Investigation on Nanocomposites of Polysulfone and Different Ratios of Graphene Oxide with Structural Defects Repaired by Cellulose Nanocrystals
Abstract
:1. Introduction
2. Materials and Methods
2.1. Materials
2.2. Sample Preparation
2.3. Characterization Tests
2.3.1. X-ray Photoelectron Spectra (XPS)
2.3.2. Raman Spectra
2.3.3. Thermogravimetric Analysis (TGA)
2.3.4. Testing Mechanical Properties
2.3.5. Oxygen Transmission Rate (OTR)
3. Results and Discussion
3.1. Characterizations of Nanoparticles
3.1.1. XPS Spectra
3.1.2. Raman Spectra
3.1.3. Thermogravimetric Analysis (TGA)
3.2. Properties of Nanocomposites
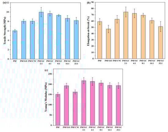
3.2.1. Mechanical Properties
3.2.2. Thermal Stability
3.2.3. Gas Barrier Properties
4. Conclusions
Author Contributions
Funding
Institutional Review Board Statement
Data Availability Statement
Acknowledgments
Conflicts of Interest
References
- Badrinezhad, L.; Ghasemi, S.; Azizian-Kalandaragh, Y.; Nematollahzadeh, A. Preparation and characterization of polysulfone/graphene oxide nanocomposite membranes for the separation of methylene blue from water. Polym. Bull. 2017, 75, 469–484. [Google Scholar] [CrossRef]
- Huang, L.; Zhang, M.; Li, C.; Shi, G. Graphene-Based Membranes for Molecular Separation. J. Phys. Chem. Lett. 2015, 6, 2806–2815. [Google Scholar] [CrossRef] [PubMed]
- Zhang, X.; Liu, Y.; Sun, C.; Ji, H.; Zhao, W.; Sun, S.; Zhao, C. Graphene oxide-based polymeric membranes for broad water pollutant removal. RSC Adv. 2015, 5, 100651–100662. [Google Scholar] [CrossRef]
- Ganesh, B.M.; Isloor, A.M.; Ismail, A.F. Enhanced hydrophilicity and salt rejection study of graphene oxide-polysulfone mixed matrix membrane. Desalination 2013, 313, 199–207. [Google Scholar] [CrossRef]
- Liu, G.; Jin, W.; Xu, N. Graphene-based membranes. Chem. Soc. Rev. 2015, 44, 5016–5030. [Google Scholar] [CrossRef]
- Onbattuvelli, V.P.; Enneti, R.K.; Simonsen, J.; Kate, K.H.; Balla, V.K.; Atre, S.V. Structure and thermal stability of cellulose nanocrystal/polysulfone nanocomposites. Mater. Today Commun. 2020, 22, 100797. [Google Scholar] [CrossRef]
- Dutta, S.; Pati, S.K. Novel properties of graphene nanoribbons: A review. J. Mater. Chem. 2010, 20, 8207–8223. [Google Scholar] [CrossRef]
- Yun, Y.S.; Bae, Y.H.; Kim, D.H.; Lee, J.Y.; Chin, I.-J.; Jin, H.-J. Reinforcing effects of adding alkylated graphene oxide to polypropylene. Carbon. 2011, 49, 3553–3559. [Google Scholar] [CrossRef]
- Stankovich, S.; Dikin, D.A.; Dommett, G.H.; Kohlhaas, K.M.; Zimney, E.J.; Stach, E.A.; Piner, R.D.; Nguyen, S.T.; Ruoff, R.S. Graphene-based composite materials. Nature 2006, 442, 282–286. [Google Scholar] [CrossRef]
- Park, O.-K.; Hwang, J.-Y.; Goh, M.; Lee, J.H.; Ku, B.-C.; You, N.-H. Mechanically Strong and Multifunctional Polyimide Nanocomposites Using Amimophenyl Functionalized Graphene Nanosheets. Macromolecules 2013, 46, 3505–3511. [Google Scholar] [CrossRef]
- Lee, C.; Wei, X.; Kysar, J.W.; Hone, J. Measurement of the elastic properties and intrinsic strength of monolayer graphene. Science 2008, 321, 385–388. [Google Scholar] [CrossRef]
- Cui, Y.; Kundalwal, S.I.; Kumar, S. Gas barrier performance of graphene/polymer nanocomposites. Carbon 2016, 98, 313–333. [Google Scholar] [CrossRef]
- Goyal, V.; Balandin, A.A. Thermal properties of the hybrid graphene-metal nano-micro-composites: Applications in thermal interface materials. Appl. Phys. Lett. 2012, 100, 073113. [Google Scholar] [CrossRef]
- Liang, J.; Huang, Y.; Zhang, L.; Wang, Y.; Ma, Y.; Guo, T.; Chen, Y. Molecular-Level Dispersion of Graphene into Poly(vinyl alcohol) and Effective Reinforcement of their Nanocomposites. Adv. Funct. Mater. 2009, 19, 2297–2302. [Google Scholar] [CrossRef]
- Yu, Y.; Xu, R.; Chen, J.; Kang, J.; Xiang, M.; Li, Y.; Li, L.; Sheng, X. Ordered structure effects on β-nucleated isotactic polypropylene/graphene oxide composites with different thermal histories. RSC Adv. 2019, 9, 19630–19640. [Google Scholar] [CrossRef]
- Rehman, S.; Gomez, J.; Villaro, E.; Cossey, D.; Karagiannidis, P.G. Betaio-Based Epoxy/Amine Reinforced with Reduced Graphene Oxide (rGO) or GLYMO-rGO: Study of Curing Kinetics, Mechanical Properties, Lamination and Bonding Performance. Nanomaterials 2022, 12, 222. [Google Scholar] [CrossRef]
- Dreyer, D.R.; Park, S.; Bielawski, C.W.; Ruoff, R.S. The chemistry of graphene oxide. Chem. Soc. Rev. 2010, 39, 228–240. [Google Scholar] [CrossRef]
- Potts, J.R.; Lee, S.H.; Alam, T.M.; An, J.; Stoller, M.D.; Piner, R.D.; Ruoff, R.S. Thermomechanical properties of chemically modified graphene/poly(methyl methacrylate) composites made by in situ polymerization. Carbon 2011, 49, 2615–2623. [Google Scholar] [CrossRef]
- Yu, Y.; Zeng, F.; Chen, J.; Kang, J.; Yang, F.; Cao, Y.; Xiang, M. Regulating polycrystalline behavior of the β-nucleated isotactic polypropylene/graphene oxide composites by melt memory effect. Polym. Compos. 2019, 40, E440–E448. [Google Scholar] [CrossRef]
- Li, W.; Tang, X.-Z.; Zhang, H.-B.; Jiang, Z.-G.; Yu, Z.-Z.; Du, X.-S.; Mai, Y.-W. Simultaneous surface functionalization and reduction of graphene oxide with octadecylamine for electrically conductive polystyrene composites. Carbon 2011, 49, 4724–4730. [Google Scholar] [CrossRef]
- Wang, G.; Shen, X.; Wang, B.; Yao, J.; Park, J. Synthesis and characterisation of hydrophilic and organophilic graphene nanosheets. Carbon 2009, 47, 1359–1364. [Google Scholar] [CrossRef]
- Ionita, M.; Pandele, A.M.; Crica, L.; Pilan, L. Improving the thermal and mechanical properties of polysulfone by incorporation of graphene oxide. Compos. Part B Eng. 2014, 59, 133–139. [Google Scholar] [CrossRef]
- Lee, S.-M.; Kim, J.-H.; Ahn, J.-H. Graphene as a flexible electronic material: Mechanical limitations by defect formation and efforts to overcome. Mater. Today 2015, 18, 336–344. [Google Scholar] [CrossRef]
- Shen, Y.X.; Song, W.; Barden, D.R.; Ren, T.; Lang, C.; Feroz, H.; Henderson, C.B.; Saboe, P.O.; Tsai, D.; Yan, H.; et al. Achieving high permeability and enhanced selectivity for Angstrom-scale separations using artificial water channel membranes. Nat. Commun. 2018, 9, 2294. [Google Scholar] [CrossRef]
- Nguyen, V.L.; Shin, B.G.; Duong, D.L.; Kim, S.T.; Perello, D.; Lim, Y.J.; Yuan, Q.H.; Ding, F.; Jeong, H.Y.; Shin, H.S.; et al. Seamless stitching of graphene domains on polished copper (111) foil. Adv. Mater. 2015, 27, 1376–1382. [Google Scholar] [CrossRef]
- Shen, C.; Liu, J.; Lu, Q.; Wang, G.; Wang, Z.; Liu, L. Pre-Vascularized Electrospun Graphene Oxide-Gelatin Chamber for Intestinal Wall Defect Repair. Int. J. Nanomed. 2022, 17, 681–695. [Google Scholar] [CrossRef]
- Boulanger, N.; Li, G.; Bakhiia, T.; Maslakov, K.I.; Romanchuk, A.Y.; Kalmykov, S.N.; Talyzin, A.V. Super-oxidized “activated graphene” as 3D analogue of defect graphene oxide: Oxidation degree vs U(VI) sorption. J. Hazard. Mater. 2023, 457, 131817. [Google Scholar] [CrossRef]
- Zhang, Z.; Li, Y.; Chen, C. Synergic effects of cellulose nanocrystals and alkali on the mechanical properties of sisal fibers and their bonding properties with epoxy. Compos. Part A Appl. Sci. Manuf. 2017, 101, 480–489. [Google Scholar] [CrossRef]
- Moon, R.J.; Martini, A.; Nairn, J.; Simonsen, J.; Youngblood, J. Cellulose nanomaterials review: Structure, properties and nanocomposites. Chem. Soc. Rev. 2011, 40, 3941–3994. [Google Scholar] [CrossRef]
- Yang, J.; Han, C.-R.; Duan, J.-F.; Ma, M.-G.; Zhang, X.-M.; Xu, F.; Sun, R.-C. Synthesis and characterization of mechanically flexible and tough cellulose nanocrystals–polyacrylamide nanocomposite hydrogels. Cellulose 2013, 20, 227–237. [Google Scholar] [CrossRef]
- Clarkson, C.M.; El Awad Azrak, S.M.; Schueneman, G.T.; Snyder, J.F.; Youngblood, J.P. Crystallization kinetics and morphology of small concentrations of cellulose nanofibrils (CNFs) and cellulose nanocrystals (CNCs) melt-compounded into poly(lactic acid) (PLA) with plasticizer. Polymer 2020, 187, 122101. [Google Scholar] [CrossRef]
- Peng, S.X.; Chang, H.; Kumar, S.; Moon, R.J.; Youngblood, J.P. A comparative guide to controlled hydrophobization of cellulose nanocrystals via surface esterification. Cellulose 2016, 23, 1825–1846. [Google Scholar] [CrossRef]
- Guzman de Villoria, R.; Hallander, P.; Ydrefors, L.; Nordin, P.; Wardle, B.L. In-plane strength enhancement of laminated composites via aligned carbon nanotube interlaminar reinforcement. Compos. Sci. Technol. 2016, 133, 33–39. [Google Scholar] [CrossRef]
- Trache, D.; Thakur, V.K.; Boukherroub, R. Cellulose Nanocrystals/Graphene Hybrids-A Promising New Class of Materials for Advanced Applications. Nanomaterials 2020, 10, 1523. [Google Scholar] [CrossRef]
- Pal, N.; Banerjee, S.; Roy, P.; Pal, K. Cellulose nanocrystals-silver nanoparticles-reduced graphene oxide based hybrid PVA nanocomposites and its antimicrobial properties. Int. J. Biol. Macromol. 2021, 191, 445–456. [Google Scholar] [CrossRef]
- Dhamodharan, D.; Dhinakaran, V.; Ghoderao, P.N.P.; Byun, H.-S.; Wu, L. Synergistic effect of cellulose nanocrystals-graphene oxide as an effective nanofiller for enhancing properties of solventless polymer nanocomposites. Compos. Part B Eng. 2022, 238, 109918. [Google Scholar] [CrossRef]
- You, J.; Won, S.; Jin, H.-J.; Yun, Y.S.; Wie, J.J. Nano-patching defects of reduced graphene oxide by cellulose nanocrystals in scalable polymer nanocomposites. Carbon 2020, 165, 18–25. [Google Scholar] [CrossRef]
- Xu, R.; Xu, G.; Wang, J.; Chen, J.; Yang, F.; Kang, J.; Xiang, M. Influence of l-lysine on the permeation and antifouling performance of polyamide thin film composite reverse osmosis membranes. RSC Adv. 2018, 8, 25236–25247. [Google Scholar] [CrossRef]
- ASTM D3985; Standard Test Method for Oxygen Gas Transmission Rate Through Plastic Film and Sheeting Using a Coulometric Sensor. ASTM International: West Conshohocken, PA, USA, 2017.
- Huang, Y.; Qin, Y.; Zhou, Y.; Niu, H.; Yu, Z.-Z.; Dong, J.-Y. Polypropylene/Graphene Oxide Nanocomposites Prepared by In Situ Ziegler−Natta Polymerization. Chem. Mater. 2010, 22, 4096–4102. [Google Scholar] [CrossRef]
- Estrade-Szwarckopf, H. XPS photoemission in carbonaceous materials: A “defect” peak beside the graphitic asymmetric peak. Carbon 2004, 42, 1713–1721. [Google Scholar] [CrossRef]
- TUINSTRA, F.; KOENIG, J.L. RAMAN SPECTRUM OF GRAPHITE. J. Chem. Phys. 1970, 53, 1126–1130. [Google Scholar] [CrossRef]
- Cheng, M.; Yang, R.; Zhang, L.; Shi, Z.; Yang, W.; Wang, D.; Xie, G.; Shi, D.; Zhang, G. Restoration of graphene from graphene oxide by defect repair. Carbon 2012, 50, 2581–2587. [Google Scholar] [CrossRef]
- Kumar, S.; Goswami, M.; Singh, N.; Siddiqui, H.; Natarajan, S.; Ashiq, M.; Kumar, S. Temperature-controlled exfoliation of graphite oxide: Studies of defects and transport properties of graphene oxide. Mater. Res. Express 2022, 9, 054001. [Google Scholar] [CrossRef]











| Sample Name | C–C (%) 284.6 eV | C–O (%) 286.5 eV | C=O (%) 288.6 eV | π–π* (%) 291.5 eV | Defects 285.6 eV | O–C–O (%) 288.1 eV |
|---|---|---|---|---|---|---|
| GO | 60.5 | 11.2 | 10.7 | 8.5 | 9.1 | 0 |
| CNC | 49.0 | 38.9 | 0 | 0 | 0 | 12.1 |
| GC 2:1 | 52.6 | 18.2 | 9.2 | 7.4 | 2.9 | 9.5 |
| GC 4:1 | 54.5 | 17.1 | 9.6 | 7.7 | 3.6 | 7.4 |
| GC 8:1 | 57.2 | 15.3 | 10.1 | 8.1 | 5.3 | 4.0 |
| GC 16:1 | 59.3 | 12.6 | 10.5 | 8.4 | 7.7 | 1.5 |
| GC 32:1 | 60.2 | 11.4 | 10.6 | 8.5 | 8.7 | 0.6 |
| Sample Name | Tensile Strength (MPa) | Elongation at Break (%) | Young’s Modulus (MPa) |
|---|---|---|---|
| PSF | 6.0 ± 0.3 | 59.2 ± 5.2 | 150.7 ± 9.5 |
| PSF/GO | 8.1 ± 0.4 | 47.4 ± 6.7 | 192.9 ± 12.5 |
| PSF/CNC | 8.1 ± 0.6 | 63.0 ± 6.4 | 162.6 ± 10.3 |
| PSF/GC 2:1 | 10.0 ± 1.0 | 74.6 ± 8.3 | 217.6 ± 15.8 |
| PSF/GC 4:1 | 9.7 ± 0.6 | 72.4 ± 7.4 | 213.8 ± 19.1 |
| PSF/GC 8:1 | 9.3 ± 0.3 | 69.5 ± 3.8 | 206.3 ± 11.4 |
| PSF/GC 16:1 | 8.7 ± 0.6 | 60.9 ± 4.2 | 194.6 ± 13.6 |
| PSF/GC 32:1 | 8.2 ± 0.8 | 51.3 ± 8.4 | 193.7 ± 14.5 |
| Sample Name | Td 3% (°C) | Changes (°C) |
|---|---|---|
| PSF | 499 | - |
| PSF/GO | 507 | +8 |
| PSF/CNC | 502 | +3 |
| PSF/GC 2:1 | 514 | +15 |
| PSF/GC 4:1 | 513 | +14 |
| PSF/GC 8:1 | 511 | +12 |
| PSF/GC 16:1 | 508 | +9 |
| PSF/GC 32:1 | 507 | +8 |
| Sample Name | O2 Permeability (Barrier) | Changes (%) |
|---|---|---|
| PSF | 1.40 | - |
| PSF/GO | 0.66 | −53.1 |
| PSF/CNC | 0.33 | −76.2 |
| PSF/GC 2:1 | 0.07 | −95.2 |
| PSF/GC 4:1 | 0.13 | −90.9 |
| PSF/GC 8:1 | 0.27 | −80.9 |
| PSF/GC 16:1 | 0.56 | −60.2 |
| PSF/GC 32:1 | 0.63 | −55.2 |
Disclaimer/Publisher’s Note: The statements, opinions and data contained in all publications are solely those of the individual author(s) and contributor(s) and not of MDPI and/or the editor(s). MDPI and/or the editor(s) disclaim responsibility for any injury to people or property resulting from any ideas, methods, instructions or products referred to in the content. |
© 2023 by the authors. Licensee MDPI, Basel, Switzerland. This article is an open access article distributed under the terms and conditions of the Creative Commons Attribution (CC BY) license (https://creativecommons.org/licenses/by/4.0/).
Share and Cite
Yu, Y.; Hu, Y.; Song, X.; Chen, J.; Kang, J.; Cao, Y.; Xiang, M. Investigation on Nanocomposites of Polysulfone and Different Ratios of Graphene Oxide with Structural Defects Repaired by Cellulose Nanocrystals. Polymers 2023, 15, 3821. https://doi.org/10.3390/polym15183821
Yu Y, Hu Y, Song X, Chen J, Kang J, Cao Y, Xiang M. Investigation on Nanocomposites of Polysulfone and Different Ratios of Graphene Oxide with Structural Defects Repaired by Cellulose Nanocrystals. Polymers. 2023; 15(18):3821. https://doi.org/10.3390/polym15183821
Chicago/Turabian StyleYu, Yansong, Yiwen Hu, Xiuduo Song, Jinyao Chen, Jian Kang, Ya Cao, and Ming Xiang. 2023. "Investigation on Nanocomposites of Polysulfone and Different Ratios of Graphene Oxide with Structural Defects Repaired by Cellulose Nanocrystals" Polymers 15, no. 18: 3821. https://doi.org/10.3390/polym15183821
APA StyleYu, Y., Hu, Y., Song, X., Chen, J., Kang, J., Cao, Y., & Xiang, M. (2023). Investigation on Nanocomposites of Polysulfone and Different Ratios of Graphene Oxide with Structural Defects Repaired by Cellulose Nanocrystals. Polymers, 15(18), 3821. https://doi.org/10.3390/polym15183821

