google Scholar] [CrossRef]
- Schreiner, C.; Bridge, A.T.; Hunley, M.T.; Long, T.E.; Green, M.D. Segmented Imidazolium Ionenes: Solution Rheology, Thermomechanical Properties, and Electrospinning. Polymer 2017, 114, 257–265. [Google Scholar] [CrossRef]
- Keith, J.R.; Rebello, N.J.; Cowen, B.J.; Ganesan, V. Influence of Counterion Structure on Conductivity of Polymerized Ionic Liquids. ACS Macro Lett. 2019, 8, 387–392. [Google Scholar] [CrossRef]
- Shaplov, A.S.; Ponkratov, D.O.; Vygodskii, Y.S. Poly(Ionic Liquid)s: Synthesis, Properties, and Application. Polym. Sci. Ser. B 2016, 58, 73–142. [Google Scholar] [CrossRef]
- Noguchi, H.; Rembaum, A. Reactions of N,N,N’,N’-Tetramethyl-α,ι-Diaminoalkanes with α,ι-Dihaloalkanes. I. 1-y Reactions. Macromolecules 1972, 5, 253–260. [Google Scholar] [CrossRef]
- Mittenthal, M.S.; Flowers, B.S.; Bara, J.E.; Whitley, J.W.; Spear, S.K.; Roveda, J.D.; Wallace, D.A.; Shannon, M.S.; Holler, R.; Martens, R.; et al. Ionic Polyimides: Hybrid Polymer Architectures and Composites with Ionic Liquids for Advanced Gas Separation Membranes. Ind. Eng. Chem. Res. 2017, 56, 5055–5069. [Google Scholar] [CrossRef]
- Ravotti, R.; Fellmann, O.; Fischer, L.J.; Worlitschek, J.; Stamatiou, A. Assessment of the Thermal Properties of Aromatic Esters as Novel Phase Change Materials. Crystals 2020, 10, 919. [Google Scholar] [CrossRef]
- Qi, C.; Yang, W.; He, F.; Yao, J. The Thermal Properties and Degradability of Chiral Polyester-Imides Based on Several l/d-Amino Acids. Polymers 2020, 12, 2053. [Google Scholar] [CrossRef]
- Imai, Y.; Shiratori, M.; Jikei, M.; Kakimoto, M. High Pressure Synthesis of NewN,N-Diphenyl-Pendent Aromatic Ionene Polymers FromN,N,N′,N′-Tetraphenyl-m-Xylylenediamine and Aliphatic Dihalides. Macromol. Chem. Phys. 2000, 201, 2316–2321. [Google Scholar] [CrossRef]
- Zhuang, Y.; Seong, J.G.; Lee, Y.M. Polyimides Containing Aliphatic/Alicyclic Segments in the Main Chains. Prog. Polym. Sci. 2019, 92, 35–88. [Google Scholar] [CrossRef]
- Lei, M.; Wu, S.; Liu, C.; Liang, J.; Xiao, R. Revealing the Pyrolysis Behavior of 5-5′ Biphenyl-Type Lignin Fragment. Part I: A Mechanistic Study on Fragmentation via Experiments and Theoretical Calculation. Fuel Process. Technol. 2021, 217, 106812. [Google Scholar] [CrossRef]
- Demarteau, J.; O’Harra, K.E.; Bara, J.E.; Sardon, H. Valorization of Plastic Wastes for the Synthesis of Imidazolium-Based Self-Supported Elastomeric Ionenes. ChemSusChem 2020, 13, 3122–3126. [Google Scholar] [CrossRef] [PubMed]
- Yu, H.; Feng, Y.; Chen, C.; Zhang, Z.; Cai, Y.; Qin, M.; Feng, W. Thermally Conductive, Self-Healing, and Elastic Polyimide@Vertically Aligned Carbon Nanotubes Composite as Smart Thermal Interface Material. Carbon 2021, 179, 348–357. [Google Scholar] [CrossRef]
- Potaufeux, J.-E.; Odent, J.; Notta-Cuvier, D.; Lauro, F.; Raquez, J.-M. A Comprehensive Review of the Structures and Properties of Ionic Polymeric Materials. Polym. Chem. 2020, 11, 5914–5936. [Google Scholar] [CrossRef]
- Das, A.; Le, H.H.; Vuorinen, J.; Heinrich, G. Comment on “Monitoring Network and Interfacial Healing Processes by Broadband Dielectric Spectroscopy: A Case Study on Natural Rubber. ” ACS Appl. Mater. Interfaces 2017, 9, 14547–14551. [Google Scholar] [CrossRef] [PubMed]
- Cardiano, P.; Mineo, P.G.; Neri, F.; Lo Schiavo, S.; Piraino, P. A New Application of Ionic Liquids: Hydrophobic Properties of Tetraalkylammonium-Based Poly(Ionic Liquid)S. J. Mater. Chem. 2008, 18, 1253. [Google Scholar] [CrossRef]



















| I-1 | I-2 | I-3 | I-4 | I-5 | I-6 | I-7 | I-8 | |
|---|---|---|---|---|---|---|---|---|
| Water | − | − | − | − | − | − | − | − |
| DMSO | + | + | + | + | + | + | + | + |
| DMF | + | + | + | + | + | + | + | + |
| Acetonitrile | + | + | + | + | + | + | + | + |
| Ethanol | − | − | − | − | − | − | − | − |
| Methanol | − | − | − | − | − | − | − | − |
| Acetone | + | + | + | + | + | + | + | + |
| Ethyl acetate | − | − | − | − | − | − | − | − |
| Chloroform | − | − | − | − | − | − | − | − |
| Ethyl ether | − | − | − | − | − | − | − | − |
| Tonset (°C) a | T5% (°C) b | T10% (°C) c | Td1 (°C) c | Td2 (°C) d | R (%) e | |
|---|---|---|---|---|---|---|
| [PMDA-API-pXy] [NTf2] | 420 | 421 | 430 | 450 | - | 33 |
| [ODPA-API-pXy] [NTf2] | 433 | 430 | 439 | 448 | - | 37 |
| [BPDA-API-pXy] [NTf2] | 429 | 392 | 440 | 476 | 597 | 0 |
| [PMDA-API-C3] [NTf2] | 432 | 400 | 434 | 464 | - | 0 |
| [ODPA-API-C3] [NTf2] | 441 | 361 | 427 | 461 | - | 26 |
| [BPDA-API-C3] [NTf2] | 433 | 436 | 447 | 472 | 584 | 1 |
| [BPDA-API-C6] [NTf2] | 432 | 400 | 434 | 480 | 577 | 0 |
| [BPDA-API-C12] [NTf2] | 421 | 394 | 431 | 484 | 560 | 0 |
| Heating Curve | Cooling Curve | ||
|---|---|---|---|
| Tg (°C) | Tg (°C) | ∆Tg (°C) | |
| [PMDA-API-pXy] [NTf2] | 51.7 | 51.3 | 0.4 |
| [ODPA-API-pXy] [NTf2] | 70.6 | 64.0 | 6.6 |
| [BPDA-API-pXy] [NTf2] | 83.3 | 78.8 | 4.5 |
| [PMDA-API-C3] [NTf2] | 26.0 | - | - |
| [ODPA-API-C3] [NTf2] | 38.4 | - | - |
| [BPDA-API-C3] [NTf2] | 54.5 | 52.0 | 2.5 |
| [BPDA-API-C6] [NTf2] | 28.2 | - | - |
| [BPDA-API-C12] [NTf2] | 24.1 | - | - |
| Average Contact Angle | γS a (mN/m) | γSD b (mN/m) | γSP c (mN/m) | ||
|---|---|---|---|---|---|
| Water | Diiodomethane | ||||
| [PMDA-API-pXy] [NTf2] | 80.1 | 60.8 | 30.9 | 22.2 | 8.6 |
| [ODPA-API-pXy] [NTf2] | 85.8 | 76.3 | 23.4 | 14.3 | 9.1 |
| [BPDA-API-pXy] [NTf2] | 97.3 | 40.1 | 39.9 | 39.7 | 0.3 |
| [PMDA-API-C3] [NTf2] | 79.1 | 51.5 | 34.9 | 27.7 | 7.2 |
| [ODPA-API-C3] [NTf2] | 80.9 | 58.5 | 31.5 | 23.8 | 7.7 |
| [BPDA-API-C3] [NTf2] | 78.2 | 47.4 | 36.9 | 29.9 | 6.9 |
| [BPDA-API-C6] [NTf2] | 82.4 | 49.5 | 34.9 | 29.8 | 5.2 |
| [BPDA-API-C12] [NTf2] | 85.5 | 49.0 | 34.7 | 30.9 | 3.8 |
Disclaimer/Publisher’s Note: The statements, opinions and data contained in all publications are solely those of the individual author(s) and contributor(s) and not of MDPI and/or the editor(s). MDPI and/or the editor(s) disclaim responsibility for any injury to people or property resulting from any ideas, methods, instructions or products referred to in the content. |
© 2023 by the authors. Licensee MDPI, Basel, Switzerland. This article is an open access article distributed under the terms and conditions of the Creative Commons Attribution (CC BY) license (https://creativecommons.org/licenses/by/4.0/).
Share and Cite
Arriaza-Echanes, C.; Velázquez-Tundidor, M.V.; Angel-López, A.; Norambuena, Á.; Palay, F.E.; Terraza, C.A.; Tundidor-Camba, A.; Ortiz, P.A.; Coll, D. Ionenes as Potential Phase Change Materials with Self-Healing Behavior. Polymers 2023, 15, 4460. https://doi.org/10.3390/polym15224460
Arriaza-Echanes C, Velázquez-Tundidor MV, Angel-López A, Norambuena Á, Palay FE, Terraza CA, Tundidor-Camba A, Ortiz PA, Coll D. Ionenes as Potential Phase Change Materials with Self-Healing Behavior. Polymers. 2023; 15(22):4460. https://doi.org/10.3390/polym15224460
Chicago/Turabian StyleArriaza-Echanes, Carolina, María V. Velázquez-Tundidor, Alejandro Angel-López, Ángel Norambuena, Francisco E. Palay, Claudio A. Terraza, Alain Tundidor-Camba, Pablo A. Ortiz, and Deysma Coll. 2023. "Ionenes as Potential Phase Change Materials with Self-Healing Behavior" Polymers 15, no. 22: 4460. https://doi.org/10.3390/polym15224460
APA StyleArriaza-Echanes, C., Velázquez-Tundidor, M. V., Angel-López, A., Norambuena, Á., Palay, F. E., Terraza, C. A., Tundidor-Camba, A., Ortiz, P. A., & Coll, D. (2023). Ionenes as Potential Phase Change Materials with Self-Healing Behavior. Polymers, 15(22), 4460. https://doi.org/10.3390/polym15224460

