Sodium Trimetaphosphate Crosslinked Starch Films Reinforced with Montmorillonite
Abstract
:1. Introduction
2. Materials and Methods
2.1. Materials
2.2. Extraction of Starch from Lentils
2.3. Film Preparation
2.4. Thickness
2.5. Moisture Content
2.6. Barrier Properties
2.7. Mechanical Properties
2.8. Color Properties and Opacity
2.9. Statistical Analysis
3. Results and Discussion
3.1. Thickness
3.2. Moisture Content
3.3. Barrier Properties
3.4. Mechanical Properties
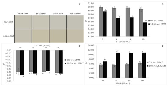
3.5. Color Properties and Opacity
4. Conclusions
Author Contributions
Funding
Institutional Review Board Statement
Data Availability Statement
Conflicts of Interest
References
- Lauer, M.K.; Smith, R.C. Recent advances in starch-based films toward food packaging applications: Physicochemical, mechanical, and functional properties. Compr. Rev. Food Sci. Food Saf. 2020, 19, 3031–3083. [Google Scholar] [CrossRef]
- Ballesteros-Mártinez, L.; Pérez-Cervera, C.; Andrade-Pizarro, R. Effect of glycerol and sorbitol concentrations on mechanical, optical, and barrier properties of sweet potato starch film. NFS J. 2020, 20, 1–9. [Google Scholar] [CrossRef]
- Rodrigues, A.A.M.; da Costa, R.R.; dos Santos, L.F.; Silva, S.D.; de Britto, D.; de Lima, M.A.C. Properties and characterization of biodegradable films obtained from different starch sources. Food Sci. Technol. 2021, 41, 476–482. [Google Scholar] [CrossRef]
- Vaezi, K.; Asadpour, G.; Sharifi, H. Effect of ZnO nanoparticles on the mechanical, barrier and optical properties of thermoplastic cationic starch/montmorillonite biodegradable films. Int. J. Biol. Macromol. 2019, 124, 519–529. [Google Scholar] [CrossRef]
- Sharma, V.; Kaur, M.; Sandhu, K.S.; Godara, S.K. Effect of cross-linking on physico-chemical, thermal, pasting, in vitro digestibility and film forming properties of Faba bean (Vicia faba L.) starch. Int. J. Biol. Macromol. 2020, 159, 243–249. [Google Scholar] [CrossRef]
- Chung, Y.-L.; Ansari, S.; Estevez, L.; Hayrapetyan, S.; Giannelis, E.P.; Lai, H.-M. Preparation and properties of biodegradable starch–clay nanocomposites. Carbohydr. Polym. 2010, 79, 391–396. [Google Scholar] [CrossRef]
- Bertuzzi, M.A.; Armada, M.; Gottifredi, J.C. Physicochemical characterization of starch based films. J. Food Eng. 2007, 82, 17–25. [Google Scholar] [CrossRef]
- Xie, F.W.; Pollet, E.; Halley, P.J.; Averous, L. Starch-based nano-biocomposites. Prog. Polym. Sci. 2013, 38, 1590–1628. [Google Scholar] [CrossRef]
- Zhu, S.P.; Chen, J.Y.; Zuo, Y.; Li, H.L.; Cao, Y. Montmorillonite/polypropylene nanocomposites: Mechanical properties, crystallization and rheological behaviors. Appl. Clay Sci. 2011, 52, 171–178. [Google Scholar] [CrossRef]
- Thakur, G.; Singh, A.; Singh, I. Chitosan-Montmorillonite Polymer Composites: Formulation and Evaluation of Sustained Release Tablets of Aceclofenac. Sci. Pharm. 2015, 84, 603–617. [Google Scholar] [CrossRef]
- Othman, S.H. Bio-nanocomposite Materials for Food Packaging Applications: Types of Biopolymer and Nano-sized Filler. In Proceedings of the 2nd International Conference on Agricultural and Food Engineering (CAFE), Kuala Lumpur, Malaysia, 1–3 December 2014; Volume 2, pp. 296–303. [Google Scholar] [CrossRef]
- Gao, F.; Li, D.; Bi, C.H.; Mao, Z.H.; Adhikari, B. Preparation and characterization of starch crosslinked with sodium trimetaphosphate and hydrolyzed by enzymes. Carbohydr. Polym. 2014, 103, 310–318. [Google Scholar] [CrossRef] [PubMed]
- Kaewtatip, K.; Thongmee, J. The effects of cross-linked starch on the properties of thermoplastic starch. Mater. Des. 2013, 45, 586–589. [Google Scholar] [CrossRef]
- Wang, H.X.; Liao, Y.; Wu, A.L.; Li, B.; Qian, J.; Ding, F.Y. Effect of Sodium Trimetaphosphate on Chitosan-Methylcellulose Composite Films: Physicochemical Properties and Food Packaging Application. Polymers 2019, 11, 368. [Google Scholar] [CrossRef] [PubMed]
- Lack, S.; Dulong, V.; Picton, L.; Le Cerf, D.; Condamine, E. High-resolution nuclear magnetic resonance spectroscopy studies of polysaccharides crosslinked by sodium trimetaphosphate: A proposal for the reaction mechanism. Carbohydr. Res. 2007, 342, 943–953. [Google Scholar] [CrossRef] [PubMed]
- Galus, S.; Mathieu, H.; Lenart, A.; Debeaufort, F. Effect of modified starch or maltodextrin incorporation on the barrier and mechanical properties, moisture sensitivity and appearance of soy protein isolate-based edible films. Innov. Food Sci. Emerg. Technol. 2012, 16, 148–154. [Google Scholar] [CrossRef]
- Mali, S.; Grossmann, M.V.E.; Garcia, M.A.; Martino, M.N.; Zaritzky, N.E. Microstructural characterization of yam starch films. Carbohydr. Polym. 2002, 50, 379–386. [Google Scholar] [CrossRef]
- Dai, L.M.; Zhang, J.; Cheng, F. Effects of starches from different botanical sources and modification methods on physicochemical properties of starch-based edible films. Int. J. Biol. Macromol. 2019, 132, 897–905. [Google Scholar] [CrossRef]
- Heydari, A.; Alemzadeh, I.; Vossoughi, M. Functional properties of biodegradable corn starch nanocomposites for food packaging applications. Mater. Des. 2013, 50, 954–961. [Google Scholar] [CrossRef]
- Mehboob, S.; Ali, T.M.; Sheikh, M.; Hasnain, A. Effects of cross linking and/or acetylation on sorghum starch and film characteristics. Int. J. Biol. Macromol. 2020, 155, 786–794. [Google Scholar] [CrossRef]
- Muller, C.M.O.; Laurindo, J.B.; Yamashita, F. Composites of thermoplastic starch and nanoclays produced by extrusion and thermopressing. Carbohydr. Polym. 2012, 89, 504–510. [Google Scholar] [CrossRef]
- Sun, S.L.; Liu, P.F.; Ji, N.; Hou, H.X.; Dong, H.Z. Effects of various cross-linking agents on the physicochemical properties of starch/PHA composite films produced by extrusion blowing. Food Hydrocoll. 2018, 77, 964–975. [Google Scholar] [CrossRef]
- Detduangchan, N.; Sridach, W.; Wittaya, T. Enhancement of the properties of biodegradable rice starch films by using chemical crosslinking agents. Int. Food Res. J. 2014, 21, 1225–1235. [Google Scholar]
- Saman, W.R.; Yuliasih, I. Production of biodegradable film based on sweet potato starch with hydroxypropylation-crosslinking. IOP Conf. Ser. Earth Environ. Sci. 2020, 472, 012009. [Google Scholar] [CrossRef]
- Zoumaki, M.; Tzetzis, D.; Mansour, G. Development and characterization of starch—Based nanocomposite materials. In Proceedings of the 23rd International Conference on Innovative Manufacturing Engineering and Energy (IManEE), Univ Pitesti, Pitesti, Romania, 22–24 May 2019; Volume 564. [Google Scholar] [CrossRef]
- Shayan, M.; Azizi, H.; Ghasemi, I.; Karrabi, M. Effect of modified starch and nanoclay particles on biodegradability and mechanical properties of cross-linked poly lactic acid. Carbohydr. Polym. 2015, 124, 237–244. [Google Scholar] [CrossRef] [PubMed]
- Detduangchan, N. Improvement of Biodegrable Rice Strach Film Properties by Using Crosslinking Agent and UV Treatment. Doctoral Dissertation, Prince of Songkla University, Hat Yai Songkhla, Thailand, 2012. [Google Scholar]
- Yildirim-Yalcin, M.; Seker, M.; Sadikoglu, H. Development and characterization of edible films based on modified corn starch and grape juice. Food Chem. 2019, 292, 6–13. [Google Scholar] [CrossRef]
- Sothornvit, R.; Hong, S.I.; An, D.J.; Rhim, J.W. Effect of clay content on the physical and antimicrobial properties of whey protein isolate/organo-clay composite films. LWT-Food Sci. Technol. 2010, 43, 279–284. [Google Scholar] [CrossRef]
- Wu, H.J.; Lei, Y.L.; Lu, J.Y.; Zhu, R.; Xiao, D.; Jiao, C.; Xia, R.; Zhang, Z.Q.; Shen, G.H.; Liu, Y.T.; et al. Effect of citric acid induced crosslinking on the structure and properties of potato starch/chitosan composite films. Food Hydrocoll. 2019, 97, 105208. [Google Scholar] [CrossRef]
- Li, K.J.; Zhu, J.X.; Guan, G.L.; Wu, H. Preparation of chitosan-sodium alginate films through layer-by-layer assembly and ferulic acid crosslinking: Film properties, characterization, and formation mechanism. Int. J. Biol. Macromol. 2019, 122, 485–492. [Google Scholar] [CrossRef]






| Code Name | STMP (% wt.) on Dry Starch Weight | MMT (% wt.) on Dry Starch Weight |
|---|---|---|
| A | 0 | 0 |
| B | 5 | 0 |
| C | 15 | 0 |
| D | 40 | 0 |
| E | 0 | 10.5 |
| F | 5 | 10.5 |
| G | 15 | 10.5 |
| H | 40 | 10.5 |
Disclaimer/Publisher’s Note: The statements, opinions and data contained in all publications are solely those of the individual author(s) and contributor(s) and not of MDPI and/or the editor(s). MDPI and/or the editor(s) disclaim responsibility for any injury to people or property resulting from any ideas, methods, instructions or products referred to in the content. |
© 2023 by the authors. Licensee MDPI, Basel, Switzerland. This article is an open access article distributed under the terms and conditions of the Creative Commons Attribution (CC BY) license (https://creativecommons.org/licenses/by/4.0/).
Share and Cite
Noulis, K.; Frangopoulos, T.; Arampatzidou, A.; Tsekmes, L.; Marinopoulou, A.; Goulas, A.; Karageorgiou, V. Sodium Trimetaphosphate Crosslinked Starch Films Reinforced with Montmorillonite. Polymers 2023, 15, 3540. https://doi.org/10.3390/polym15173540
Noulis K, Frangopoulos T, Arampatzidou A, Tsekmes L, Marinopoulou A, Goulas A, Karageorgiou V. Sodium Trimetaphosphate Crosslinked Starch Films Reinforced with Montmorillonite. Polymers. 2023; 15(17):3540. https://doi.org/10.3390/polym15173540
Chicago/Turabian StyleNoulis, Konstantinos, Theofilos Frangopoulos, Athanasia Arampatzidou, Lazaros Tsekmes, Anna Marinopoulou, Athanasios Goulas, and Vassilis Karageorgiou. 2023. "Sodium Trimetaphosphate Crosslinked Starch Films Reinforced with Montmorillonite" Polymers 15, no. 17: 3540. https://doi.org/10.3390/polym15173540
APA StyleNoulis, K., Frangopoulos, T., Arampatzidou, A., Tsekmes, L., Marinopoulou, A., Goulas, A., & Karageorgiou, V. (2023). Sodium Trimetaphosphate Crosslinked Starch Films Reinforced with Montmorillonite. Polymers, 15(17), 3540. https://doi.org/10.3390/polym15173540

