Mechanical Properties of Polyurethane Mixture and Load Response Behaviour of Polyurethane Composite Pavement
Abstract
:1. Introduction
2. Material Composition and Typical Pavement Structure
2.1. Raw Materials
- (1)
- Polyurethane binder
- (2)
- Asphalt
2.2. Mixture Composition
3. Test Scheme and Calculation Theory
3.1. Test Scheme
3.1.1. Dynamic Modulus Test
3.1.2. Uniaxial Penetration Test
3.1.3. Four-Point Bending Fatigue Test
3.2. Orthogonal Design of PU Mixture Composite Pavement Structure
3.3. Theoretical Calculation
3.3.1. Finite Element
3.3.2. Calculation Parameters and Conditions
4. Results and Discussion
4.1. Dynamic Modulus Test Results
4.1.1. Dynamic Modulus
4.1.2. Phase Angle
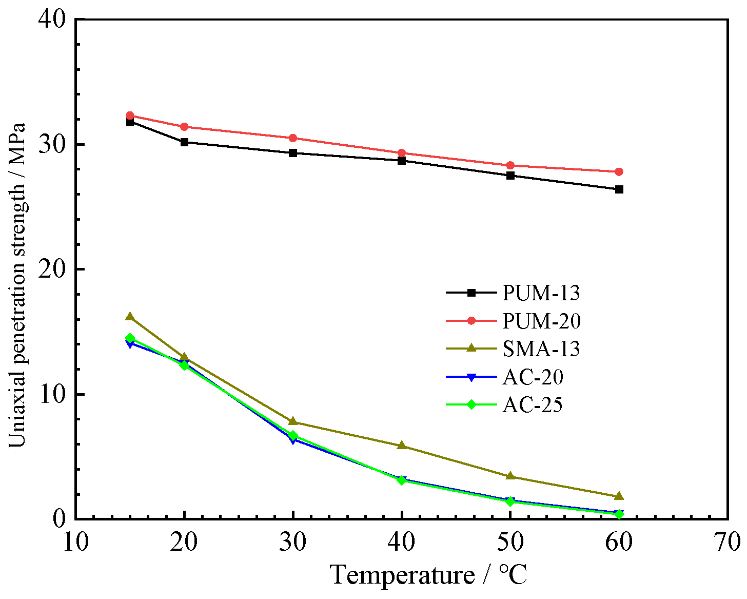
4.2. Uniaxial Penetration Test Results
4.3. Four-Point Bending Fatigue Test Results
4.3.1. Four-Point Bending Static Loading Tests
4.3.2. Four-Point Bending Fatigue Tests
4.4. Analysis of Pavement Structure Orthogonal Design Results and Pavement Structure Recommendation
4.5. Load Response Behaviour of Composite Pavement Structures
4.5.1. Vertical Compressive Strain of the Subgrade Surface
4.5.2. Interlayer Shear Stress
4.5.3. Vertical Compressive Strain of the Composite Pavement Structure Surface
4.5.4. Deflection
4.5.5. Composite Pavement Structure Base-Layer Bottom Tensile Stress
5. Conclusions
- (1)
- The influence of the temperature and loading frequency on the dynamic modulus and phase angle of PU mixtures is relatively small. The phase angle is between 4° and 6°, and the elastic characteristics of the PU mixture are relatively stable. The uniaxial penetration strength and shear modulus of the PU mixture are greater than those of asphalt mixtures, and are less affected by temperature. PU mixtures have good shear resistance and temperature stability, and can be used as shear layers.
- (2)
- The bending failure stress of PU mixtures is much larger than that of asphalt mixtures, which have a strong ability to resist loads; however, its plastic deformation is small under loading, and the failure speed is fast, which may be more prone to brittle failure. PU mixtures have excellent fatigue resistance and can be applied to anti-fatigue layers due to the need for use in layers with high stress levels.
- (3)
- Based on the calculation of load responses of orthogonal design pavement structures, the typical PU mixture composite pavement structure is recommended, which is a ‘4 cm SMA-13 + 5 cm PUM-20 + 6 cm PUM-25 + semi-rigid base’ pavement structure.
- (4)
- In comparison to the load response calculation structure of typical asphalt pavement, the analysis shows that—other than for shear stress—temperature has little effect on the load response of PU composite pavement structure. The PU composite pavement can bear greater loads and has strong resistance to high temperatures. The load responses of PU composite can meet the requirements of high-grade highways, heavy load pavement, long longitudinal slope sections, and intersection sections.
- (5)
- The theory of elastic layered system is adopted. The viscoelastic characteristics of asphalt mixture are not fully considered, which may affect the numerical analysis results to a certain extent. The recommended polyurethane mixture composite pavement structure is still more expensive than conventional asphalt pavement structure, and can potentially be applied to special road sections.
Author Contributions
Funding
Institutional Review Board Statement
Informed Consent Statement
Data Availability Statement
Conflicts of Interest
References
- Chem, Y.C.; Tseng, S.M.; Hsieh, K.H. Damping properties of interpenetrating polymer networks of polyurethane-modified epoxy and polyurethanes. J. Appl. Polym. Sci. 2015, 74, 328–335. [Google Scholar]
- Wang, Q.; Chen, S.; Wang, T.; Zhang, X. Damping, thermal, and mechanical properties of polyurethane based on poly (tetramethylene glycol)/epoxy interpenetrating polymer networks: Effects of composition and isocyanate index. Appl. Phys. A 2011, 104, 375–382. [Google Scholar] [CrossRef]
- Wang, J.; Yuan, J.; Xiao, F.; Li, Z.; Wang, J.; Xu, Z. Performance investigation and sustainability evaluation of multiple-polymer asphalt mixtures in airfield pavement. J. Clean. Prod. 2018, 189, 67–77. [Google Scholar] [CrossRef]
- Chen, J.; Yin, X.; Wang, H.; Ding, Y. Evaluation of durability and functional performance of porous polyurethane mixture in porous pavement. J. Clean. Prod. 2018, 188, 12–19. [Google Scholar] [CrossRef]
- Chen, J.; Ma, X.; Wang, H.; Xie, P.; Huang, W. Experimental study on anti-icing and deicing performance of polyurethane concrete as road surface layer. Constr. Build. Mater. 2018, 161, 598–605. [Google Scholar] [CrossRef]
- Wang, D.; Schacht, A.; Leng, Z.; Leng, C.; Kollmann, J.; Oeser, M. Effects of Materials Composition on Mechanical and Acoustic Performance of Poroelastic Road Surface (PERS). Constr. Build. Mater. 2017, 135, 352–360. [Google Scholar] [CrossRef]
- Wang, D.; Liu, P.; Leng, Z.; Leng, C.; Lu, G.; Buch, M.; Oeser, M. Suitability of Poroelatic Road Surface (PERS) for Urban Roads in Cold Regions: Mechanical and Functional Performance Assessment. J. Clean. Prod. 2017, 165, 1340–1350. [Google Scholar] [CrossRef]
- Sun, M.; Bi, Y.; Zheng, M.; Wang, J.; Wang, L. Performance of Polyurethane Mixtures with Skeleton-Interlocking Structure. J. Mater. Civ. Eng. 2020, 32, 04019358. [Google Scholar] [CrossRef]
- Lu, G.; Renken, L.; Li, T.; Wang, D.; Li, H.; Oeser, M. Experimental study on the polyurethane-bound pervious mixtures in the application of permeable pavement. Constr. Build. Mater. 2019, 202, 838–850. [Google Scholar] [CrossRef]
- Li, T.; Lu, G.; Wang, D.; Hong, B.; Tan, Y.; Oeser, M. Key Properties of High-performance Polyurethane Bounded Pervious Mixture. China J. Highw. Transp. 2019, 32, 158–169. (In Chinese) [Google Scholar]
- Lu, G.; Liu, P.; Wang, Y.; Faßbender, S.; Wang, D.; Oeser, M. Development of a sustainable pervious pavement material using recycled ceramic aggregate and bio-based polyurethane binder. J. Clean. Prod. 2019, 220, 1052–1060. [Google Scholar] [CrossRef]
- Sun, M.; Qu, G.; Geng, L.; Hou, D.; Jing, S. Fatigue Properties and Damage Characteristics of Polyurethane Mixtures under a Stress Control Mode. Sustainability 2022, 14, 10966. [Google Scholar] [CrossRef]
- Cong, L.; Wang, T.; Tan, L.; Yuan, J.; Shi, J. Laboratory evaluation on performance of porous polyurethane mixtures and OGFC. Constr. Build. Mater. 2018, 169, 436–442. [Google Scholar] [CrossRef]
- Lu, G.; Liu, P.; Törzs, T.; Wang, D.; Oeser, M.; Grabe, J. Numerical analysis for the influence of saturation on the base course of permeable pavement with a novel polyurethane binder. Constr. Build. Mater. 2019, 240, 117930. [Google Scholar] [CrossRef]
- Xu, S.; Zhang, Y.; Guo, Y.; Ma, C.; Gao, D.; Peng, G. Determination of polyurethane concrete compaction timing based on penetration resistance test system. China, J. Highw. Transp. 2021, 34, 226–235. (In Chinese) [Google Scholar]
- Sun, M.; Bi, Y.; Zhuang, W.; Chen, S.; Zhao, P.; Pang, D.; Zhang, W. Mechanism of Polyurethane Binder Curing Reaction and Evaluation of Polyurethane Mixture Properties. Coatings 2021, 11, 1454. [Google Scholar] [CrossRef]
- Gao, G.; Sun, M.; Xu, C.; Qu, G.; Yang, Y. Interlaminar Shear Characteristics of Typical Polyurethane Mixture Pavement. Polymers 2022, 14, 3827. [Google Scholar] [CrossRef]
- Song-Tao, L.; Zhaohui, L.; Juan, X. Fatigue performance of aging asphalt mixtures. Polimery 2015, 60, 126–131. [Google Scholar] [CrossRef]
- Lv, S.; Liu, C.; Yao, H.; Zheng, J. Comparisons of synchronous measurement methods on various modulus of asphalt mixtures. Constr. Build. Mater. 2018, 158, 1035–1045. [Google Scholar] [CrossRef]
- Törzs, T.; Lu, G.; Monteiro, A.O.; Wang, D.; Grabe, J.; Oeser, M. Hydraulic properties of polyurethane-bound permeable pavement materials considering unsaturated flow. Constr. Build. Mater. 2019, 212, 422–430. [Google Scholar] [CrossRef]
- Mateos, A.; Millan, M.A.; Harvey, J.T.; Paniagua, F.; Wu, R. Mechanisms of asphalt cracking and concrete-asphalt debonding in concrete overlay on asphalt pavements. Constr. Build. Mater. 2021, 301, 124086. [Google Scholar] [CrossRef]
- Bayat, A.; Knight, M. Field evaluation and analysis of flexible pavement structural responses under dynamic loads. Road Mater. Pavement Des. 2012, 13, 26–37. [Google Scholar] [CrossRef]
- Feng, J.; Yin, G. Thermal Analyses and Responses of Bridge Deck Hydronic Snow Melting System. Adv. Civ. Eng. 2019, 2019, 8172494. [Google Scholar] [CrossRef]
- Wei, H.; Ma, Z.; He, X.; Han, S.; Jiang, B. Structural response analysis of conductive ethylene–propylene–diene monomer rubber composite pavement under validated temperature field. Constr. Build. Mater. 2022, 328, 127094. [Google Scholar] [CrossRef]
- Zhu, X.; Zhang, Q.; Chen, L.; Du, Z. Mechanical response of hydronic asphalt pavement under temperature–vehicle coupled load: A finite element simulation and accelerated pavement testing study. Constr. Build. Mater. 2020, 272, 121884. [Google Scholar] [CrossRef]
- Huang, Y.; Zhang, W.; Liu, X. Assessment of Diagonal Macrocrack-Induced Debonding Mechanisms in FRP-Strengthened RC Beams. J. Compos. Constr. 2022, 26, 04022056. [Google Scholar] [CrossRef]
- Yu, J.; Zhu, Y.; Yao, W.; Liu, X.; Ren, C.; Cai, Y.; Tang, X. Stress relaxation behaviour of marble under cyclic weak disturbance and confining pressures. Measurement 2021, 182, 109777. [Google Scholar] [CrossRef]
- Li, Y.; Che, P.; Liu, C.; Wu, D.; Du, Y. Cross-scene pavement distress detection by a novel transfer learning framework. Comput. Civ. Infrastruct. Eng. 2021, 36, 1398–1415. [Google Scholar] [CrossRef]
- Liu, K.; Dai, D.; Fu, C.; Li, W.; Li, S. Structural investigation of the snow-melting heated bridge deck based on the thermal field distribution. Appl. Therm. Eng. 2019, 161, 114–132. [Google Scholar] [CrossRef]
- Liu, K.; Xie, H.; Xu, P.; Wang, Z.; Bai, H.; Wang, F. The thermal and damage characteristics of an insulated-conductive composite structure for the heated bridge deck for snow-melting. Constr. Build. Mater. 2019, 216, 176–187. [Google Scholar] [CrossRef]
- Zhou, B.; Pei, J.; Hughes, B.R.; Nasir, D.S.; Vital, B.; Pantua, C.A.J.; Calautit, J.; Zhang, J. Structural response analysis of road pavement solar collector (RPSC) with serpentine heat pipes under validated temperature field. Constr. Build. Mater. 2020, 268, 121110. [Google Scholar] [CrossRef]
- Liu, K.; Xu, P.; Wang, F.; Jin, C.; Liu, Q.; Pang, H.; Xie, H. The accumulated stress damage and residual life prediction of unreinforced concrete pavement with electric heating pipes. Constr. Build. Mater. 2021, 278, 122258. [Google Scholar] [CrossRef]
- Xu, H.; Tan, Y. Modeling and operation strategy of pavement snow melting systems utilizing low-temperature heating fluids. Energy 2015, 80, 666–676. [Google Scholar] [CrossRef]
- GB/T 16777-2008; Test Methods for Building Waterproofing Coatings. General Administration of Quality Supervision, Inspection and Quarantine of the People’s Republic of China: Beijing, China, 2008.
- JTG F40-2004; Technical Specifications for Construction of Highway Asphalt Pavements. Ministry of Transport of the People’s Republic of China: Beijing, China, 2004.
- JTG E20-2011; Standard Test Methods of Bitumen and Bituminous Mixtures for Highway Engineering. Ministry of Transport of the People’s Republic of China: Beijing, China, 2011.
- JTG D50-2017; Specifications for Design of Highway Asphalt Pavement. Ministry of Transport of the People’s Republic of China: Beijing, China, 2017.
- Maalej, M.; Quek, S.T.; Zhang, J. Behavior of Hybrid-Fiber Engineered Cementitious Composites Subjected to Dynamic Tensile Loading and Project Impact. J. Mater. Civ. Eng. 2005, 17, 143–152. [Google Scholar] [CrossRef]
- Zhang, J.; Gong, C.; Guo, Z.; Zhang, M. Engineered Cementitious Composites with Characteristic of Low Drying Shrinkage. Cem. Concr. Res. 2009, 39, 303–312. [Google Scholar] [CrossRef]
- Guo, Z.; Wang, L.; Feng, L.; Guo, Y. Research on fatigue performance of composite crumb rubber modified asphalt mixture under freeze thaw cycles. Constr. Build. Mater. 2022, 323, 126603. [Google Scholar] [CrossRef]





















| Technology Index | Unit | Technical Requirement | Typical Values |
|---|---|---|---|
| Viscosity | mPa·s | 1200–2200 | 1600 |
| Isocyanate group content | % | 10.3–11.3 | 11.1 |
| Density | g/cm3 | 1.05–1.11 | 1.08 |
| Surface dry time | h | 5–10 | 6 |
| Tensile strength | MPa | ≥10 | 26 |
| Elongation at break | % | ≥100 | 200 |
| Mixture | Binder | Nominal Maximum Particle Sizes/mm | Binder Content/% | Void Ratio (VV) |
|---|---|---|---|---|
| SMA-13 | SBS-modified asphalt | 13.2 | 5.8 | 5.3 |
| AC-20 | 70# based asphalt | 19.0 | 5.0 | 4.5 |
| AC-25 | 70# based asphalt | 26.5 | 4.8 | 4.6 |
| PUM-20 | PU binder | 19.0 | 4.8 | 4.9 |
| PUM-25 | PU binder | 26.5 | 4.6 | 5.0 |
| Numbering | Factor A (Middle Layer Thickness mm) | Factor B (Lower Layer Thickness mm) | Factor C (Middle Layer Material) | Factor D (Lower Layer Material) |
|---|---|---|---|---|
| 1 | 1 (30 mm) | 1 (60 mm) | 1 (AC-20) | 2 (PUM-25) |
| 2 | 2 (40 mm) | 2 (70 mm) | 1 | 2 |
| 3 | 3 (50 mm) | 3 (80 mm) | 1 | 2 |
| 4 | 1 | 2 | 1 | 2 |
| 5 | 2 | 3 | 1 | 2 |
| 6 | 3 | 1 | 1 | 2 |
| 7 | 1 | 2 | 2 (PUM-20) | 1 (AC-25) |
| 8 | 2 | 3 | 2 | 1 |
| 9 | 3 | 1 | 2 | 1 |
| 10 | 1 | 3 | 2 | 1 |
| 11 | 2 | 1 | 2 | 1 |
| 12 | 3 | 2 | 2 | 1 |
| Structure Layer Type | 20 °C Dynamic Modulus/MPa | 50 °C Dynamic Modulus/MPa | Poisson Ratio |
|---|---|---|---|
| SMA-13 | 10,184 | 720 | 0.25 |
| AC-20 | 9383 | 642 | 0.25 |
| AC-25 | 9483 | 692 | 0.25 |
| PUM-20 | 11,310 | 7395 | 0.25 |
| PUM-25 | 10,567 | 7642 | 0.25 |
| Cement-stabilized gravel (base) | 16,000 | 16,000 | 0.25 |
| Cement-stabilized gravel (subbase) | 12,000 | 12,000 | 0.25 |
| subgrade | 70 | 70 | 0.40 |
| Number | Factor A | Factor B | Factor C | Factor D | Vertical Compressive Strain of Asphalt Surface/με | Tensile Stress of Base Bottom/10−3 MPa | Road Surface Deflection/0.01 mm | Maximum Shear Stress/10−3 Mpa | Vertical Compressive Strain of Subgrade Top/με | Material Cost/CNY Ten Thousand |
|---|---|---|---|---|---|---|---|---|---|---|
| 1 | 1 | 1 | 1 | 2 | 52.86 | 137.5 | 17.10 | 49.10 | 39.6 | 89.5 |
| 2 | 2 | 2 | 1 | 2 | 48.49 | 138.0 | 26.24 | 49.80 | 39.42 | 97.9 |
| 3 | 3 | 3 | 1 | 2 | 40.13 | 126.4 | 13.00 | 38.00 | 36.70 | 106.4 |
| 4 | 1 | 2 | 1 | 2 | 53.91 | 134.6 | 16.85 | 48.93 | 38.75 | 94.8 |
| 5 | 2 | 3 | 1 | 2 | 40.24 | 128.7 | 13.11 | 36.40 | 37.32 | 103.3 |
| 6 | 3 | 1 | 1 | 2 | 39.95 | 132.0 | 13.37 | 39.80 | 38.31 | 95.7 |
| 7 | 1 | 2 | 2 | 1 | 52.38 | 135.1 | 16.60 | 49.35 | 39.05 | 94.8 |
| 8 | 2 | 3 | 2 | 1 | 39.60 | 128.8 | 13.07 | 43.60 | 37.48 | 103.3 |
| 9 | 3 | 1 | 2 | 1 | 39.65 | 130.8 | 13.18 | 39.90 | 38.00 | 95.7 |
| 10 | 1 | 3 | 2 | 1 | 39.62 | 131.8 | 13.26 | 43.10 | 38.37 | 100.2 |
| 11 | 2 | 1 | 2 | 1 | 39.62 | 133.8 | 13.77 | 43.40 | 38.89 | 92.6 |
| 12 | 3 | 2 | 2 | 1 | 39.65 | 128.3 | 13.03 | 43.60 | 37.31 | 101.0 |
| Response | Range (ΔK) | Optimal Structure Combination | |||
|---|---|---|---|---|---|
| Factor A | Factor B | Factor C | Factor D | ||
| Vertical compressive strain of surface layer/με | 39.39 | 34.84 | 25.06 | 25.06 | A3B3C2D1 |
| Tensile stress of base bottom/10−3 MPa | 2.15 | 2.03 | 0.86 | 0.86 | A3B3C2D1 |
| Pavement surface deflection/0.01 mm | 13.61 | 20.28 | 41.76 | 41.76 | C2D2B3A3 |
| Maximum shear stress/10−3 Mpa | 29.18 | 30.58 | 0.92 | 0.92 | B3A3C1D2 |
| Vertical compressive strain of subgrade top/με | 5.45 | 4.93 | 1 | 1 | A3B3C1D2 |
| Material cost/CNY ten thousand | 19.5 | 39.7 | 0 | 0 | B1A1CD |
Disclaimer/Publisher’s Note: The statements, opinions and data contained in all publications are solely those of the individual author(s) and contributor(s) and not of MDPI and/or the editor(s). MDPI and/or the editor(s) disclaim responsibility for any injury to people or property resulting from any ideas, methods, instructions or products referred to in the content. |
© 2023 by the authors. Licensee MDPI, Basel, Switzerland. This article is an open access article distributed under the terms and conditions of the Creative Commons Attribution (CC BY) license (https://creativecommons.org/licenses/by/4.0/).
Share and Cite
Zhuang, W.; Bi, Y.; Liu, B.; Hou, D.; Jing, S.; Lu, X.; Sun, M. Mechanical Properties of Polyurethane Mixture and Load Response Behaviour of Polyurethane Composite Pavement. Polymers 2023, 15, 417. https://doi.org/10.3390/polym15020417
Zhuang W, Bi Y, Liu B, Hou D, Jing S, Lu X, Sun M. Mechanical Properties of Polyurethane Mixture and Load Response Behaviour of Polyurethane Composite Pavement. Polymers. 2023; 15(2):417. https://doi.org/10.3390/polym15020417
Chicago/Turabian StyleZhuang, Wei, Yufeng Bi, Baoju Liu, Derui Hou, Shuo Jing, Xiaojin Lu, and Min Sun. 2023. "Mechanical Properties of Polyurethane Mixture and Load Response Behaviour of Polyurethane Composite Pavement" Polymers 15, no. 2: 417. https://doi.org/10.3390/polym15020417
APA StyleZhuang, W., Bi, Y., Liu, B., Hou, D., Jing, S., Lu, X., & Sun, M. (2023). Mechanical Properties of Polyurethane Mixture and Load Response Behaviour of Polyurethane Composite Pavement. Polymers, 15(2), 417. https://doi.org/10.3390/polym15020417

