Synthetic Polyisoprene Rubber as a Mimic of Natural Rubber: Recent Advances on Synthesis, Nanocomposites, and Applications †
Abstract
1. Introduction
2. Polyisoprene Rubber
2.1. Polyisoprene Synthetic (IR) and Natural Rubber (NR)
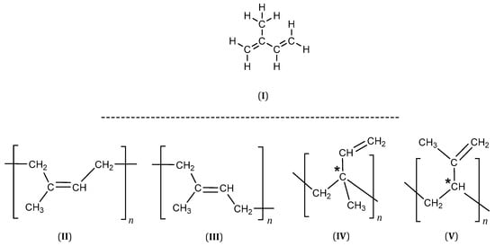
2.2. Structure and Isomers
2.3. Properties
2.4. Productions
| Manufacturer | Trade Names | Cat a | Cis/Trans Content | Mooney Viscosity b | Special Features | Ref. | |
|---|---|---|---|---|---|---|---|
| 1 | Hevea brasiliensis | NR | N/A | 99 cis | 112 | General purpose rubber | [37] |
| 2 | Goodyear Tire and Rubber, Akron, Ohio USA | Natsyn 2200 | Ti | 98 cis | 80 | Production of tires and other rubber products | [15] |
| 3 | Goodyear Tire and Rubber, Akron, Ohio, USA | Natsyn 2100 | Ti | 98 cis | 60 | General purpose rubber | [15] |
| 4 | Kraton Polymers, Houston, Texas, USA | Cariflex IR 307 | Li | 91 cis | N/A | Sensitive applications such as food contact, and pharmaceuticals, and adhesives | [38] |
| 5 | Kraton Polymers, Houston, Texas, USA | Cariflex IR 310 | Li | 91 cis | 40–53 | Sensitive applications such as food contact, pharmaceuticals, and adhesives | [38] |
| 6 | JCS Synthez-Kauchuk, Bashkortostan, Sterlitamak, Russia | SKI-3S | Ti | 98 cis | 72–84 | Medical articles, Pharmaceutical stoppers, gaskets, hoses, and transportation belts | [39] |
| 7 | JCS Synthez-Kauchuk, Bashkortostan, Sterlitamak, Russia | SKI-5PM group II | N/A | N/A | 66 | Pharmaceutical application | [39] |
| 8 | JCS Synthez- Kauchuk, Bashkortostan, Sterlitamak, Russia | SKI-5PM group I | N/A | N/A | 78 | Pharmaceutical application | [39] |
| 9 | Zeon, Chiyoda, Tokyo, Japan | Nippol 2200 | Ti | 98 cis | 82 | General purpose rubber | [40] |
| 10 | Zeon, Chiyoda, Tokyo, Japan | Nippol 2200 L | Ti | 98 cis | 70 | Medical articles | [40] |
| 11 | Versalis Eni, Milan, Lombardy, Italy | Europrene IP 80 | Li | N/A | 72 | Medical articles | [41] |
| 12 | Versalis Eni, Milan, Lombardy, Italy | Europrene SOL T 9133 c | Li | N/A | N/A | Hot-melt pressure-sensitive adhesives for labels or high-tack tapes | [41] |
| 13 | Sinopec, Pekin, China | SIS d | Li | N/A | N/A | Adhesives, plastic, and asphalt modifications | [42] |
| 15 | Rimpex, Xiamen, Fujian, China | TPI-I | V/Ti | 97 trans | 20 | Used as dispersion additives in granulation | [43] |
| 16 | Rimpex, Xiamen, Fujian, China | TPI-II | V/Ti | 97 trans | 20~40 | Good machining performance, generally used in medical materials | [43] |
| 17 | Rimpex, Xiamen, Fujian, China | TPI-III | V/Ti | 97 trans | 40~60 | Used in rubber products and shape-memory materials | [43] |
| 18 | Rimpex, Xiamen, Fujian, China | TPI-IV | V/Ti | 97 trans | 60~80 | Used in tires and shock absorption products | [43] |
2.5. General Applications
3. Preparation of Synthetic Polyisoprene
3.1. General Aspects
3.2. Polymerization of Isoprene
3.2.1. Polymerization of Isoprene Using a Ziegler–Natta Type Catalyst System
3.2.2. Polymerization of Isoprene Using Rare-Earth Compounds
3.2.3. Polymerization of Isoprene Using Alkali Metals
3.2.4. Polymerization of Isoprene Using an Alfin Catalyst
3.2.5. Polymerization of Isoprene Using a Metallocene Catalyst
4. Nanocomposites
4.1. Ceramic Matrix Nanocomposites (CMNs)
4.2. Metal Matrix Nanocomposites (MMNs)
4.3. Polymer Matrix Nanocomposites (PMNs)
4.4. Rubber Matrix Nanocomposites (RMNs)
5. Preparation of Synthetic Polyisoprene Rubber Nanocomposites (IR Nanocomposites)
- In situ polymerization;
- Solution blending (solution intercalation);
- Melt compounding (melt intercalation);
- Sol–gel method;
- Latex compounding.
5.1. Methods for the Synthesis of Nanocompounds
5.1.1. In Situ Polymerization
5.1.2. Solution Blending
5.1.3. Melt Compounding (Melt Intercalation)
5.1.4. Sol–Gel Method
5.1.5. Latex Compounding
5.2. Improvements and Applications of Polyisoprene Rubber and Natural Rubber Nanocomposites
| Entry | Rubber | Nanocomposite Filler (%) | Vulcanized | Properties | Ref. | |||
|---|---|---|---|---|---|---|---|---|
| Tensile Strength (MPa) | Strain Max. (%) | Hardness (Shore A) | Thermal Decomposition (°C) | |||||
| 1 | NR | -- | -- | 5.9 | 780 | -- | -- | [4] |
| 2 | IR | -- | -- | 0.1 | 480 | -- | -- | |
| 3 | IR | nano PS (graf) | -- | 3.9 | 700 | -- | -- | |
| 4 | NR | -- | √ | 34.5 | 550 | -- | -- | |
| 5 | IR | -- | √ | 27 | 650 | -- | -- | |
| 6 | IR | nano PS (graf) | √ | 35.2 | 600 | -- | -- | |
| 7 | TPI | -- | √ | 8 | 350 | -- | 343 | [112] |
| 8 | TPI | GO (1%) | √ | 20 | 280 | -- | 352 | |
| 9 | NR | -- | √ | 15.1 | 995 | -- | 385 | [110] |
| 10 | NR | Silica SiO2 (4%) | √ | 26.3 | 730 | -- | 395.4 | |
| 11 | NR | -- | 4.25 | >700 | 28.8 | -- | [135] | |
| 12 | NR | MMT (10%) | √ | 3.6 | 555 | 20.7 | -- | |
| 13 | NR | OMMT (10%) | √ | 15.0 | 700 | 43.5 | -- | |
| 14 | NR | CB (10%) | √ | 4.93 | 464 | 30.5 | -- | |
| 15 | NR | -- | √ | 15.45 | 592 | 46 | 374 | |
| 16 | NR | AT (1%) | √ | 23.27 | 432 | 50 | 393 | [136] |
6. Conclusions
Author Contributions
Funding
Institutional Review Board Statement
Data Availability Statement
Acknowledgments
Conflicts of Interest
References
- Ikeda, Y.; Kato, A.; Kohjiya, S.; Nakajima, Y. Rubber Science; Springer: Singapore, 2018. [Google Scholar]
- Kaita, S.; Doi, Y.; Kaneko, K.; Horiuchi, A.C.; Wakatsuki, Y. An Efficient Gadolinium Metallocene-Based Catalyst for the Synthesis of Isoprene Rubber with Perfect 1,4-Cis Microstructure and Marked Reactivity Difference between Lanthanide Metallocenes toward Dienes As Probed by Butadiene−Isoprene Copolymerization Catalysis. Macromolecules 2004, 37, 5860–5862. [Google Scholar] [CrossRef]
- Gent, A.N.; Kawahara, S.; Zhao, J. Crystallization and Strength of Natural Rubber and Synthetic cis-1,4-Polyisoprene. Rubber Chem. Technol. 1998, 71, 668–678. [Google Scholar] [CrossRef]
- Kawahara, S.; Nishioka, H.; Yamano, M.; Yamamoto, Y. Synthetic Rubber with the Tensile Strength of Natural Rubber. ACS Appl. Polym. Mater. 2022, 4, 2323–2328. [Google Scholar] [CrossRef]
- Kawahara, S.; Chaikumpollert, O.; Akabori, K.; Yamamoto, Y. Morphology and properties of natural rubber with nanomatrix of non-rubber components. Polym. Adv. Technol. 2010, 22, 2665–2667. [Google Scholar] [CrossRef]
- Hosler, D.; Burkett, S.L.; Tarkanian, M.J. Prehistoric Polymers: Rubber Processing in Ancient Mesoamerica. Science 1999, 284, 1988–1991. [Google Scholar] [CrossRef]
- Bode, H.B.; Kerkhoff, K.; Jendrossek, D. Bacterial Degradation of Natural and Synthetic Rubber. Biomacromolecules 2001, 2, 295–303. [Google Scholar] [CrossRef]
- Rose, K.; Steinbuchel, A. Biodegradation of Natural Rubber and Related Compounds: Recent Insights into a Hardly Understood Catabolic Capability of Microorganisms. Appl. Environ. Microbiol. 2005, 71, 2803–2812. [Google Scholar] [CrossRef] [PubMed]
- Reyes-Gómez, S.; Montiel, R.; Tlenkopatchev, M.A. Chicle Gum from sapodilla (Manilkara zapota) as a Renewable Resource for Metathesis Transformations. J. Mex. Chem. Soc. 2018, 62, 1–15. [Google Scholar] [CrossRef]
- Bhowmick, A.K.; Stephens, H. Handbook of Elastomers, 2nd ed.; CRC Press: New York, NY, USA, 2000. [Google Scholar]
- Cornish, K. Hypoallergenic Natural Rubber Products from Parthenum Argentatum (Gray) and Other Non-Hevea Brasiliensis Species. United States Patent US5580942, 3 December 1996. [Google Scholar]
- Schoenberg, E.; Marsh, H.A.; Walters, S.J.; Saltman, W.M. Polyisoprene. Rubber Chem. Technol. 1979, 52, 526–604. [Google Scholar] [CrossRef]
- Ricci, G.; Leone, G.; Boglia, A.; Boccia, A.C.; Zetta, L. cis-1,4-alt-3,4 Polyisoprene: Synthesis and Characterization. Macromolecules 2009, 42, 9263–9267. [Google Scholar] [CrossRef]
- Van Amerongen, G.J. Transition Metal Catalyst Systems for Polymerizing Butadiene and Isoprene. In Elastomer Stereospecific Polymerization; Johnson, B.L., Goodman, M., Eds.; American Chemical Society (ACS): Washington, DC, USA, 1966; Volume 52, pp. 136–152. [Google Scholar]
- Polybutadiene Rubber (BR) Product Details | Goodyear Chemical. Available online: https://www.goodyearchemical.com/products/polybutadiene-rubber (accessed on 7 June 2023).
- Stavely, F.W.; Biddison, P.H.; Forster, M.J.; Dawson, H.G.; Binder, J.L. The Structure of Various Natural Rubbers. Rubber Chem. Technol. 1961, 34, 423–432. [Google Scholar] [CrossRef]
- Thiele, S.K.-H.; Wilson, D.R. Alternate Transition Metal Complex Based Diene Polymerization. J. Macromol. Sci. Part C Polym. Rev. 2003, 43, 581–628. [Google Scholar] [CrossRef]
- Osakada, K.; Takeuchi, D. Coordination Polymerization of Dienes, Allenes, and Methylenecycloalkanes. In Polymer Synthesis. Advances in Polymer Science; Springer: Berlin/Heidelberg, Germany, 2004; Volume 171, pp. 137–194. [Google Scholar]
- Fischbach, A.; Meermann, C.; Eickerling, G.; Scherer, W.; Anwander, R. Discrete Lanthanide Aryl(alk)oxide Trimethylaluminum Adducts as Isoprene Polymerization Catalysts. Macromolecules 2006, 39, 6811–6816. [Google Scholar] [CrossRef]
- Song, J.-S.; Huang, B.-C.; Yu, D.-S. Progress of synthesis and application oftrans-1,4-polyisoprene. J. Appl. Polym. Sci. 2001, 82, 81–89. [Google Scholar] [CrossRef]
- Natta, G.; Porri, L.; Giorgio, M. Crystalline Linear High Polymers of Diolefins. Italy Patent IT536631, 7 December 1955. [Google Scholar]
- Ricci, G.; Italia, S.; Porri, L. Polymerization of 1,3-dienes with methylaluminoxanetriacetylacetonatovanadium. Macromol. Chem. Phys. 1994, 195, 1389–1397. [Google Scholar] [CrossRef]
- Bazzini, C.; Giarrusso, A.; Porri, L.; Pirozzi, B.; Napolitano, R. Synthesis and characterization of syndiotactic 3,4-polyisoprene prepared with diethylbis(2,2′-bipyridine)iron–MAO. Polymer 2004, 45, 2871–2875. [Google Scholar] [CrossRef]
- Bazzini, C.; Giarrusso, A.; Porri, L. Diethylbis(2,2′-bipyridine)iron/MAO. A Very Active and Stereospecific Catalyst for 1,3-Diene Polymerization. Macromol. Rapid Commun. 2002, 23, 922–927. [Google Scholar] [CrossRef]
- Ricci, G.; Morganti, D.; Sommazzi, A.; Santi, R.; Masi, F. Polymerization of 1,3-dienes with iron complexes based catalysts Influence of the ligand on catalyst activity and stereospecificity. J. Mol. Catal. A Chem. 2003, 204–205, 287–293. [Google Scholar] [CrossRef]
- Wang, B.; Cui, D.; Lv, K. Highly 3,4-Selective Living Polymerization of Isoprene with Rare Earth Metal Fluorenyl N-Heterocyclic Carbene Precursors. Macromolecules 2008, 41, 1983–1988. [Google Scholar] [CrossRef]
- Zhang, L.; Luo, Y.; Hou, Z. Unprecedented Isospecific 3,4-Polymerization of Isoprene by Cationic Rare Earth Metal Alkyl Species Resulting from a Binuclear Precursor. J. Am. Chem. Soc. 2005, 127, 14562–14563. [Google Scholar] [CrossRef]
- Ricci, G.; Battistella, M.; Porri, L. Chemoselectivity and Stereospecificity of Chromium(II) Catalysts for 1,3-Diene Polymerization. Macromolecules 2001, 34, 5766–5769. [Google Scholar] [CrossRef]
- Kuzma, L.J. Polybutadiene and Polyisoprene Rubbers. In Rubber Technology, 3rd ed.; Morton, M., Ed.; Springer: Dordrecht, The Netherlands, 1999; pp. 235–259. [Google Scholar]
- Fried, J.R. Biopolymers, Natural Polymers, and Fibers. In Polymer Science & Technology, 3rd ed.; Prentice Hall, Ed.; Pearson Education: Boston, MA, USA, 2014; pp. 331–359. [Google Scholar]
- Malaysian Rubber Council. Available online: https://www.myrubbercouncil.com/industry/world_production.php (accessed on 8 June 2023).
- Statista. Rubber–Statistics & Facts. 2023. Available online: https://www.statista.com/topics/3268/rubber/#topicOverview (accessed on 8 June 2023).
- International Rubber Study Group. 2020. Available online: https://www.rubberstudy.org/welcome (accessed on 8 June 2023).
- Makhiyanov, N.; Akhmetov, I.G.; Vagizov, A.M. Microstructure of polyisoprenes synthesized with titanium- and neodymium-containing catalytic systems. Polym. Sci. Ser. A 2012, 54, 942–949. [Google Scholar] [CrossRef]
- Rubber World. Global Synthetic Rubber Market Production Forecast at 17,690 kt by 2027. Available online: https://rubberworld.com/global-synthetic-rubber-market-production-forecast-at-17690-kt-by-2027/?doing_wp_cron=1682020685.2811911106109619140625 (accessed on 8 June 2023).
- Asghar, U.; Masoom, A.; Javed, A.; Abbas, A. Economic Analysis of Isoprene Production from Good Year Scientific Process. Am. J. Chem. Eng. 2020, 8, 63. [Google Scholar] [CrossRef]
- Ramos-DeValle, L.F.; Aramburo, F. Effect of Flow-Induced Crystallization on the End Correction Factor. I. Raw Gum Elastomers. J. Rheol. 1983, 27, 295–309. [Google Scholar] [CrossRef]
- Kraton Corporation, Special Polymers. Available online: https://kraton.com/ (accessed on 9 June 2023).
- Americas International, Rubber Chemical Products. Available online: https://americasinternational.com/products-suppliers/ (accessed on 9 June 2023).
- Zeon Corporation IR (Polyisoprene Rubber). Available online: https://www.zeon.co.jp/en/business/enterprise/rubber/ir/ (accessed on 9 June 2023).
- Versalis Eni, Elastomers. Available online: https://www.versalis.eni.com/en-IT/portfolio/polymers-and-intermediates/elastomers.html (accessed on 9 June 2023).
- Sinopec Corporation, Special Rubbers. Available online: http://www.sinopecgroup.com/group/en/products/Finechem/Product/SpecialRubber.shtml (accessed on 9 June 2023).
- Rimpex Rubber-TPI, Trans Isoprene Rubber. Available online: http://www.rubberimpex.com/TPI/ (accessed on 9 June 2023).
- Gutiérrez, S.; Tlenkopatchev, M.A. Metathesis of renewable products: Degradation of natural rubber via cross-metathesis with β-pinene using Ru-alkylidene catalysts. Polym. Bull. 2010, 66, 1029–1038. [Google Scholar] [CrossRef]
- Burelo, M.; Martínez, A.; Cruz-Morales, J.A.; Tlenkopatchev, M.A.; Gutiérrez, S. Metathesis reaction from bio-based resources: Synthesis of diols and macrodiols using fatty alcohols, β-citronellol and natural rubber. Polym. Degrad. Stab. 2019, 166, 202–212. [Google Scholar] [CrossRef]
- Martínez, A.; Tlenkopatchev, M.A.; Gutiérrez, S.; Burelo, M.; Vargas, J.; Jiménez-Regalado, E. Synthesis of Unsaturated Esters by Cross-Metathesis of Terpenes and Natural Rubber Using Ru-Alkylidene Catalysts. Curr. Org. Chem. 2019, 23, 1356–1364. [Google Scholar] [CrossRef]
- Pineda-Contreras, A.; Vargas, J.; Santiago, A.A.; Martínez, A.; Cruz-Morales, J.A.; Reyes-Gómez, S.E.; Burelo, M.; Gutiérrez, S. Metátesis de olefinas en México: Desarrollo y aplicaciones en nuevos materiales poliméricos y en química sustentable. Mater. Av. 2018, 29, 65–81. Available online: https://www.academia.edu/39630128/Metátesis_de_olefinas_en_México_desarrollo_y_aplicaciones_en_nuevos_materiales_poliméricos_y_en_química_sustentable (accessed on 9 June 2023).
- Jain, A.K.; Deval, R.; Ramesh, V.; Prasad, G. Natural rubber latex allergy. Indian J. Dermatol. Venereol. Leprol. 2008, 74, 304–310. [Google Scholar] [CrossRef]
- Rahimi, A.; Mashak, A. Review on rubbers in medicine: Natural, silicone and polyurethane rubbers. Plast. Rubber Compos. 2013, 42, 223–230. [Google Scholar] [CrossRef]
- Kahn, H.; Horne, S.E.J. Method of Polymerizing Butadiene-1,3-Hydrocarbons. U.S. Patent US3165503, 12 January 1965. [Google Scholar]
- Horne, S.E.; Kiehl, J.P.; Shipman, J.J.; Folt, V.L.; Gibbs, C.F.; Willson, E.A.; Newton, E.B.; Reinhart, M.A. Ameripol SN—A Cis-,4-Polyisoprene. Ind. Eng. Chem. 1956, 48, 784–791. [Google Scholar] [CrossRef]
- Stavely, F.W. Coral Rubber—A Cis-1,4-Polyisoprene. Ind. Eng. Chem. 1956, 48, 778–783. [Google Scholar] [CrossRef]
- Wakefield, L.B.; Foster, F.C. Essentially cis Rubbery Polyisoprene and Method for Making Same. United States Patent US3632563, 4 January 1972. [Google Scholar]
- Senyek, M.L. Isoprene Polymers. In Encyclopedia of Polymer Science and Technology, 4th ed.; Herman, M.F., Ed.; John Wiley & Sons, Inc.: Hoboken, NJ, USA, 2008; p. 80. [Google Scholar]
- Ceausescu, E. Stereospecific Polymerization of Isoprene, 1st ed.; Pergamon Press: Oxford, UK, 1983; p. 280. [Google Scholar]
- Natta, G.; Porri, L.; Mazzei, A.; Morero, D. Stereospecific polymerization of conjugated diolefins. note III: The polymerization of butadiene with the Al(C2H5)3-TiCl4 catalyst system. In Stereoregular Polymers and Stereospecific Polymerizations, 1st ed.; Natta, G., Danusso, F., Eds.; Pergamon Press: Oxford, UK; Elsevier: Cambrige, MA, USA, 1967; Volume 2, pp. 655–659. [Google Scholar] [CrossRef]
- Natta, G.; Mazzanti, G.; Pregaglia, G. Organometallic complexes obtained by the reduction of hydrocarbon solutions of titanium halides with aluminum. In Stereoregular Polymers and Stereospecific Polymerizations, 1st ed.; Natta, G., Danusso, F., Eds.; Pergamon Press: Oxford, UK; Elsevier: Cambrige, MA, USA, 1967; Volume 2, p. 699. [Google Scholar] [CrossRef]
- Adams, H.E.; Stearns, R.S.; Smith, W.A.; Binder, J.L. cis-1,4-Polyisoprene Prepared with Alkyl Aluminum and Titanium Tetrachloride. Ind. Eng. Chem. 1958, 50, 1507–1510. [Google Scholar] [CrossRef]
- Schoenberg, E.; Chalfant, D.L.; Mayor, R.H. Preformed Aluminum Triisobutyl-Titanium Tetrachloride Catalysts for Isoprene Polymerization. Rubber Chem. Technol. 1964, 37, 103–120. [Google Scholar] [CrossRef]
- Morton, M. Elastomers, Synthetic, Survey; John Wiley & Sons, Inc.: Hoboken, NJ, USA, 2009; pp. 1–20. [Google Scholar] [CrossRef]
- Jiang, B.; Weng, Y.; Zhang, S.; Zhang, Z.; Fu, Z.; Fan, Z. Kinetics and mechanism of ethylene polymerization with TiCl4/MgCl2 model catalysts: Effects of titanium content. J. Catal. 2018, 360, 57–65. [Google Scholar] [CrossRef]
- Lovering, E.G.; Wright, W.B. Evidence for several species of active sites in Ziegler-Natta catalysts. J. Polym. Sci. Part A-1 Polym. Chem. 1968, 6, 2221–2235. [Google Scholar] [CrossRef]
- Ouyang, J.; Wang, F.; Shen, Z. Proceedings of China-U.S. Bilateral Symposium on Polymer Chemistry and Physics, 1st ed.; Van Nostrand Reinhold Co. Science Press: New York, NY, USA, 1981. [Google Scholar]
- Zhiquan, S.; Jun, O.; Fusong, W.; Zhenya, H.; Fusheng, Y.; Baogong, Q. The characteristics of lanthanide coordination catalysts and the cis-polydienes prepared therewith. J. Polym. Sci. Polym. Chem. Ed. 1980, 18, 3345–3357. [Google Scholar] [CrossRef]
- Meyer, K.H. Natural and Synthetic High Polymers, 2nd ed.; Interscience Publishers: New York, NY, USA, 1950. [Google Scholar]
- Beaman, R.G. Anionic Chain Polymerization. J. Am. Chem. Soc. 1948, 70, 3115–3118. [Google Scholar] [CrossRef]
- Overberger, C.G.; Pearce, E.M.; Mayes, N. Polymerization of methacrylonitrile with lithium. J. Polym. Sci. 1958, 31, 217–218. [Google Scholar] [CrossRef]
- Tobolsky, A.V.; Rogers, C.E. Isoprene polymerization by organometallic compounds. II. J. Polym. Sci. 1959, 40, 73–89. [Google Scholar] [CrossRef]
- Higginson, W.C.E.; Wooding, N.S. 138. Anionic polymerisation. Part I. The polymerisation of styrene in liquid ammonia solution catalysed by potassium amide. J. Chem. Soc. 1952, 760–774. [Google Scholar] [CrossRef]
- Minoura, Y.; Tsubio, S. Polymerization of vinyl monomers by alkali metal-thiobenzophenone complexes. J. Polym. Sci. Part A-1 Polym. Chem. 1970, 8, 125–138. [Google Scholar] [CrossRef]
- Glukhovskoi, V.; Litvin, Y.; Gainulin, I. The synthesis and catalytic activity of polymeric compounds containing alkali metals. Polym. Sci. USSR 1975, 17, 1636–1644. [Google Scholar] [CrossRef]
- Alev, S.; Schué, F.; Kaempf, B. Use of dicyclohexyl-18-crown-6 in anionic polymerization. I. Solutions of alkali metals in benzene and in tetrahydrofuran. J. Polym. Sci. Polym. Lett. Ed. 1975, 13, 397–400. [Google Scholar] [CrossRef]
- Hansley, V.L.; Greenberg, H. Control of Alfin Rubber Molecular Weight. Rubber Chem. Technol. 1965, 38, 103–111. [Google Scholar] [CrossRef]
- Astruc, D. Organometallic Chemistry and Catalysis; Springer: Berlin/Heidelberg, Germany, 2007. [Google Scholar] [CrossRef]
- Kaita, S.; Hou, Z.; Wakatsuki, Y. Stereospecific Polymerization of 1,3-Butadiene with Samarocene-Based Catalysts. Macromolecules 1999, 32, 9078–9079. [Google Scholar] [CrossRef]
- Kaita, S.; Hou, Z.; Nishiura, M.; Doi, Y.; Kurazumi, J.; Horiuchi, A.C.; Wakatsuki, Y. Ultimately Specific 1,4-cis Polymerization of 1,3-Butadiene with a Novel Gadolinium Catalyst. Macromol. Rapid Commun. 2003, 24, 179–184. [Google Scholar] [CrossRef]
- Nanocomposites, Nanoparticles, Nanoclays and Nanotubes: Global Markets to 2022. 2022. Available online: https://www.bccresearch.com/market-research/nanotechnology/nanocomposites-nanoparticles-nanoclays-and-nanotubes-global-markets.html (accessed on 19 June 2023).
- Safdari, M.; Al-Haik, M.S. A Review on Polymeric Nanocomposites: Effect of Hybridization and Synergy on Electrical Properties. In Carbon-Based Polymer Nanocomposites for Environmental and Energy Applications; Ismail, A., Goh, S.P., Eds.; Elsevier: Amsterdam, The Netherlands, 2018; pp. 113–146. [Google Scholar]
- Dong, P.; Prasanth, R.; Xu, F.; Wang, X.; Li, B.; Shankar, R. Eco-friendly Polymer Nanocomposite, Properties and Processing. In Advanced Structured Materials; Springer: Berlin/Heidelberg, Germany, 2015; Volume 75, pp. 1–15. [Google Scholar]
- Din, S.H.; Shah, M.A.; Sheikh, N.A.; Butt, M.M. Nano-composites and their applications: A review. Charact. Appl. Nanomater. 2020, 3, 40–48. [Google Scholar] [CrossRef]
- Titus, D.; Samuel, E.J.J.; Roopan, S.M. Nanoparticle characterization techniques. In Green Synthesis, Characterization and Applications of Nanoparticles; Shukla, A.K., Iravani, S., Eds.; Elsevier: Amsterdam, The Netherlands, 2019; pp. 303–319. [Google Scholar]
- Sheiko, S.S.; Dobrynin, A.V. Architectural Code for Rubber Elasticity: From Supersoft to Superfirm Materials. Macromolecules 2019, 52, 7531–7546. [Google Scholar] [CrossRef]
- Murniati, R.; Wibowo, E.; Rokhmat, M.; Iskandar, F.; Abdullah, M. Natural Rubber Nanocomposite as Human-Tissue-Mimicking Materials for Replacement Cadaver in Medical Surgical Practice. Procedia Eng. 2017, 170, 101–107. [Google Scholar] [CrossRef]
- Wang, Z.; Jiang, F.; Zhang, Y.; You, Y.; Wang, Z.; Guan, Z. Bioinspired Design of Nanostructured Elastomers with Cross-Linked Soft Matrix Grafting on the Oriented Rigid Nanofibers To Mimic Mechanical Properties of Human Skin. ACS Nano 2014, 9, 271–278. [Google Scholar] [CrossRef] [PubMed]
- Mantilaka, M.M.M.G.P.G.; Wijesinghe, W.P.S.L.; Dissanayake, D.M.S.N.; Ekanayake, U.G.M.; Senthilnathan, A. Current review on the utilization of nanoparticles for ceramic matrix reinforcement. In Interfaces in Particle and Fibre Reinforced Composites, 1st ed.; Gho, L.K., Aswanthi, M.K., De Silva, R.T., Thomas, S., Eds.; Elsevier: Amsterdam, The Netherlands, 2020; pp. 345–367. [Google Scholar]
- Silvestre, J.; Silvestre, N.; de Brito, J. An Overview on the Improvement of Mechanical Properties of Ceramics Nanocomposites. J. Nanomater. 2015, 2015, 106494. [Google Scholar] [CrossRef]
- Korać, M.; Kamberović, Ž.; Anđić, Z.; Stopić, S. Advances in Thermochemical Synthesis and Characterization of the Prepared Copper/Alumina Nanocomposites. Metals 2020, 10, 719. [Google Scholar] [CrossRef]
- Ghasemi, M.J.; Silani, M.; Maleki, A.; Jamshidian, M. Micromechanical simulation and experimental investigation of aluminum-based nanocomposites. Def. Technol. 2020, 17, 196–201. [Google Scholar] [CrossRef]
- Dubey, A.; Khosla, P.; Singh, H.K.; Katoch, V.; Kumar, D.; Gupta, P. A Review on Role of Processing Parameter in Determining Properties of Silicon Carbide Reinforced Metal Matrix Nanocomposites. J. Appl. Sci. Eng. 2016, 19, 303–312. [Google Scholar] [CrossRef]
- Malaki, M.; Xu, W.; Kasar, A.K.; Menezes, P.L.; Dieringa, H.; Varma, R.S.; Gupta, M. Advanced Metal Matrix Nanocomposites. Metals 2019, 9, 330. [Google Scholar] [CrossRef]
- Usuki, A.; Kojima, Y.; Kawasumi, M.; Okada, A.; Fukushima, Y.; Kurauchi, T.; Kamigaito, O. Synthesis of nylon 6-clay hybrid. J. Mater. Res. 1993, 8, 1179–1184. [Google Scholar] [CrossRef]
- Hoque, A.; Ahmed, M.; Rahman, G.; Islam, M.; Khan, M.A.; Hossain, M.K. Fabrication and comparative study of magnetic Fe and α-Fe2O3 nanoparticles dispersed hybrid polymer (PVA + Chitosan) novel nanocomposite film. Results Phys. 2018, 10, 434–443. [Google Scholar] [CrossRef]
- Thomas, S.; Maria, H.J. Progress in Rubber Nanocomposites; Woodhead Publishing: Sawston, UK, 2017. [Google Scholar] [CrossRef]
- Stephen, R.; Thomas, S. Nanocomposites: State of the Art, New Challenges and Opportunities. In Rubber Nanocomposites: Preparation, Properties, and Applications; Thomas, S., Stephen, R., Eds.; John Wiley & Sons, Ltd.: Hoboken, NJ, USA, 2010; pp. 1–19. [Google Scholar]
- Das, A.; Basu, D.; Heinrich, G. Rubber Nanocomposites. In Encyclopedia of Polymeric Nanomaterials, 1st ed.; Kobayashi, S., Mullen, K., Eds.; Springer: Berlin/Heidelberg, Germany, 2015; pp. 2181–2185. [Google Scholar]
- Reddy, K.R.; Reddy, C.V.; Babu, B.; Ravindranadh, K.; Naveen, S.; Raghu, A.V. Recent advances in layered clays–intercalated polymer nanohybrids: Synthesis strategies, properties, and their applications. In Modified Clay and Zeolite Nanocomposite Materials; Elsevier: Amsterdam, The Netherlands, 2018; pp. 197–218. [Google Scholar] [CrossRef]
- Hao, L.T.; Eom, Y.; Tran, T.H.; Koo, J.M.; Jegal, J.; Hwang, S.Y.; Oh, D.X.; Park, J. Rediscovery of nylon upgraded by interactive biorenewable nano-fillers. Nanoscale 2019, 12, 2393–2405. [Google Scholar] [CrossRef]
- Martinez-Pardo, I.; Shanks, R.A.; Adhikari, R.; Adhikari, B. Natural Rubber with Polyhedral Oligomeric Silsesquioxane, Nanocomposites, and Hybrids Compared by Molecular Modeling. Macromol. Theory Simul. 2018, 28, 1800026. [Google Scholar] [CrossRef]
- Dasgupta, D.; Srividhya, M.; Sarkar, A.; Dubey, M.; Wrobel, D.; Saxena, A. Rubber nanocomposites with polyhedral oligomeric silsesquioxanes (POSS) as the nanofiller. In Progress in Rubber Nanocomposites; Elsevier: Amsterdam, The Netherlands, 2017; pp. 231–247. [Google Scholar] [CrossRef]
- Zhang, D.; Liu, Y.; Shi, Y.; Huang, G. Effect of polyhedral oligomeric silsesquioxane (POSS) on crystallization behaviors of POSS/polydimethylsiloxane rubber nanocomposites. RSC Adv. 2013, 4, 6275–6283. [Google Scholar] [CrossRef]
- Salehiyan, R.; Ray, S.S. Rubber Nanocomposites: Processing, Structure–Property Relationships, Applications, Challenges, and Future Trends. In Springer Series in Materials Science; Ray, S.S., Ed.; Springer: Berlin/Heidelberg, Germany, 2018; Volume 278, pp. 75–106. [Google Scholar]
- Mohammad, A.; Simon, G.P. Rubber-clay nanocomposites. In Polymer Nanocomposites; Mai, W.-Y., Yu, Z.-Z., Eds.; Elsevier: Amsterdam, The Netherlands, 2006; pp. 297–325. [Google Scholar]
- Ma, J.; Zhang, L.; Geng, L. Manufacturing Techniques of Rubber Nanocomposites. In Rubber Nanocomposites: Preparation, Properties, and Applications; Thomas, S., Stephen, R., Eds.; John Wiley & Sons, Inc.: Hoboken, NJ, USA, 2010; pp. 21–62. [Google Scholar] [CrossRef]
- Galimberti, M. Rubber Clay Nanocomposites. In Advanced Elastomers—Technology, Properties and Applications; InTech: London, UK, 2012; pp. 91–120. [Google Scholar] [CrossRef]
- Srivastava, S.K.; Mishra, Y.K. Nanocarbon Reinforced Rubber Nanocomposites: Detailed Insights about Mechanical, Dynamical Mechanical Properties, Payne, and Mullin Effects. Nanomaterials 2018, 8, 945. [Google Scholar] [CrossRef]
- Alexandre, M.; Dubois, P. Polymer-layered silicate nanocomposites: Preparation, properties and uses of a new class of materials. Mater. Sci. Eng. R Rep. 2000, 28, 1–63. [Google Scholar] [CrossRef]
- Karger-Kocsis, J.; Wu, C.-M. Thermoset rubber/layered silicate nanocomposites. Status and future trends. Polym. Eng. Sci. 2004, 44, 1083–1093. [Google Scholar] [CrossRef]
- Messori, M.; Bignotti, F.; De Santis, R.; Taurino, R. Modification of isoprene rubber by in situ silica generation. Polym. Int. 2009, 58, 880–887. [Google Scholar] [CrossRef]
- Kohjiya, S.; Ikeda, Y. In Situ Formation of Particulate Silica in Natural Rubber Matrix by the Sol-Gel Reaction. J. Sol-Gel Sci. Technol. 2003, 26, 495–498. [Google Scholar] [CrossRef]
- Peng, Z.; Kong, L.X.; Li, S.-D.; Chen, Y.; Huang, M.F. Self-assembled natural rubber/silica nanocomposites: Its preparation and characterization. Compos. Sci. Technol. 2007, 67, 3130–3139. [Google Scholar] [CrossRef] [PubMed]
- Cao, L.; Sinha, T.K.; Zhang, X.; Zhai, X.; Wang, C.; Zong, C.; Kim, J.K. Graphene/carbon nanotubes-supported Ziegler-Natta catalysts for in situ synthesis of mechanically strong, thermally and electrically conductive trans-polyisoprene nanocomposite. J. Polym. Res. 2019, 26, 36. [Google Scholar] [CrossRef]
- Liu, J.; Wang, Z.; Li, S.; Teng, J.; Min, B. Development of functionalized core–shell nanohybrid/synthetic rubber nanocomposites with enhanced performance. Soft Matter 2019, 15, 8338–8351. [Google Scholar] [CrossRef] [PubMed]
- Bokobza, L. Natural Rubber Nanocomposites: A Review. Nanomaterials 2019, 9, 12. [Google Scholar] [CrossRef]
- Khani, M.M.; Abbas, Z.M.; Benicewicz, B.C. Well-defined polyisoprene-grafted silica nanoparticles via the RAFT process. J. Polym. Sci. Part A Polym. Chem. 2017, 55, 1493–1501. [Google Scholar] [CrossRef]
- Kongsinlark, A.; Rempel, G.L.; Prasassarakich, P. Synthesis of monodispersed polyisoprene–silica nanoparticles via differential microemulsion polymerization and mechanical properties of polyisoprene nanocomposite. Chem. Eng. J. 2012, 193–194, 215–226. [Google Scholar] [CrossRef]
- Burelo, M.; Gaytán, I.; Loza-Tavera, H.; Cruz-Morales, J.A.; Zárate-Saldaña, D.; Cruz-Gómez, M.J.; Gutiérrez, S. Synthesis, characterization and biodegradation studies of polyurethanes: Effect of unsaturation on biodegradability. Chemosphere 2022, 307, 136136. [Google Scholar] [CrossRef] [PubMed]
- Hamed, G.R. Materials and Compounds. In Engineering with Rubber, 3rd ed.; Gent, A.N., Ed.; Carl Hanser Verlag GmbH & Co. KG: München, Germany, 2012; pp. 11–36. [Google Scholar]
- Ray, S.S.; Okamoto, M. Polymer/layered silicate nanocomposites: A review from preparation to processing. Prog. Polym. Sci. 2003, 28, 1539–1641. [Google Scholar] [CrossRef]
- El Fray, M.; Goettler, L.A. Application of Rubber Nanocomposites. In Rubber Nanocomposites: Preparation, Properties, and Applications; Thomas, S., Stephen, R., Eds.; John Wiley & Sons, Ltd.: Hoboken, NJ, USA, 2010; pp. 675–696. [Google Scholar]
- Thomas, S.; Thomas, S.; Abraham, J.; George, S.C.; Thomas, S. Investigation of the mechanical, thermal and transport properties of NR/NBR blends: Impact of organoclay content. J. Polym. Res. 2018, 25, 165. [Google Scholar] [CrossRef]
- Brydson, J.A. Rubbery Materials and Their Compounds, 1st ed.; Springer: Dordrecht, The Netherlands, 1988. [Google Scholar]
- Galimberti, M.; Senatore, S.; Lostritto, A.; Giannini, L.; Conzatti, L.; Costa, G.; Guerra, G. Reinforcement of diene elastomers by organically modified layered silicates. e-Polymers 2009, 9, 700–715. [Google Scholar] [CrossRef]
- Liu, C.; Qin, H.; Mather, P.T. Review of progress in shape-memory polymers. J. Mater. Chem. 2007, 17, 1543. [Google Scholar] [CrossRef]
- Qi, X.; Zhang, Y.; Zhang, L.; Yue, D. Bioinspired Sustainable Polymer with Stereochemistry-Controllable Thermomechanical Properties. Macromolecules 2023, 56, 416–425. [Google Scholar] [CrossRef]
- Niu, Z.; Wu, R.; Yang, Y.; Huang, L.; Fan, W.; Dai, Q.; Cui, L.; He, J.; Bai, C. Recyclable, robust and shape memory vitrified polyisoprene composite prepared through a green methodology. Polymer 2021, 228, 123864. [Google Scholar] [CrossRef]
- Donnet, J.-B.; Custodero, E. Reinforcement of Elastomers by Particulate Fillers. In The Science and Technology of Rubber, 4th ed.; Erman, B., Mark, J.E., Roland, C.M., Eds.; Elsevier: Amsterdam, The Netherlands, 2013; pp. 383–416. [Google Scholar]
- Tsukada, G.; Tokuda, M.; Torii, M. Temperature Triggered Shape Memory Effect of Transpolyisoprene-based Polymer. J. Endod. 2014, 40, 1658–1662. [Google Scholar] [CrossRef]
- Wang, Z.; Su, M.; Duan, X.; Yao, X.; Han, X.; Song, J.; Ma, L. Molecular Dynamics Simulation of the Thermomechanical and Tribological Properties of Graphene-Reinforced Natural Rubber Nanocomposites. Polymers 2022, 14, 5056. [Google Scholar] [CrossRef]
- Sui, G.; Zhong, W.; Yang, X.; Yu, Y. Curing kinetics and mechanical behavior of natural rubber reinforced with pretreated carbon nanotubes. Mater. Sci. Eng. A 2008, 485, 524–531. [Google Scholar] [CrossRef]
- Burelo, M.; Gutiérrez, S.; Treviño-Quintanilla, C.D.; Cruz-Morales, J.A.; Martínez, A.; López-Morales, S. Synthesis of Biobased Hydroxyl-Terminated Oligomers by Metathesis Degradation of Industrial Rubbers SBS and PB: Tailor-Made Unsaturated Diols and Polyols. Polymers 2022, 14, 4973. [Google Scholar] [CrossRef] [PubMed]
- Nah, C.; Kim, D.H.; Kim, W.D.; Kwacheon, W.S.; Kaang, S. Friction and abrasion properties of in-situ silica-filled natural rubber nanocomposites using sol-gel process. Kautschuk Gummi Kunststoffe 2004, 57, 224–226. Available online: https://www.researchgate.net/publication/292294550_Friction_and_abrasion_properties_of_in-situ_silica-filled_natural_rubber_nanocomposites_using_sol-gel_process (accessed on 29 June 2023).
- Wu, Y.-P.; Ma, Y.; Wang, Y.-Q.; Zhang, L.-Q. Effects of Characteristics of Rubber, Mixing and Vulcanization on the Structure and Properties of Rubber/Clay Nanocomposites by Melt Blending. Macromol. Mater. Eng. 2004, 289, 890–894. [Google Scholar] [CrossRef]
- Wichaita, W.; Promlok, D.; Sudjaipraparat, N.; Sripraphot, S.; Suteewong, T.; Tangboriboonrat, P. A concise review on design and control of structured natural rubber latex particles as engineering nanocomposites. Eur. Polym. J. 2021, 159, 110740. [Google Scholar] [CrossRef]
- Appamato, I.; Bunriw, W.; Harnchana, V.; Siriwong, C.; Mongkolthanaruk, W.; Thongbai, P.; Chanthad, C.; Chompoosor, A.; Ruangchai, S.; Prada, T.; et al. Engineering Triboelectric Charge in Natural Rubber–Ag Nanocomposite for Enhancing Electrical Output of a Triboelectric Nanogenerator. ACS Appl. Mater. Interfaces 2022, 15, 973–983. [Google Scholar] [CrossRef]
- Arroyo, M.; López-Manchado, M.; Herrero, B. Organo-montmorillonite as substitute of carbon black in natural rubber compounds. Polymer 2003, 44, 2447–2453. [Google Scholar] [CrossRef]
- Wang, J.; Chen, D. Mechanical Properties of Natural Rubber Nanocomposites Filled with Thermally Treated Attapulgite. J. Nanomater. 2013, 2013, 496584. [Google Scholar] [CrossRef]












Disclaimer/Publisher’s Note: The statements, opinions and data contained in all publications are solely those of the individual author(s) and contributor(s) and not of MDPI and/or the editor(s). MDPI and/or the editor(s) disclaim responsibility for any injury to people or property resulting from any ideas, methods, instructions or products referred to in the content. |
© 2023 by the authors. Licensee MDPI, Basel, Switzerland. This article is an open access article distributed under the terms and conditions of the Creative Commons Attribution (CC BY) license (https://creativecommons.org/licenses/by/4.0/).
Share and Cite
Cruz-Morales, J.A.; Gutiérrez-Flores, C.; Zárate-Saldaña, D.; Burelo, M.; García-Ortega, H.; Gutiérrez, S. Synthetic Polyisoprene Rubber as a Mimic of Natural Rubber: Recent Advances on Synthesis, Nanocomposites, and Applications. Polymers 2023, 15, 4074. https://doi.org/10.3390/polym15204074
Cruz-Morales JA, Gutiérrez-Flores C, Zárate-Saldaña D, Burelo M, García-Ortega H, Gutiérrez S. Synthetic Polyisoprene Rubber as a Mimic of Natural Rubber: Recent Advances on Synthesis, Nanocomposites, and Applications. Polymers. 2023; 15(20):4074. https://doi.org/10.3390/polym15204074
Chicago/Turabian StyleCruz-Morales, Jorge A., Carina Gutiérrez-Flores, Daniel Zárate-Saldaña, Manuel Burelo, Héctor García-Ortega, and Selena Gutiérrez. 2023. "Synthetic Polyisoprene Rubber as a Mimic of Natural Rubber: Recent Advances on Synthesis, Nanocomposites, and Applications" Polymers 15, no. 20: 4074. https://doi.org/10.3390/polym15204074
APA StyleCruz-Morales, J. A., Gutiérrez-Flores, C., Zárate-Saldaña, D., Burelo, M., García-Ortega, H., & Gutiérrez, S. (2023). Synthetic Polyisoprene Rubber as a Mimic of Natural Rubber: Recent Advances on Synthesis, Nanocomposites, and Applications. Polymers, 15(20), 4074. https://doi.org/10.3390/polym15204074

