Synthesis and Photocatalytic Activity of Novel Polycyclopentadithiophene
Abstract
:1. Introduction
2. Materials and Methods
2.1. Materials
2.2. Compounds
2.2.1. Bis(2-iode-3-thienyl)methanol (3)
2.2.2. Bis(2-iodo-3-thienyl)ketone (4)
2.2.3. 4H-Cyclopenta[2,1-b:3,4-b′]dithiophen-4-one (5)
2.2.4. 4H-Cyclopenta[2,1-b:3,4-b′]dithiophene (CPDT)
2.2.5. 2,2′-(((4H-Cyclopenta[2,1-b:3,4-b′]dithiophene-4,4-diyl)bis(ethane-2,1-diyl))bis(oxy)) bis(tetrahydro-2H-pyran) (CPDT-OTHP)
2.2.6. 2,2′-(4H-Cyclopenta[2,1-b:3,4-b′]dithiophene-4,4-diyl)bis(ethan-1-ol) (CPDT-OH)
2.2.7. 4,4′-(((4H-Cyclopenta[2,1-b:3,4-b′]dithiophene-4,4-diyl)bis(ethane-2,1-diyl))bis(oxy)) bis(4-oxobutanoic acid) (CPDT-CO2H)
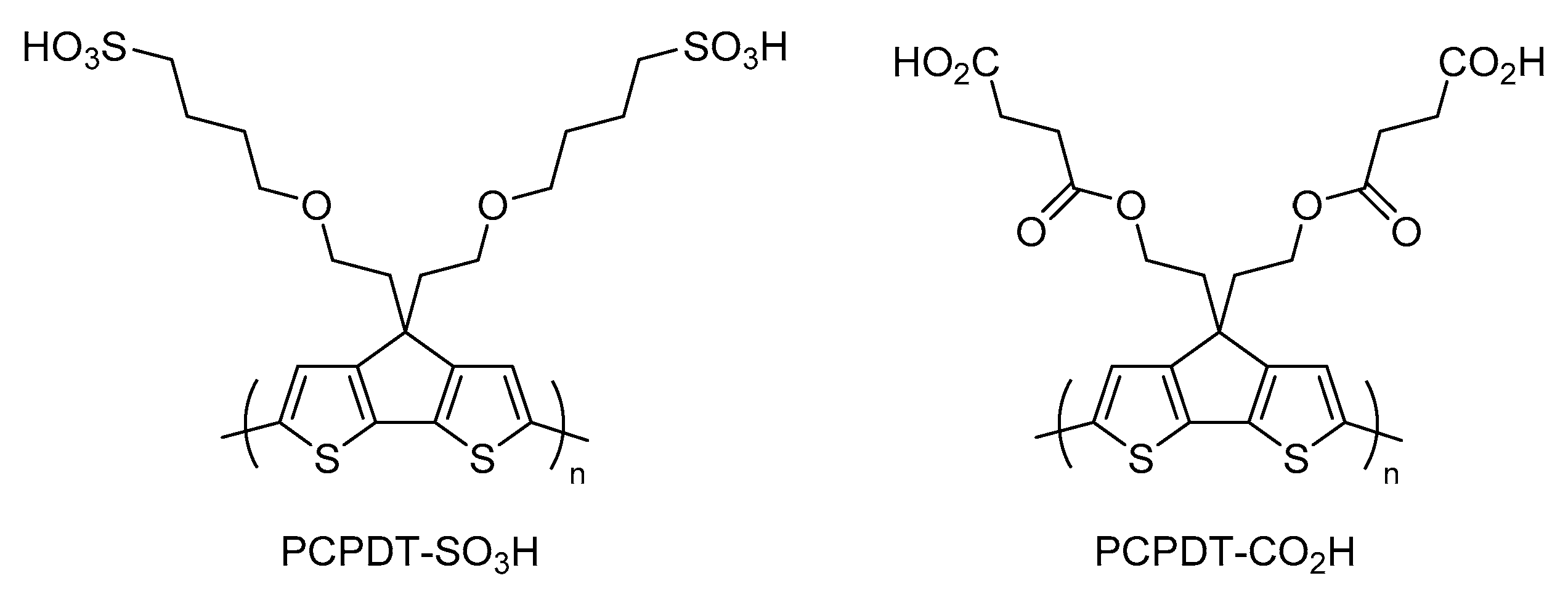
2.2.8. Poly(4,4′-(((4H-cyclopenta[2,1-b:3,4-b′]dithiophene-4,4-diyl)bis(ethane-2,1-diyl))bis (oxy))bis(4-oxobutanoic acid)) (PCPDT-CO2H)
2.3. Hydroxy Radical Detection
2.4. Photocatalytic Oxidative Hydroxylation of 1,4-Phenylenediboronic Acid
2.5. Photocatalytic Oxidation of Benzaldehyde
2.6. Measurements
3. Results and Discussion
3.1. Preparation of PCPDT-CO2H
3.2. Generation of Hydroxyl Radical
3.3. Oxidative Hydroxylation of 1,4-Phenylenediboronic Acid
3.4. Oxidation of Benzaldehyde
4. Conclusions
Author Contributions
Funding
Institutional Review Board Statement
Data Availability Statement
Acknowledgments
Conflicts of Interest
References
- Hoffman, M.R.; Martin, S.T.; Choi, W.; Bahnemann, D.W. Environmental Applications of Semiconductor Photocatalysis. Chem. Rev. 1995, 95, 69–96. [Google Scholar] [CrossRef]
- Cao, L.; Spiess, F.; Huang, A.; Suib, S.L.; Obee, T.N.; Hay, S.O.; Freihaut, J.D. Heterogeneous Photocatalytic Oxidation of 1-Butene on SnO2 and TiO2 Film. J. Phys. Chem. B 1999, 103, 2912–2917. [Google Scholar] [CrossRef]
- Muggli, D.S.; Falconer, J.L. Parallel Pathways for Photocatalytic Decomposition of Acetic Acid on TiO2. J. Catal. 1999, 187, 230–237. [Google Scholar] [CrossRef]
- Soana, F.; Strini, M.; Cermenati, L.; Albini, A. Titanium Dioxide Photocatalyzed Oxygenation of Naphthalene and Some of Its Derivatives. J. Chem. Soc. Perkin Trans. 2000, 2, 699–704. [Google Scholar] [CrossRef]
- Theurich, J.; Bahnemann, D.W.; Vogel, R.; Dhamed, F.E.; Alhakimi, G.; Rajab, I. Photocatalytic Degradation of Naphthalene and Anthracene: GC-MS Analysis of the Degradation Pathway. Res. Chem. Intermed. 1997, 23, 247–274. [Google Scholar] [CrossRef]
- Honda, K. Fujishima, Electrochemical Photolysis of Water at a Semiconductor Electrode. Nature 1972, 238, 37–38. [Google Scholar]
- Zou, Z.; Ye, J.; Sayama, K.; Arakawa, H. Direct Splitting of Water under Visible light Irradiation with an Oxide Semiconductor Photocatalyst. Nature 2001, 414, 625–627. [Google Scholar] [CrossRef]
- Ohno, T.; Haga, D.; Fujihara, K.; Kaizaki, K.; Matsumura, M. Unique Effects of Iron(III) Ions on Photocatalytic and Photoelectrochemical Properties of Titanium Dioxide. J. Phys. Chem. B 1997, 101, 6415–6419. [Google Scholar] [CrossRef]
- Fujihara, K.; Ohno, T.; Matsumura, M. Splitting of Water by Electrochemical Combination of Two Photocatalytic Reactions on TiO2 Particles. J. Chem. Soc. Faraday Trans. 1998, 94, 3705–3709. [Google Scholar] [CrossRef]
- Bard, A.J.; Fox, M.A. Artificial Photosynthesis: Solar Splitting of Water to Hydrogen and Oxygen. Acc. Chem. Res. 1995, 28, 141–145. [Google Scholar] [CrossRef]
- Tanaka, T.; Furumi, Y.; Shinohara, K.; Tanaka, A.; Hara, M.; Kondo, J.N.; Domen, K. Photocatalytic Decomposition of Water on Spontaneously Hydrated Layered Perovskites. Chem. Mater. 1997, 9, 1063–1064. [Google Scholar]
- Yanagida, S.; Ishimaru, Y.; Miyake, Y.; Shiragami, T.; Pac, C.; Hashimoto, K.; Sakata, T. Semiconductor Photocatalysis. 8. Zinc Sulfide-Catalyzed Photoreduction of Aldehydes and Related Derivatives: Two-Electron-Transfer Reduction and Relationship with Spectroscopic Properties. J. Phys. Chem. 1989, 93, 2576–2582. [Google Scholar] [CrossRef]
- Ohtani, B.; Kawaguchi, J.; Kozawa, M.; Nishimoto, S.; Inui, T.; Izawa, K. Photocatalytic Racemization of Amino Acids in Aqueous Polycrystalline Cadmium(II) Sulfide Dispersions. J. Chem. Soc. Faraday Trans. 1995, 91, 1103–1109. [Google Scholar] [CrossRef]
- Cermenati, L.; Richter, C.; Albini, A. Solar Light Induced Carbon–Carbon Bond Formation via TiO2 Photocatalysis. Chem. Commun. 1998, 1998, 805–806. [Google Scholar] [CrossRef]
- Ohno, T.; Kigoshi, T.; Nakabeya, K.; Matsumura, M. Stereospecific Epoxidation of 2-Hexene with Molecular Oxygen on Photoirradiated Titanium Dioxide Powder. Chem. Lett. 1998, 27, 877–878. [Google Scholar] [CrossRef]
- Ohno, T.; Nakabeya, K.; Matsumura, M. Epoxidation of Olefins on Photoirradiated Titanium Dioxide Powder Using Molecular Oxygen as an Oxidant. J. Catal. 1998, 176, 76–81. [Google Scholar] [CrossRef]
- Jia, J.; Ohno, T.; Masaki, Y.; Matsumura, M. Dihydroxylation of Naphthalene by Molecular Oxygen and Water Using TiO2 Photocatalysts. Chem. Lett. 1999, 28, 963–964. [Google Scholar] [CrossRef]
- Jia, J.; Ohno, T.; Matsumura, M. Efficient Dihydroxylation of Naphthalene on Photoirradiated Rutile TiO2 Powder in Solution Containing Hydrogen Peroxide. Chem Lett. 2000, 29, 908–909. [Google Scholar] [CrossRef]
- Fujishima, A.; Zhang, X.; Tryk, D.A. TiO2 and Related Surface Phenomena. Surf. Sci. Rep. 2008, 63, 515–582. [Google Scholar] [CrossRef]
- Robert, D.; Malato, S. Solar Photocatalysis: A Clean Process for Water Detoxification. Sci. Total Environ. 2002, 291, 85–97. [Google Scholar] [CrossRef]
- Kitano, M.; Matsuoka, M.; Ueshima, M.; Anpo, M. Recent Development in Titanium Oxide-Based Photocatalysts. Appl. Catal. A Gen. 2007, 325, 1–14. [Google Scholar] [CrossRef]
- Rehman, S.; Ullah, R.; Butt, A.M.; Gohar, N.D. Strategies of Making TiO2 and ZnO Visible Light Active. J. Hazard. Mater. 2009, 170, 560–569. [Google Scholar] [CrossRef] [PubMed]
- Etacheri, V.; Valentin, C.D.; Schneider, J.; Bahnemann, D. Visible-Light Activation of TiO2 Photocatalysts: Advances in Theory and Experiments. J. Photochem. Photobiol. C Photochem. Rev. 2015, 25, 1–29. [Google Scholar] [CrossRef]
- Fagan, R.; McCormack, D.E.; Dionysiou, D.D.; Pillai, S.C. A Review of Solar and Visible Light Active TiO2 Photocatalysts for Treating Bacteria, Cynotoxins and Contaminants of Emerging Concern. Mater. Sci. Semicond. Process. 2016, 42, 2–14. [Google Scholar] [CrossRef]
- Zhang, S.; Liu, Z.; Chen, D.; Guo, Z.; Ruan, M. Oxygen Vacancies Engineering in TiO2 Homojunction/ZnFe-LDH for Enhanced Photoelectrochemical Water Oxidation. Chem. Eng. J. 2020, 395, 125101. [Google Scholar] [CrossRef]
- Qin, Y.; Guo, Y.; Liang, Z.; Xue, Y.; Zhang, X.; Yang, L.; Tian, J. Au Nanorods Decorated TiO2 Nanobelts with Enhanced Full Solar Spectrum Photocatalytic Antibacterial Activity and The Sterilization File Cabinet Application. Chin. Chem. Lett. 2021, 32, 1523–1526. [Google Scholar] [CrossRef]
- Dong, G.; Zhang, Y.; Pan, Q.; Qiu, J. A Fantastic Graphitic Carbon Nitride (g-C3H4) Material: Electronic Structure, Photocatalytic and Photoelectronic Properties. J. Photochem. Photobiol. C Photochem. Rev. 2014, 20, 33–50. [Google Scholar] [CrossRef]
- Wen, J.; Xie, J.; Chen, X.; Li, X. A Review on g-C3N4-Based Photocatalysts. Appl. Surface Sci. 2017, 391, 72–123. [Google Scholar] [CrossRef]
- Ismael, M. A Review on Graphitic Carbon Nitride (g-C3N4) Based Nanocomposites: Synthesis, Categories, and Their Application in Photocatalysis. J. Alloys Compd. 2020, 846, 156446. [Google Scholar] [CrossRef]
- Luo, S.; Zeng, Z.; Zeng, G.; Liu, Z.; Xiao, R.; Xu, P.; Wang, H.; Huang, D.; Liu, Y.; Shao, B.; et al. Recent Advances in Conjugated Microporous Polymers for Photocatalysis: Designs, Applications, and Prospects. J. Mater. Chem. A 2020, 8, 6434–6470. [Google Scholar] [CrossRef]
- Qiao, S.; Di, M.; Jiang, J.X.; Han, B.H. Conjugated Porous Polymers for Photocatalysis: The Road from Catalytic Mechanism, Molecular Structure to Advanced Applications. EnergyChem 2022, 4, 100094. [Google Scholar] [CrossRef]
- Lee, J.S.M.; Cooper, A.I. Advances in Conjugated Microporous Polymers. Chem. Rev. 2020, 120, 2171–2214. [Google Scholar] [CrossRef] [PubMed]
- Han, C.; Xiang, S.; Ge, M.; Xie, P.; Zhang, C.; Jiang, J. An Efficient Electron Donor for Conjugated Microporous Polymer Photocatalysts with High Photocatalytic Hydrogen Evolution Activity. Small 2022, 18, 2202072. [Google Scholar] [CrossRef] [PubMed]
- Wang, Y.; Wang, L.; Liu, Z.; Ye, E.; Pan, J.H.; Guan, G.; Li, Z. Recent Progress in Near-Infrared Light-Harvesting Nanosystems for Photocatalytic Applications. Appl. Catal. A Gen. 2022, 644, 118836. [Google Scholar] [CrossRef]
- Yang, Y.; Tan, H.; Cheng, B.; Fan, J.; Yu, J.; Ho, W. Near-Infrared-Responsive Photocatalysts. Small Methods 2021, 5, 2001042. [Google Scholar] [CrossRef] [PubMed]
- Li, B.; Hu, Y.; Shen, Z.; Ji, Z.; Yao, L.; Zhang, S.; Zou, Y.; Tang, D.; Qing, Y.; Wang, S.; et al. Photocatalysis Driven by Near-Infrared Light: Materials Design and Engineering for Environmentally Friendly Photoreactions. ACS EST Eng. 2021, 1, 947–964. [Google Scholar] [CrossRef]
- Zotti, G.; Zecchin, S.; Schiavon, G.; Berlin, A.; Pagani, G.; Canavesi, A. Doping-Induced Ion-Exchange in the Highly Conjugated Self-Doped Polythiophene from Anodic Coupling of 4-(4H-Cyclopentadithiene-4-yl)butanesulfonate. Chem. Mater. 1997, 9, 2940–2944. [Google Scholar] [CrossRef]
- Zotti, G.; Zecchin, S.; Schavon, G.; Vercelli, B.; Berlin, A.; Porzio, W. Electrostatically Self-Assembled Multilayers of Novel Symmetrical Rigid-Rod Polyanionic and Polycationic Polythiophenes on ITO/Glass and Gold Electrodes. Chem. Mater. 2004, 16, 2091–2100. [Google Scholar] [CrossRef]
- Kumazawa, N.; Towatari, M.; Uno, T.; Itoh, T.; Kubo, M. Preparation of Self-Doped Conducting Polycyclopentadithiophene and Its Incorporation into Silica. J. Polym. Sci. Part A Polym. Chem. 2014, 52, 1376–1380. [Google Scholar] [CrossRef]
- Chayer, M.; Faïd, K.; Leclerc, M. Highly Conducting Water-Soluble Polythiophene Derivatives. Chem. Mater. 1997, 9, 2902–2905. [Google Scholar] [CrossRef]
- McCullough, R.D.; Ewbank, P.C.; Loewe, R.S. Self-Assembly and Disassembly of Regioregular, Water Soluble Polythiophenes: Chemoselective Ionchromatic Sensing in Water. J. Am. Chem. Soc. 1997, 119, 633–634. [Google Scholar] [CrossRef]
- Benincori, T.; Appoloni, G.; Mussini, P.R.; Arnaboldi, S.; Cirilli, R.; Procopio, E.Q.; Panigati, M.; Abbate, S.; Mazzeo, G.; Longhi, G. Searching for Models Exhibiting High Circularly Polarized Luminescence: Electroactive Inherently Chiral Oligothiophenes. Chem. Eur. J. 2018, 24, 11082–11093. [Google Scholar] [CrossRef] [PubMed]
- Drozdov, F.V.; Myshkovskaya, E.N.; Susarova, D.K.; Troshin, P.A.; Fominykh, O.D.; Balakina, M.Y.; Bakirov, A.V.; Shcherbina, M.A.; Choi, J.; Tondelier, D.; et al. Novel Cyclopentadithiophene-Based D-A Copolymers for Organic Photovoltaic Cell Applications. Macromol. Chem. Phys. 2013, 214, 2144–2156. [Google Scholar] [CrossRef]
- Gibson, G.L.; McCormick, T.M.; Seferos, D.S. Atomistic Band Gap Engineering in Donor-Acceptor Polymers. J. Am. Chem. Soc. 2012, 134, 539–547. [Google Scholar] [CrossRef] [PubMed]
- Pal, B.; Yen, W.-C.; Yang, J.-S.; Chao, C.-Y.; Hung, Y.-C.; Lin, S.-T.; Chuang, C.-H.; Chen, C.-W.; Su, W.-F. Substituent Effect on the Optoelectronic Properties of Alternating Fluorene-Cyclopentadithiophene Copolymers. Macromolecules 2008, 41, 6664–6671. [Google Scholar] [CrossRef]
- Toshima, N.; Hara, S. Direct Synthesis of Conducting Polymers from Simple Monomers. Prog. Polym. Sci. 1995, 20, 155–183. [Google Scholar] [CrossRef]
- Yoshimo, K.; Nakajima, S.; Sugimoto, R.I. Fusibility of Polythiophene Derivatives with Substituted Long Alkyl Chain and their Properties. Jpn. J. Appl. Phys. 1987, 23, 1038–1039. [Google Scholar] [CrossRef]
- Lai, F.; Wang, Y.; Li, D.; Sun, X.; Peng, J.; Zhang, X.; Tian, Y.; Liu, T. Visible Light-Driven Superoxide Generation by Conjugated Polymers for Organic Synthesis. Nano Res. 2018, 11, 1099–1108. [Google Scholar] [CrossRef]
- Luo, J.; Zhang, X.; Zhang, J. Carbazolic Porous Organic Framework as an Efficient, Metal-Free Visible-Light Photocatalyst for Organic Synthes. ACS Catal. 2015, 5, 2250–2254. [Google Scholar] [CrossRef]
- Wang, Z.J.; Li, R.; Landfester, K.; Zhang, K.A.I. Porous Conjugated Polymer via Metal-Free Synthesis for Visible Light-Promoted Oxidative Hydroxylation of Arylboronic Acids. Polymer 2017, 126, 291–295. [Google Scholar] [CrossRef]
- Tanaka, S.; Enoki, T.; Imoto, H.; Ooyama, Y.; Oshita, J.; Kato, T.; Naka, K. Highly Efficient Singlet Oxygen Generation and High Oxidation Resistance Enhanced by Arsole-Polymer-Based Photosensitizer: Application as a Recyclable Photooxidation Catalyst. Macromolecules 2020, 63, 2006–2013. [Google Scholar] [CrossRef]
- Martra, G.; Coluccia, S.; Marchese, L.; Augugliaro, V.; Loddo, V.; Palmisano, L.; Schiavello, M. The Role of H2O in the Photocatalytic Oxidation of Toluene in Vapour Phase on Anatase TiO2 Catalyst: A FTIR Study. Catal. Today 1999, 53, 695–702. [Google Scholar] [CrossRef]










| Composition (mol%) | ||||
|---|---|---|---|---|
| Entry | Reaction Conditions | 1 | 2 | 3 |
| 1 | normal 1 | 32 | 58 | 10 |
| 2 | w/o PCPDT-CO2H | 100 | 0 | 0 |
| 3 | in the dark | 100 | 0 | 0 |
| 4 | w/o Et3N | 100 | 0 | 0 |
| 5 | w/o O2 2 | 95 | 4 | 1 |
| 6 | w/radical scavenger 3 | 97 | 2 | 1 |
Disclaimer/Publisher’s Note: The statements, opinions and data contained in all publications are solely those of the individual author(s) and contributor(s) and not of MDPI and/or the editor(s). MDPI and/or the editor(s) disclaim responsibility for any injury to people or property resulting from any ideas, methods, instructions or products referred to in the content. |
© 2023 by the authors. Licensee MDPI, Basel, Switzerland. This article is an open access article distributed under the terms and conditions of the Creative Commons Attribution (CC BY) license (https://creativecommons.org/licenses/by/4.0/).
Share and Cite
Zulkifli, F.Z.A.; Ito, M.; Uno, T.; Kubo, M. Synthesis and Photocatalytic Activity of Novel Polycyclopentadithiophene. Polymers 2023, 15, 4091. https://doi.org/10.3390/polym15204091
Zulkifli FZA, Ito M, Uno T, Kubo M. Synthesis and Photocatalytic Activity of Novel Polycyclopentadithiophene. Polymers. 2023; 15(20):4091. https://doi.org/10.3390/polym15204091
Chicago/Turabian StyleZulkifli, Farah Zayanah Ahmad, Moeka Ito, Takahiro Uno, and Masataka Kubo. 2023. "Synthesis and Photocatalytic Activity of Novel Polycyclopentadithiophene" Polymers 15, no. 20: 4091. https://doi.org/10.3390/polym15204091
APA StyleZulkifli, F. Z. A., Ito, M., Uno, T., & Kubo, M. (2023). Synthesis and Photocatalytic Activity of Novel Polycyclopentadithiophene. Polymers, 15(20), 4091. https://doi.org/10.3390/polym15204091
