Photocurable High-Energy Polymer-Based Materials for 3D Printing
Abstract
:1. Introduction
2. Materials and Methods
2.1. Development and Investigation of Photocurable Slurry
2.2. 3D Printing
2.3. Characterization
3. Results
3.1. Polymerization Parameters of the Photocurable Slurry
3.2. 3D Printing and Investigation of HEMs
3.3. Thermogravimetric Analysis and Burning Rates
4. Discussion
5. Conclusions
- (1)
- The obtained AP-filled (70 wt.%) UV-curable urethane dimethacrylate-based slurry is suitable for DLP 3D printing of HEM structures;
- (2)
- The curing parameters of the obtained slurry significantly depend on the AP powder dispersity. Thus, for the bidisperse AP-based slurry, Dp = 426.1 µm, and for the fine-grained (~50 µm) AP-based slurry, Dp = 287.4 µm. The curing depth of the obtained slurries increases compared to the initial resin due to the transparency of the AP particles to the UV light;
- (3)
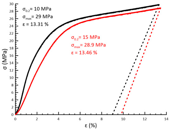
- The obtained 3D-printed samples filled with bidisperse AP powder withstand compressive strength up to 29 ± 3 MPa and tensile strength up to 13 ± 1.3 MPa. The compressive deformation without fracture reaches up to 13%, while maximum tensile elongation reaches only 3%;
- (4)
- According to TGA/DSC curves, the obtained HEM possessed high exothermicity with the shift of the start of the thermal decomposition reactions of the slurry to the lower temperatures compared to the initial AP powder and photocurable resin separately;
- (5)
- The burning process of 3D-printed samples filled with bidisperse AP powder was uniform and stable, without failure or extinction. At the pressure growth from 0.1 to 4 MPa, the burning rate increased from 0.74 to 3.68 mm/s, respectively.
Author Contributions
Funding
Institutional Review Board Statement
Data Availability Statement
Acknowledgments
Conflicts of Interest
References
- El-Sayed, A.F. Fundamentals of Aircraft and Rocket Propulsion; Springer: London, UK, 2018; ISBN 9781447173939. [Google Scholar]
- Bailey, A.; Murray, S.G. Explosives, Propellants, and Pyrotechnics; Wiley: Hoboken, NJ, USA, 2000; pp. 79–80. [Google Scholar]
- Chaturvedi, S.; Dave, P.N. Solid Propellants: AP/HTPB Composite Propellants. Arab. J. Chem. 2019, 12, 2061–2068. [Google Scholar] [CrossRef]
- Creech, M. 3D Printer for Paraffin Based Hybrid Rocket Fuel Grains. In Proceedings of the 53rd AIAA Aerospace Sciences Meeting, Kissimmee, FL, USA, 5–9 January 2015. [Google Scholar]
- Chandru, R.A. Additive Manufacturing of Solid Rocket Propellant Grains. J. Propuls. Power. 2018, 34, 1090–1093. [Google Scholar] [CrossRef]
- Monogarov, K.A.; Fomenkov, I.V.; Pivkina, A.N. FDM 3D Printing of Combustible Structures: First Results. Mendeleev Commun. 2022, 32, 228–230. [Google Scholar] [CrossRef]
- Muravyev, N.V.; Monogarov, K.A.; Schaller, U.; Fomenkov, I.V.; Pivkina, A.N. Progress in Additive Manufacturing of Energetic Materials: Creating the Reactive Microstructures with High Potential of Applications. Propellants Explos. Pyrotech. 2019, 44, 941–969. [Google Scholar] [CrossRef]
- Ruz-Nuglo, F.D.; Groven, L.J. 3-D Printing and Development of Fluoropolymer Based Reactive Inks, Adv. Adv. Eng. Mater 2018, 20, 1700390. [Google Scholar] [CrossRef]
- Gunduz, I.E.; McClain, M.S.; Cattani, P.; Chiu, G.T.-C.; Rhoads, J.F.; Son, S.F. 3D Printing of Extremely Viscous Materials Using Ultrasonic Vibrations. Addit. Manuf. 2018, 22, 98–103. [Google Scholar] [CrossRef]
- McClain, M.C.; Gunduz, I.E.; Son, S.F. Additive Manufacturing of Ammonium Perchlorate Composite Propellant with High Solids Loadings. Proc. Combust. Inst. 2019, 37, 3135–3142. [Google Scholar] [CrossRef]
- Straathof, M.H.; Driel, C.A.; Lingen, J.N.J.; Ingenhut, B.L.J.; Cate, A.T.; Maalderink, H.H. Development of Propellant Compositions for Vat Photopolymerization Additive Manufacturing. Propellants Explos. Pyrotech. 2020, 45, 36–52. [Google Scholar] [CrossRef]
- Li, M.; Yang, W.; Xu, M.; Hu, R.; Zheng, L. Study of Photocurable Energetic Resin Based Propellants Fabricated by 3D Printing. Mater. Des. 2021, 207, 109891. [Google Scholar] [CrossRef]
- Garino, S.; Antonaci, P.; Pastrone, D.; Sangermano, M.; Maggi, F. Photo-Polymerization for Additive Manufacturing of Composite Solid Propellants. Acta Astronaut. 2021, 182, 58–65. [Google Scholar]
- Sevilia, S.; Yong, M.; Grinstein, D.; Gottlieb, L.; Eichen, Y. Novel, Printable Energetic Polymers. Macromol. Mater. Eng. 2019, 304, 1900018. [Google Scholar]
- Beckstead, M.W. A Model for Solid Propellant Combustion. Symp. Int. Combust. 1981, 18, 175–185. [Google Scholar] [CrossRef]
- Gadiot, G.M.H.J.L.; Mul, J.M.; Meulenbrugge, J.J.; Korting, P.A.O.G.; Schnorkh, A.J.; Schöyer, H.F.R. New Solid Propellants Based on Energetic Binders and HNF. Acta Astronaut. 1993, 29, 771–779. [Google Scholar] [CrossRef]
- Steyrer, B.; Busetti, B.; Harakály, G.; Liska, R.; Stampfl, J. Hot Lithography vs. Room Temperature DLP 3D-Printing of a Dimethacrylate. Addit. Manuf. 2018, 21, 209–214. [Google Scholar] [CrossRef]
- Zabti, M.M.; Abid, M.E.M.; Nwir, M.A. Effects on Dimensional Accuracy of Microstereolithographically Machined Parts after Addition of Light Absorber; Misrata University: Misrata, Libya, 2015. [Google Scholar]
- Zhang, X.; Jiang, X.N.; Sun, C. Micro-Stereolithography of Polymeric and Ceramic Microstructures. Sens. Actuators A Phys. 1999, 77, 149–156. [Google Scholar] [CrossRef]
- Sun, C.; Fang, N.; Wu, D.M.; Zhang, X. Projection Micro-Stereolithography Using Digital Micro-Mirror Dynamic Mask. Sens. Actuators A Phys. 2005, 121, 113–120. [Google Scholar] [CrossRef]
- Arkhipov, V.A.; Gorbenko, M.V.; Gorbenko, T.I.; Savel’eva, L.A. Effect of Ultrafine Aluminum on the Combustion of Composite Solid Propellants at Subatmospheric Pressures. Combust. Explos. Shock Waves 2009, 45, 40–47. [Google Scholar] [CrossRef]
- Lajoie, J.; Blocker, J.; Sippel, T. Rheological, Ballistic, and Mechanical Properties of 3D Printed, Photocured Composite Propellants. J. Propuls. Power 2023, 1–9. [Google Scholar] [CrossRef]















| Parameter | Base Layer | Other Layers |
|---|---|---|
| UV source power, mW/cm2 | 6.5 | 6.5 |
| Curing time, s | 60 | 30 |
| Layer thickness, µm | 250 | 250 |
Disclaimer/Publisher’s Note: The statements, opinions and data contained in all publications are solely those of the individual author(s) and contributor(s) and not of MDPI and/or the editor(s). MDPI and/or the editor(s) disclaim responsibility for any injury to people or property resulting from any ideas, methods, instructions or products referred to in the content. |
© 2023 by the authors. Licensee MDPI, Basel, Switzerland. This article is an open access article distributed under the terms and conditions of the Creative Commons Attribution (CC BY) license (https://creativecommons.org/licenses/by/4.0/).
Share and Cite
Tkachev, D.; Dubkova, Y.; Zhukov, A.; Verkhoshanskiy, Y.; Vorozhtsov, A.; Zhukov, I. Photocurable High-Energy Polymer-Based Materials for 3D Printing. Polymers 2023, 15, 4252. https://doi.org/10.3390/polym15214252
Tkachev D, Dubkova Y, Zhukov A, Verkhoshanskiy Y, Vorozhtsov A, Zhukov I. Photocurable High-Energy Polymer-Based Materials for 3D Printing. Polymers. 2023; 15(21):4252. https://doi.org/10.3390/polym15214252
Chicago/Turabian StyleTkachev, Dmitrii, Yana Dubkova, Alexander Zhukov, Yanis Verkhoshanskiy, Alexander Vorozhtsov, and Ilya Zhukov. 2023. "Photocurable High-Energy Polymer-Based Materials for 3D Printing" Polymers 15, no. 21: 4252. https://doi.org/10.3390/polym15214252
APA StyleTkachev, D., Dubkova, Y., Zhukov, A., Verkhoshanskiy, Y., Vorozhtsov, A., & Zhukov, I. (2023). Photocurable High-Energy Polymer-Based Materials for 3D Printing. Polymers, 15(21), 4252. https://doi.org/10.3390/polym15214252

