Fabrication of High Impact-Resistant Polyimide Nanocomposites with Outstanding Thermomechanical Properties
Abstract
:1. Introduction
2. Materials and Methods
2.1. Materials
2.2. Synthesis of Poly(N-ethyl-aniline-co-aniline-2-sulfonic acid)-Clay (SPNEAC) Copolymer
2.3. Synthesis of Poly(amic acid)/Poly(N-ethyl-aniline)-co-aniline-2-sulfonic acid)-Clay(SPNEAC-PAA)
2.4. Preparation of Polyimide/Poly(N-ethyl-aniline-co-aniline-2-sulfonic acid)-Clay (SPNEAC-PI) Nanocomposite Films
2.5. Characterization
3. Results
3.1. Optical Properties
3.2. Functional Group Analysis and Degree of Imidization
3.3. Thermal Transitions
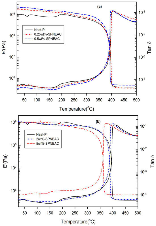
3.4. Dynamic Mechanical Analysis
3.4.1. Storage Modulus
3.4.2. Comparison of the Dynamic Mechanical Properties of Clay 30B-PI and SPNEAC2-PI Nanocomposites
3.4.3. Damping Behavior and Impact Energy
3.5. SPNEAC2-PI Nanocomposite Morphology
3.6. Discussion of Major Findings
4. Conclusions
Author Contributions
Funding
Institutional Review Board Statement
Data Availability Statement
Acknowledgments
Conflicts of Interest
References
- Macdiarmid, A.G. Polyaniline and Polypyrrole: Where are we. Synth. Met. 1997, 84, 27–34. [Google Scholar] [CrossRef]
- Skotheim, T.A.; Elsenbaumer, R.; Reynonds, J. (Eds.) Handbook of Conducting Polymer, 2nd ed.; Marcel Dekker: New York, NY, USA, 1997. [Google Scholar]
- Shilare, D.J.; Gade, V.K.; Gaikwad, P.D.; Kharat, H.J.; Kakde, K.P.; Savale, P.A.; Hussaini, S.S.; Dhumane, N.R.; Shirsat, M.D. Synthesis and Characterization of Ppy-PVS, Ppy-pTS, and Ppy-DBS Composite Films. Int. J. Polym. Mater. Polym. Biomater. 2007, 56, 107–114. [Google Scholar]
- Cooper, J.C.; Hall, E.A.H. Catalytic reduction of benzoquinone at polyaniline and polyaniline/enzyme films. Electroanalysis 1993, 5, 385–397. [Google Scholar] [CrossRef]
- Kitani, A.; Kaya, M.; Sasaki, K. Performance Study of Aqueous Polyaniline Batteries. J. Electrochem. Soc. 1986, 133, 1069–1073. [Google Scholar] [CrossRef]
- Contractor, A.; Sureshkumar, T.; Narayanan, R.; Sukeerthi, S.; Lal, R.; Srinivasa, R. Conducting polymer-based biosensors. Electrochim. Acta 1994, 39, 1321–1324. [Google Scholar] [CrossRef]
- Sun, X.X.; Aboul-Enein, H.Y. Internal Solid Contact Electrode for the Determination of Clenbuterol in Pharmaceutical Formulations and Human Urine. Anal. Lett. 1999, 32, 1142. [Google Scholar] [CrossRef]
- Xu, R.; Guan, Y.; Chen, H.; Huang, L.; Zhan, P. Preparation and electrochemical properties of Al/Pb-PANI-WC composite inert anodes. J. Chin. Adv. Mater. Soc. 2013, 1, 40–47. [Google Scholar] [CrossRef]
- Jenkins, I.H.; Salzner, U.; Pickup, P.G. Conducting Copolymers of Pyridine with Thiophene, N-Methylpyrrole, and Selenophene. Chem. Mater. 1996, 8, 2444–2450. [Google Scholar] [CrossRef]
- Yakuphanoglu, F.; Şenkal, B.F. Electronic and Thermoelectric Properties of Polyaniline Organic Semiconductor and Electrical Characterization of Al/PANI MIS Diode. J. Phys. Chem. C 2007, 111, 1840–1846. [Google Scholar] [CrossRef]
- Chaudhari, S.; Sainkar, S.R.; Patil, P.P. Anticorrosive properties of electrosynthesized poly(o-anisidine) coatings on copper from aqueous salicylate medium. J. Phys. D Appl. Phys. 2007, 40, 520–533. [Google Scholar] [CrossRef]
- Savale, P.; Shirale, D.J.; Datta, K.; Ghosh, P.; Shirsat, M.D. Synthesis and characterization of poly (O-anisidine) films under galvanostatic conditions by using ECP technique. Int. J. Electrochem. Sci. 2007, 2, 595–606. [Google Scholar] [CrossRef]
- Yang, S.; Zhu, S.; Hong, R. Graphene Oxide/Polyaniline Nanocomposites Used in Anticorrosive Coatings for Environmental Protection. Coatings 2020, 10, 1215. [Google Scholar] [CrossRef]
- Kulkarni, M.V.; Viswanath, A.K.; Aiyer, R.C.; Khanna, P.K. Synthesis, characterization, and morphology of p-toluene sulfonic acid-doped polyaniline: A material for humidity sensing application. J. Polym. Sci. Part B Polym. Phys. 2005, 43, 2161–2169. [Google Scholar] [CrossRef]
- Wei, D.; Lindfors, T.; Kvavarntrom, Y.C.; Kronberg, L. Electrosynthesis and characterization of poly(N-methylaniline) in organic solvents. J. Electroanal. Chem. 2005, 575, 19–26. [Google Scholar] [CrossRef]
- Shah, K.; Iroh, J.O. Poly(O-anisidine) coatings electrodeposited onto AL-2024: Synthesis, characterization, and corrosion. Adv. Polym. Technol. 2004, 23, 291–297. [Google Scholar] [CrossRef]
- Longun, J.; Buschle, B.; Nguyen, N.; Lo, M.; Iroh, J.O. Comparison of poly(o-anisidine) and poly(o-anisidine-co-aniline) copolymer synthesized by chemical oxidative method. J. Appl. Polym. Sci. 2010, 118, 3123–3130. [Google Scholar] [CrossRef]
- Peters, E.M.; Van Dyke, J.D. Copolymers of pyrrole and bithiophene by oxidative electropolymerization. J. Polym. Sci. Part A Polym. Chem. 1991, 29, 1379–1385. [Google Scholar] [CrossRef]
- Wei, Y.; Focke, W.W.; Wnek, G.E.; Macdiarmid, A.G. Synthesis and electrochemistry of alkyl ring-substituted polyanilines. J. Phys. Chem. 1989, 93, 495. [Google Scholar] [CrossRef]
- Wei, Y.; Hariharan, R.; Patel, S.A. Chemical and electrochemical copolymerization of aniline with alkyl ring-substituted anilines. Macromolecules 1990, 23, 758–764. [Google Scholar] [CrossRef]
- Zhu, Y.; Iroh, J.O.; Rajagopolan, R.; Aykanat, A.; Vaia, R. Optimizing the Synthesis and Thermal Properties of Conducting Polymer–Montmorillonite Clay Nanocomposites. Energies 2022, 15, 1291. [Google Scholar] [CrossRef]
- Langer, J.J. Nsubstituted polyanilines: I. Poly(Nmethylaniline) and related copolymers. Synth. Met. 1990, 35, 295–301. [Google Scholar] [CrossRef]
- Motheo, J.; Pantoja, M.F.; Venancio, E.C. Effect of monomer ratio in the electrochemical synthesis of poly(aniline-co-o-methoxyaniline). Solid State Ion. 2004, 171, 91–98. [Google Scholar] [CrossRef]
- Kulkarni, M.V.; Viswanath, A.K.; Khanna, P.K. Synthesis and characterization of poly(N-methyl aniline) doped with sulphonic acids: Their application as humidity sensors. J. Appl. Polym. Sci. 2006, 99, 812–820. [Google Scholar] [CrossRef]
- Huang, J.C.; Zhu, Z.K.; Yin, J.; Qian, X.F.; Sun, Y.Y. Poly(ether imide)/montmorillonite nanocomposites prepared by melt intercalation: Morphology, solvent resistance properties and thermal properties. Polymer 2001, 42, 873–877. [Google Scholar] [CrossRef]
- Tyan, H.-L.; Liu, Y.-C.; Wei, K.-H. Thermally and Mechanically Enhanced Clay/Polyimide Nanocomposite via Reactive Organoclay. Chem. Mater. 1999, 11, 1942–1947. [Google Scholar] [CrossRef]
- Morgan, A.B.; Gilman, J.W.; Jackson, C.L. Characterization of the Dispersion of Clay in a Polyetherimide Nanocomposite. Macromolecules 2001, 34, 2735–2738. [Google Scholar] [CrossRef]
- Agag, T.; Koga, T.; Takeichi, T. Studies on thermal and mechanical properties of polyimide–clay nanocomposites. Polymer 2001, 42, 3399–3408. [Google Scholar] [CrossRef]
- Mekuria, T.D.; Wogsato, T.A. Synthesis, characterization and properties of polyimide nanocomposite thin films reinforced with TiO2/Al2O3 hybrid nanoparticles Tadele Daniel Mekuria a,b,*, Tsion Amsalu Wogsato. Mater. Today Commun. 2022, 32, 103903. [Google Scholar] [CrossRef]
- Ogbonna, V.E.; Popoola, P.I.; Popoola, O.M.; Adeosun, S.O. Recent advances in the development and characterization of TiO2 reinforced polyimide nanocomposites for advanced engineering material applications: A review. Polym. Plast. Technol. Mater. 2023, 62, 2073–2093. [Google Scholar] [CrossRef]
- Beheshti, K.A.; Yousefi, M. Magnetic and microwave absorption of BaMgxZrxFe12−2xO19 polyaniline nanocomposites. J. Alloys Compd. 2021, 859, 157861. [Google Scholar] [CrossRef]
- Raju, P.; Neelima, P.; Rani, G.N.; Kanakadurga, M. Enhanced microwave absorption properties of Ni0.48Cu0.12Zn0.4Fe2O4 + polyaniline nanocomposites. J. Phys. Chem. Solids 2021, 154, 110048. [Google Scholar] [CrossRef]
- Jiaoa, Z.; Yaoa, Z.; Zhoua, J.; Qiana, K.; Leia, Y.; Weia, B. Enhanced microwave absorption properties of Nd-doped NiZn ferrite/polyaniline nanocomposites. Ceram. Int. 2020, 46, 25405–25414. [Google Scholar] [CrossRef]
- Bavatharani, C.; Muthusankar, E.; Wabaidur, S.M.; Alothman, Z.A.; Alsheetan, K.M.; AL-Anazy, M.; DRagupathy, D. Electrospinning technique for production of polyaniline nanocomposites/nanofibres for multi-functional applications: A review. Synth. Met. 2021, 271, 116609. [Google Scholar] [CrossRef]
- Lalegül-Ulker, O.; Elcin, Y.M. Magnetic and electrically conductive silica-coated iron oxide/polyaniline nanocomposites for biomedical applications. Mater. Sci. Eng. C 2021, 119, 111600. [Google Scholar] [CrossRef] [PubMed]
- Gautam, K.P.; Acharya, D.; Bhatta, I.; Subedi, V.; Das, M.; Neupane, S.; Kunwar, J.; Chhetri, K.; Yadav, A.P. Nickel Oxide-Incorporated Polyaniline Nanocomposites as an Efficient Electrode Material for Supercapacitor Application. Inorganics 2022, 10, 86. [Google Scholar] [CrossRef]
- Gu, A.; Kuo, S.W.; Chang, F.C. Syntheses and properties of PI/clay hybrids. J. Appl. Polym. Sci. 2001, 79, 1902–1910. [Google Scholar] [CrossRef]
- Iwamoto, M.; Fukuda, A.; Itoh, E. Spatial distribution of charges in ultrathin polyimide Langmuir–Blodgett films. J. Appl. Phys. 1994, 75, 1607–1610. [Google Scholar] [CrossRef]
- Kang, E.T.; Neoh, K.G.; Khor, S.H.; Tan, K.L.; Tan, B.T.G. X.p.s. studies of charge transfer interactions in some polyaniline complexes. Polymer 1990, 31, 202–207. [Google Scholar] [CrossRef]
- Tyan, H.; Liu, Y.; Wei, K. Enhancement of imidization of poly(amic acid) through forming poly(amic acid)/organoclay nanocomposites. Polymer 1999, 40, 4877–4886. [Google Scholar] [CrossRef]
- Wada, Y.; Kasahara, T. Relation between impact strength and dynamic mechanical properties of plastics. J. Appl. Polym. Sci. 1967, 11, 1661–1665. [Google Scholar] [CrossRef]
- Longun, J.; Iroh, J.O. Polyimide/substituted polyaniline-copolymer-nanoclay composite thin films with high damping abilities. J. Appl. Polym. Sci. 2012, 128, 1425–1435. [Google Scholar] [CrossRef]















| Composition (wt.%) | Transmittance (%) @ l = 500 nm | Transmittance (%) @ l = 1000 nm |
|---|---|---|
| 0 | 36 | 85 |
| 1 | 20 | 80 |
| 2 | 12 | 66 |
| 5 | 3 | 42 |
Disclaimer/Publisher’s Note: The statements, opinions and data contained in all publications are solely those of the individual author(s) and contributor(s) and not of MDPI and/or the editor(s). MDPI and/or the editor(s) disclaim responsibility for any injury to people or property resulting from any ideas, methods, instructions or products referred to in the content. |
© 2023 by the authors. Licensee MDPI, Basel, Switzerland. This article is an open access article distributed under the terms and conditions of the Creative Commons Attribution (CC BY) license (https://creativecommons.org/licenses/by/4.0/).
Share and Cite
Longun, J.; Iroh, J.O. Fabrication of High Impact-Resistant Polyimide Nanocomposites with Outstanding Thermomechanical Properties. Polymers 2023, 15, 4427. https://doi.org/10.3390/polym15224427
Longun J, Iroh JO. Fabrication of High Impact-Resistant Polyimide Nanocomposites with Outstanding Thermomechanical Properties. Polymers. 2023; 15(22):4427. https://doi.org/10.3390/polym15224427
Chicago/Turabian StyleLongun, Jimmy, and Jude O. Iroh. 2023. "Fabrication of High Impact-Resistant Polyimide Nanocomposites with Outstanding Thermomechanical Properties" Polymers 15, no. 22: 4427. https://doi.org/10.3390/polym15224427
APA StyleLongun, J., & Iroh, J. O. (2023). Fabrication of High Impact-Resistant Polyimide Nanocomposites with Outstanding Thermomechanical Properties. Polymers, 15(22), 4427. https://doi.org/10.3390/polym15224427

