A Review on Bast-Fibre-Reinforced Hybrid Composites and Their Applications
Abstract
1. Introduction
Bast Fibre Properties and Economic Benefits
2. Chemical Treatment of Fibres
2.1. Alkali Treatment
2.2. Coupling Agents
2.3. Microbiological Treatment
3. Bast Hybrid Composites
3.1. Thermoplastics
3.2. Thermosets
4. Effects of Moisture Absorption
5. Properties of Bast-Fibre-Based Hybrid Composites
5.1. Mechanical Perfomance of Bast-Fibre-Based Hybrid
5.1.1. The Effect of Fibre Treatment on the Properties of Bast-Fibre-Based Hybrids
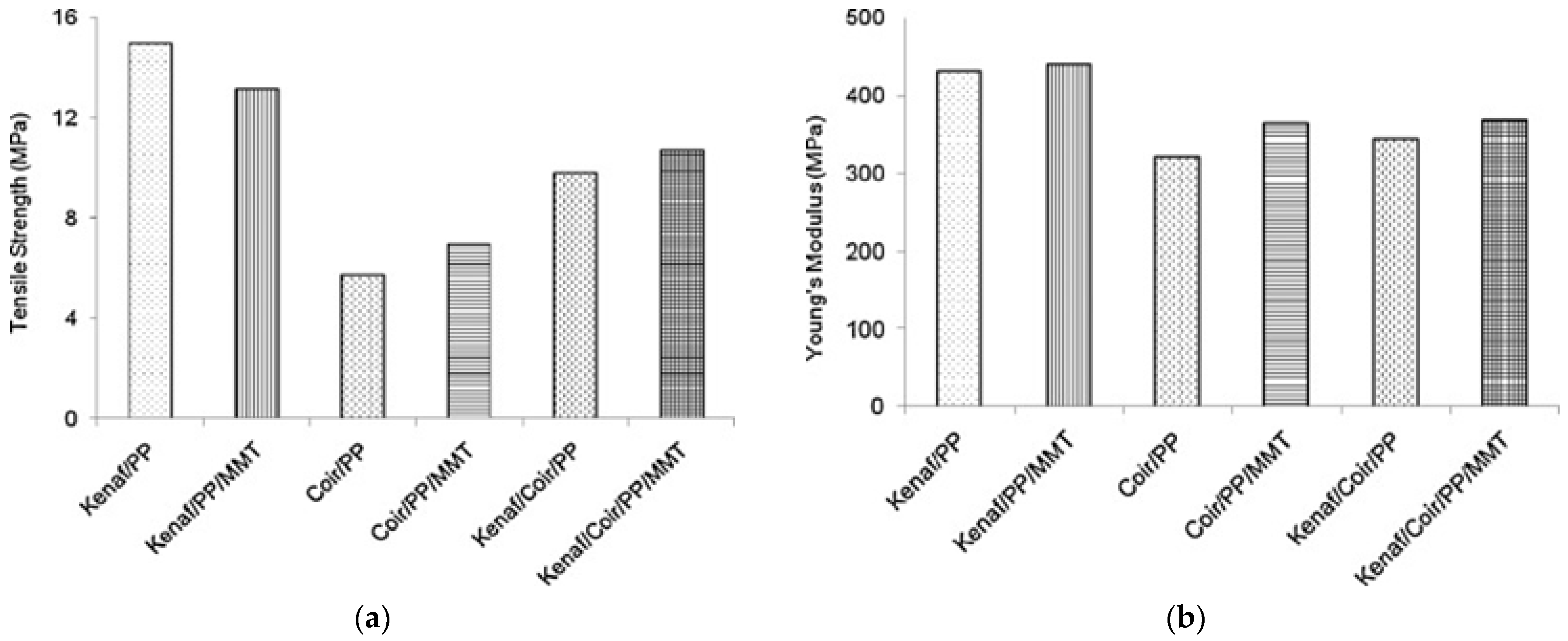
5.1.2. Effect of Loading of Bast Fibres on the Tensile Properties of Hybrid Composites
5.2. Viscoelastic Properties of Bast-Fibre-Based Hybrid
6. Thermal Properties of Bast-Fibre-Based Hybrid
7. Flame Resistance
8. Applications of Bast Hybrid Composites
8.1. Automotive
8.2. Biomedical Applications
8.3. Aerospace
8.4. Other Applications
9. Outlook
10. Conclusions
Funding
Institutional Review Board Statement
Data Availability Statement
Acknowledgments
Conflicts of Interest
References
- Barbière, R.; Touchard, F.; Chocinski-Arnault, L.; Mellier, D. Influence of moisture and drying on fatigue damage mechanisms in a woven hemp/epoxy composite: Acoustic emission and micro-CT analysis. Int. J. Fatigue 2020, 136, 105593. [Google Scholar] [CrossRef]
- Mahboob, Z.; Bougherara, H. Fatigue of flax-epoxy and other plant fibre composites: Critical review and analysis. Compos. Part A Appl. Sci. Manuf. 2018, 109, 440–462. [Google Scholar] [CrossRef]
- Saw, S.K.; Datta, C. Thermo mechanical properties of jute/bagasse hybrid fibre reinforced epoxy thermoset composites. BioResources 2009, 4, 1455–1475. [Google Scholar] [CrossRef]
- Mokhena, T.C.; Sadiku, E.R.; Mochane, M.J.; Ray, S.S. Mechanical properties of fire retardant wood-plastic composites: A review. Express Polym. Lett. 2021, 15, 744–780. [Google Scholar] [CrossRef]
- Mochane, M.J.; Mokhena, T.C.; Mokhothu, T.H.; Mtibe, A.; Sadiku, E.R.; Ray, S.S.; Ibrahim, I.D.; Daramola, O.O. Recent progress on natural fiber hybrid composites for advanced applications: A review. Express Polym. Lett. 2019, 13, 159–198. [Google Scholar] [CrossRef]
- Jayabal, S.; Natarajan, U.; Sathiyamurthy, S. Effect of glass hybridization and staking sequence on mechanical behaviour of interply coir–glass hybrid laminate. Bull. Mater. Sci. 2011, 34, 293–298. [Google Scholar] [CrossRef]
- Venkata Subba Reddy, E.; Varada Rajulu, A.; Hemachandra Reddy, K.; Ramachandra Reddy, G. Chemical Resistance and Tensile Properties of Glass and Bamboo Fibers Reinforced Polyester Hybrid Composites. J. Reinf. Plast. Compos. 2010, 29, 2119–2123. [Google Scholar] [CrossRef]
- Jothibasu, S.; Mohanamurugan, S.; Vijay, R.; Lenin Singaravelu, D.; Vinod, A.; Sanjay, M.R. Investigation on the mechanical behavior of areca sheath fibers/jute fibers/glass fabrics reinforced hybrid composite for light weight applications. J. Ind. Text. 2018, 49, 1036–1060. [Google Scholar] [CrossRef]
- Das, S.C.; Paul, D.; Grammatikos, S.A.; Siddiquee, M.A.B.; Papatzani, S.; Koralli, P.; Islam, J.M.M.; Khan, M.A.; Shauddin, S.M.; Khan, R.A.; et al. Effect of stacking sequence on the performance of hybrid natural/synthetic fiber reinforced polymer composite laminates. Compos. Struct. 2021, 276, 114525. [Google Scholar] [CrossRef]
- Barouni, A.; Lupton, C.; Jiang, C.; Saifullah, A.; Giasin, K.; Zhang, Z.; Dhakal, H.N. Investigation into the fatigue properties of flax fibre epoxy composites and hybrid composites based on flax and glass fibres. Compos. Struct. 2022, 281, 115046. [Google Scholar] [CrossRef]
- Pothan, L.A.; Potschke, P.; Habler, R.; Thomas, S. The Static and Dynamic Mechanical Properties of Banana and Glass Fiber Woven Fabric-Reinforced Polyester Composite. J. Compos. Mater. 2005, 39, 1007–1025. [Google Scholar] [CrossRef]
- Saleem, A.; Medina, L.; Skrifvars, M.; Berglin, L. Hybrid Polymer Composites of Bio-Based Bast Fibers with Glass, Carbon and Basalt Fibers for Automotive Applications—A Review. Molecules 2020, 25, 4933. [Google Scholar] [CrossRef] [PubMed]
- Krishnasamy, P.; G Rajamurugan, G.; Muralidharan, B.; Krishnaiah, R. General practice to enhance bast fiber composite properties for state of art applications-A Review. Eng. Res. Express 2022, 4, 012002. [Google Scholar] [CrossRef]
- Kiruthika, A.V. A review on physico-mechanical properties of bast fibre reinforced polymer composites. J. Build. Eng. 2017, 4, 91–99. [Google Scholar] [CrossRef]
- Summerscales, J.; Virk, A.; Hall, W. A review of bast fibres and their composites: Part 3—Modelling. Compos. Part A Appl. Sci. Manuf. 2013, 44, 132–139. [Google Scholar] [CrossRef]
- George, M.; Chae, M.; Bressler, D.C. Composite materials with bast fibres: Structural, technical, and environmental properties. Prog. Mater. Sci. 2016, 83, 1–23. [Google Scholar] [CrossRef]
- Ramesh, M. Kenaf (Hibiscus cannabinus L.) fibre based bio-materials: A review on processing and properties. Prog. Mater. Sci. 2016, 78–79, 1–92. [Google Scholar] [CrossRef]
- Kumar, S.; Gangil, B.; Prasad, L.; Patel, V.K. A Review on Mechanical Behaviour of Bast-Glass Fibre Based Hybrid Polymer Composites. Mater. Process. 2017, 4, 9576–9580. [Google Scholar] [CrossRef]
- Drupitha, M.; Muthuraj, R.; Misra, M.; Mohanty, A.K. Sustainable Biofillers and Their Biocomposites. In Progress in Polymer Research for Biomedical, Energy and Specialty Applications; CRC Press: Boca Raton, FL, USA, 2022; pp. 45–72. [Google Scholar]
- Puttegowda, M.; Rangappa, S.M.; Jawaid, M.; Shivanna, P.; Basavegowda, Y.; Saba, N. 15—Potential of natural/synthetic hybrid composites for aerospace applications. In Sustainable Composites for Aerospace Applications; Jawaid, M., Thariq, M., Eds.; Woodhead Publishing: Sawston, UK, 2018; pp. 315–351. [Google Scholar]
- Singh, J.K.; Rout, A.K.; Kumari, K. A review on Borassus flabellifer lignocellulose fiber reinforced polymer composites. Carbohydr. Polym. 2021, 262, 117929. [Google Scholar] [CrossRef]
- Nitta, Y.; Goda, K.; Noda, J.; Lee, W.I. Cross-sectional area evaluation and tensile properties of alkali-treated kenaf fibres. Compos. Part A Appl. Sci. Manuf. 2013, 49, 132–138. [Google Scholar] [CrossRef]
- Dhakal, H.N.; Skrifvars, M.; Adekunle, K.; Zhang, Z.Y. Falling weight impact response of jute/methacrylated soybean oil bio-composites under low velocity impact loading. Compos. Sci. Technol. 2014, 92, 134–141. [Google Scholar] [CrossRef]
- Li, N.; Yan, H.; Xia, L.; Mao, L.; Fang, Z.; Song, Y.; Wang, H. Flame retarding and reinforcing modification of ramie/polybenzoxazine composites by surface treatment of ramie fabric. Compos. Sci. Technol. 2015, 121, 82–88. [Google Scholar] [CrossRef]
- Shumao, L.; Jie, R.; Hua, Y.; Tao, Y.; Weizhong, Y. Influence of ammonium polyphosphate on the flame retardancy and mechanical properties of ramie fiber-reinforced poly(lactic acid) biocomposites. Polym. Int. 2010, 59, 242–248. [Google Scholar] [CrossRef]
- El-sabbagh, A.; Steuernagel, L.; Ziegmann, G. Low combustible polypropylene/flax/magnesium hydroxide composites: Mechanical, flame retardation characterization and recycling effect. J. Reinf. Plast. Compos. 2013, 32, 1030–1043. [Google Scholar] [CrossRef]
- Mohanavel, V.; Raja, T.; Yadav, A.; Ravichandran, M.; Winczek, J. Evaluation of Mechanical and Thermal Properties of Jute and Ramie Reinforced Epoxy-based Hybrid Composites. J. Nat. Fibers 2021, 19, 8022–8032. [Google Scholar] [CrossRef]
- Kim, N.K.; Lin, R.J.T.; Bhattacharyya, D. Flammability and mechanical behaviour of polypropylene composites filled with cellulose and protein based fibres: A comparative study. Compos. Part A Appl. Sci. Manuf. 2017, 100, 215–226. [Google Scholar] [CrossRef]
- Angelini, L.G.; Scalabrelli, M.; Tavarini, S.; Cinelli, P.; Anguillesi, I.; Lazzeri, A. Ramie fibers in a comparison between chemical and microbiological retting proposed for application in biocomposites. Ind. Crop. Prod. 2015, 75, 178–184. [Google Scholar] [CrossRef]
- Fragassa, C.; Pavlovic, A.; Santulli, C. Mechanical and impact characterisation of flax and basalt fibre vinylester composites and their hybrids. Compos. Part B Eng. 2018, 137, 247–259. [Google Scholar] [CrossRef]
- Fragassa, C.; Santulli, C.; Pavlović, A.; Šljivić, M. Improving performance and applicability of green composite materials by hybridization. Contemp. Mater. 2015, 6, 35–43. [Google Scholar] [CrossRef]
- Montazeri, A.; Safarabadi, M. A comparative study on adding chopped kenaf fibers to the core of glass/epoxy laminates under quasi-static indentation: Experimental and numerical approaches. J. Compos. Mater. 2022, 56, 3821–3833. [Google Scholar] [CrossRef]
- Jawaid, M.; Abdul Khalil, H.P.S.; Hassan, A.; Dungani, R.; Hadiyane, A. Effect of jute fibre loading on tensile and dynamic mechanical properties of oil palm epoxy composites. Compos. Part B Eng. 2013, 45, 619–624. [Google Scholar] [CrossRef]
- Indra Reddy, M.; Prasad Varma, U.R.; Ajit Kumar, I.; Manikanth, V.; Kumar Raju, P.V. Comparative Evaluation on Mechanical Properties of Jute, Pineapple leaf fiber and Glass fiber Reinforced Composites with Polyester and Epoxy Resin Matrices. Mater. Today Proc. 2018, 5, 5649–5654. [Google Scholar] [CrossRef]
- Petrucci, R.; Santulli, C.; Puglia, D.; Sarasini, F.; Torre, L.; Kenny, J.M. Mechanical characterisation of hybrid composite laminates based on basalt fibres in combination with flax, hemp and glass fibres manufactured by vacuum infusion. Mater. Des. 2013, 49, 728–735. [Google Scholar] [CrossRef]
- Das, S. Mechanical properties of waste paper/jute fabric reinforced polyester resin matrix hybrid composites. Carbohydr. Polym. 2017, 172, 60–67. [Google Scholar] [CrossRef] [PubMed]
- Feng, N.L.; Malingam, S.D.; Ping, C.W.; Razali, N. Mechanical properties and water absorption of kenaf/pineapple leaf fiber-reinforced polypropylene hybrid composites. Polym. Compos. 2020, 41, 1255–1264. [Google Scholar] [CrossRef]
- Huda, M.S.; Drzal, L.T.; Mohanty, A.K.; Misra, M. Effect of fiber surface-treatments on the properties of laminated biocomposites from poly(lactic acid) (PLA) and kenaf fibers. Compos. Sci. Technol. 2008, 68, 424–432. [Google Scholar] [CrossRef]
- Khoshnava, S.M.; Rostami, R.; Ismail, M.; Rahmat, A.R.; Ogunbode, B.E. Woven hybrid Biocomposite: Mechanical properties of woven kenaf bast fibre/oil palm empty fruit bunches hybrid reinforced poly hydroxybutyrate biocomposite as non-structural building materials. Constr. Build. Mater. 2017, 154, 155–166. [Google Scholar] [CrossRef]
- Felix Sahayaraj, A.; Muthukrishnan, M.; Ramesh, M. Experimental investigation on physical, mechanical, and thermal properties of jute and hemp fibers reinforced hybrid polylactic acid composites. Polym. Compos. 2022, 43, 2854–2863. [Google Scholar] [CrossRef]
- Yadav, S.; Manickavasagam, V.M.; Manikandan, K.P.; Balasubramanian, M.; Jogendra Kumar, M.; Subbiah, R. Mechanical and optimization studies of polyethylene/snail shell/kenaf fiber hybrid bio composite. Mater. Today Proc. 2022, 69, 1087–1095. [Google Scholar] [CrossRef]
- Pappu, A.; Pickering, K.L.; Thakur, V.K. Manufacturing and characterization of sustainable hybrid composites using sisal and hemp fibres as reinforcement of poly (lactic acid) via injection moulding. Ind. Crop. Prod. 2019, 137, 260–269. [Google Scholar] [CrossRef]
- Islam, M.S.; Pickering, K.L.; Foreman, N.J. Influence of alkali treatment on the interfacial and physico-mechanical properties of industrial hemp fibre reinforced polylactic acid composites. Compos. Part A Appl. Sci. Manuf. 2010, 41, 596–603. [Google Scholar] [CrossRef]
- Sarasini, F.; Tirillò, J.; Puglia, D.; Dominici, F.; Santulli, C.; Boimau, K.; Valente, T.; Torre, L. Biodegradable polycaprolactone-based composites reinforced with ramie and borassus fibres. Compos. Struct. 2017, 167, 20–29. [Google Scholar] [CrossRef]
- Jawaid, M.; Abdul Khalil, H.P.S.; Abu Bakar, A. Woven hybrid composites: Tensile and flexural properties of oil palm-woven jute fibres based epoxy composites. Mater. Sci. Eng. A 2011, 528, 5190–5195. [Google Scholar] [CrossRef]
- Yashas Gowda, T.G.; Vinod, A.; Madhu, P.; Vinod Kushvaha Sanjay, M.R.; Siengchin, S. A new study on flax-basalt-carbon fiber reinforced epoxy/bioepoxy hybrid composites. Polym. Compos. 2021, 42, 1891–1900. [Google Scholar] [CrossRef]
- Kangokar Mukesh, S.; Bettagowda, N.; Praveenkumara, J.; Thyavihalli Girijappa, Y.G.; Puttegowda, M.; Mavinkere Rangappa, S.; Siengchin, S.; Gorbatyuk, S. Influence of stacking sequence on flax/kevlar hybrid epoxy composites: Mechanical and morphological studies. Polym. Compos. 2022, 43, 3782–3793. [Google Scholar] [CrossRef]
- Gu, Y.; Tan, X.; Yang, Z.; Li, M.; Zhang, Z. Hot compaction and mechanical properties of ramie fabric/epoxy composite fabricated using vacuum assisted resin infusion molding. Mater. Des. 2014, 56, 852–861. [Google Scholar] [CrossRef]
- Petrucci, R.; Santulli, C.; Puglia, D.; Nisini, E.; Sarasini, F.; Tirillò, J.; Torre, L.; Minak, G.; Kenny, J.M. Impact and post-impact damage characterisation of hybrid composite laminates based on basalt fibres in combination with flax, hemp and glass fibres manufactured by vacuum infusion. Compos. Part B Eng. 2015, 69, 507–515. [Google Scholar] [CrossRef]
- George, J.; Bhagawan, S.; Thomas, S. Effects of environment on the properties of low-density polyethylene composites reinforced with pineapple-leaf fibre. Compos. Sci. Technol. 1998, 58, 1471–1485. [Google Scholar] [CrossRef]
- Ray, B. Effects of changing environment and loading speed on mechanical behavior of FRP composites. J. Reinf. Plast. Compos. 2006, 25, 1227–1240. [Google Scholar] [CrossRef]
- Dhakal, H.N.; Zhang, Z.; Richardson, M.O. Effect of water absorption on the mechanical properties of hemp fibre reinforced unsaturated polyester composites. Compos. Sci. Technol. 2007, 67, 1674–1683. [Google Scholar] [CrossRef]
- Abdullah, M.Z.; Dan-mallam, Y.; Yusoff, P.S.M.M. Effect of Environmental Degradation on Mechanical Properties of Kenaf/Polyethylene Terephthalate Fiber Reinforced Polyoxymethylene Hybrid Composite. Adv. Mater. Sci. Eng. 2013, 2013, 671481. [Google Scholar] [CrossRef]
- Girisha, C.; Sanjeevamurthy, G.; Srinivas, G. Sisal/coconut coir natural fibers-epoxy composites: Water absorption and mechanical properties. Int. J. Eng. Innov. Technol. 2012, 2, 166–170. [Google Scholar]
- Lin, Q.; Zhou, X.; Dai, G. Effect of hydrothermal environment on moisture absorption and mechanical properties of wood flour–filled polypropylene composites. J. Appl. Polym. Sci. 2002, 85, 2824–2832. [Google Scholar] [CrossRef]
- Kim, H.J. Effect of water absorption fatigue on mechanical properties of sisal textile-reinforced composites. Int. J. Fatigue 2006, 28, 1307–1314. [Google Scholar] [CrossRef]
- Osman, E.; Vakhguelt, A.; Sbarski, I.; Mutasher, S. Water absorption behavior and its effect on the mechanical properties of kenaf natural fiber unsaturated polyester composites. In Proceedings of the 18th International Conference on Composite Materials, Jeju, Republic of Korea, 21–26 August 2011; pp. 2–7. [Google Scholar]
- Silva, C.C.d.; Freire Júnior, R.C.S.; Ford, E.T.L.C.; Dantas, C.M.; Santos, J.K.D.d.; Aquino, E.M.F.d. Mechanical behavior and water absorption in sisal/glass hybrid composites. Matéria (Rio De Jan.) 2018, 23. [Google Scholar] [CrossRef]
- Sanjeevi, S.; Shanmugam, V.; Kumar, S.; Ganesan, V.; Sas, G.; Johnson, D.J.; Shanmugam, M.; Ayyanar, A.; Naresh, K.; Neisiany, R.E. Effects of water absorption on the mechanical properties of hybrid natural fibre/phenol formaldehyde composites. Sci. Rep. 2021, 11, 13385. [Google Scholar] [CrossRef] [PubMed]
- Hosseini, S.B.; Hedjazi, S.; Jamalirad, L.; Sukhtesaraie, A. Effect of nano-SiO2 on physical and mechanical properties of fiber reinforced composites (FRCs). J. Indian Acad. Wood Sci. 2014, 11, 116–121. [Google Scholar] [CrossRef]
- Ibrahim, H.; Farag, M.; Megahed, H.; Mehanny, S. Characteristics of starch-based biodegradable composites reinforced with date palm and flax fibers. Carbohydr. Polym. 2014, 101, 11–19. [Google Scholar] [CrossRef] [PubMed]
- Apeagyei, A.K.; Grenfell, J.R.; Airey, G.D. Influence of aggregate absorption and diffusion properties on moisture damage in asphalt mixtures. Road Mater. Pavement Des. 2015, 16, 404–422. [Google Scholar] [CrossRef]
- Gudayu, A.D.; Steuernagel, L.; Meiners, D.; Gideon, R. Effect of surface treatment on moisture absorption, thermal, and mechanical properties of sisal fiber. J. Ind. Text. 2020, 51, 2853S–2873S. [Google Scholar] [CrossRef]
- Kaboorani, A. Characterizing water sorption and diffusion properties of wood/plastic composites as a function of formulation design. Constr. Build. Mater. 2017, 136, 164–172. [Google Scholar] [CrossRef]
- Mokhothu, T.H.; John, M.J. Review on hygroscopic aging of cellulose fibres and their biocomposites. Carbohydr. Polym. 2015, 131, 337–354. [Google Scholar] [CrossRef] [PubMed]
- Meenalochani, K.; Reddy, B.V. A review on water absorption behavior and its effect on mechanical properties of natural fibre reinforced composites. Int. J. Innovat. Res. Adv. Eng 2017, 4, 143–147. [Google Scholar]
- Standard Test Method for Water Absorption of Plastics. Available online: file.yizimg.com/175706/2011090909475715.pdf (accessed on 27 July 2023).
- Akil, H.M.; Cheng, L.W.; Ishak, Z.M.; Bakar, A.A.; Abd Rahman, M. Water absorption study on pultruded jute fibre reinforced unsaturated polyester composites. Compos. Sci. Technol. 2009, 69, 1942–1948. [Google Scholar] [CrossRef]
- Jannah, M.; Mariatti, M.; Abu Bakar, A.; Abdul Khalil, H. Effect of chemical surface modifications on the properties of woven banana-reinforced unsaturated polyester composites. J. Reinf. Plast. Compos. 2009, 28, 1519–1532. [Google Scholar] [CrossRef]
- Rashdi, A.; Sapuan, S.; Ahmad, M.; Khalina, A. Combined Effects of Water Absorption Due to Water Immersion, Soil Buried and Natural Weather on Mechanical Properties Of Kenaf Fibre Unsaturated Polyester Composites (KFUPC). Int. J. Mech. Mater. Eng. 2010, 5, 11–17. [Google Scholar]
- Rashdi, A.A.A.; Salit, M.S.; Abdan, K.; Megat, M.M.H. Water absorption behaviour of kenaf reinforced unsaturated polyester composites and its influence on their mechanical properties. Pertanika J. Sci. Technol. 2010, 18, 433–440. [Google Scholar]
- Chen, T.; Liu, W.; Qiu, R. Mechanical properties and water absorption of hemp fibers–reinforced unsaturated polyester composites: Effect of fiber surface treatment with a heterofunctional monomer. BioResources 2013, 8, 2780–2791. [Google Scholar] [CrossRef]
- Pandian, A.; Vairavan, M.; Jebbas Thangaiah, W.J.; Uthayakumar, M. Effect of moisture absorption behavior on mechanical properties of basalt fibre reinforced polymer matrix composites. J. Compos. 2014, 2014, 587980. [Google Scholar] [CrossRef]
- Muñoz, E.; García-Manrique, J.A. Water absorption behaviour and its effect on the mechanical properties of flax fibre reinforced bioepoxy composites. Int. J. Polym. Sci. 2015, 2015, 390275. [Google Scholar] [CrossRef]
- Mokhothu, T.H.; John, M.J. Bio-based coatings for reducing water sorption in natural fibre reinforced composites. Sci. Rep. 2017, 7, 13335. [Google Scholar] [CrossRef] [PubMed]
- Norizan, M.N.; Abdan, K.; Salit, M.S.; Mohamed, R. Physical, mechanical and thermal properties of sugar palm yarn fibre loading on reinforced unsaturated polyester composites. J. Phys. Sci. 2017, 28, 115–136. [Google Scholar] [CrossRef]
- Tezara, C.; Hadi, A.E.; Siregar, J.P.; Muhamad, Z.; Hamdan, M.H.M.; Oumer, A.N.; Jaafar, J.; Irawan, A.P.; Rihayat, T.; Fitriyana, D.F. The effect of hybridisation on mechanical properties and water absorption behaviour of woven jute/ramie reinforced epoxy composites. Polymers 2021, 13, 2964. [Google Scholar] [CrossRef] [PubMed]
- Chandgude, S.; Salunkhe, S. Biofiber-reinforced polymeric hybrid composites: An overview on mechanical and tribological performance. Polym. Compos. 2020, 41, 3908–3939. [Google Scholar] [CrossRef]
- Paturel, A.; Dhakal, H.N. Influence of water absorption on the low velocity falling weight impact damage behaviour of flax/glass reinforced vinyl ester hybrid composites. Molecules 2020, 25, 278. [Google Scholar] [CrossRef] [PubMed]
- Muthusamy, K.; Arumugam, K.; Virumandampalayam Ponnusamy, A. Evaluation of Wear Properties and Water Absorption Behavior of Banana and Sisal Fiber Reinforced Epoxy Hybrid Composites: Influence of Fiber Length. J. Nat. Fibers 2021, 19, 10447–10461. [Google Scholar] [CrossRef]
- Edhirej, A.; Sapuan, S.M.; Jawaid, M.; Zahari, N.I. Cassava/sugar palm fiber reinforced cassava starch hybrid composites: Physical, thermal and structural properties. Int. J. Biol. Macromol. 2017, 101, 75–83. [Google Scholar] [CrossRef]
- Maslinda, A.B.; Abdul Majid, M.S.; Ridzuan, M.J.M.; Afendi, M.; Gibson, A.G. Effect of water absorption on the mechanical properties of hybrid interwoven cellulosic-cellulosic fibre reinforced epoxy composites. Compos. Struct. 2017, 167, 227–237. [Google Scholar] [CrossRef]
- Srinivasan, V.S.; Rajendra Boopathy, S.; Sangeetha, D.; Vijaya Ramnath, B. Evaluation of mechanical and thermal properties of banana–flax based natural fibre composite. Mater. Des. 2014, 60, 620–627. [Google Scholar] [CrossRef]
- Vijaya Ramnath, B.; Sharavanan, R.; Chandrasekaran, M.; Elanchezhian, C.; Sathyanarayanan, R.; Niranjan Raja, R.; Junaid Kokan, S. Experimental determination of mechanical properties of banana jute hybrid composite. Fibers Polym. 2015, 16, 164–172. [Google Scholar] [CrossRef]
- Asim, M.; Paridah, M.T.; Saba, N.; Jawaid, M.; Alothman, O.Y.; Nasir, M.; Almutairi, Z. Thermal, physical properties and flammability of silane treated kenaf/pineapple leaf fibres phenolic hybrid composites. Compos. Struct. 2018, 202, 1330–1338. [Google Scholar] [CrossRef]
- Asim, M.; Jawaid, M.; Abdan, K.; Ishak, M.R. The Effect of Silane Treated Fibre Loading on Mechanical Properties of Pineapple Leaf/Kenaf Fibre Filler Phenolic Composites. J. Polym. Environ. 2018, 26, 1520–1527. [Google Scholar] [CrossRef]
- Vijaya Ramnath, B.; Rajesh, S.; Elanchezhian, C.; Santosh Shankar, A.; Pithchai Pandian, S.; Vickneshwaran, S.; Sundar Rajan, R. Investigation on mechanical behaviour of twisted natural fiber hybrid composite fabricated by vacuum assisted compression molding technique. Fibers Polym. 2016, 17, 80–87. [Google Scholar] [CrossRef]
- Murugan, M.A.; Jayaseelan, V.; Jayabalakrishnan, D.; Maridurai, T.; Kumar, S.S.; Ramesh, G.; Prakash, V.R.A. Low Velocity Impact and Mechanical Behaviour of Shot Blasted SiC Wire-Mesh and Silane-Treated Aloevera/Hemp/Flax-Reinforced SiC Whisker Modified Epoxy Resin Composites. Silicon 2020, 12, 1847–1856. [Google Scholar] [CrossRef]
- Islam, M.S.; Hasbullah, N.A.B.; Hasan, M.; Talib, Z.A.; Jawaid, M.; Haafiz, M.K.M. Physical, mechanical and biodegradable properties of kenaf/coir hybrid fiber reinforced polymer nanocomposites. Mater. Today Commun. 2015, 4, 69–76. [Google Scholar] [CrossRef]
- Mulenga, T.K.; Ude, A.U.; Vivekanandhan, C. Concise review on the mechanical characteristics of hybrid natural fibres with filler content. AIMS Mater. Sci. 2020, 7, 650–664. [Google Scholar] [CrossRef]
- Shanmugam, D.; Thiruchitrambalam, M. Static and dynamic mechanical properties of alkali treated unidirectional continuous Palmyra Palm Leaf Stalk Fiber/jute fiber reinforced hybrid polyester composites. Mater. Des. 2013, 50, 533–542. [Google Scholar] [CrossRef]
- Athijayamani, A.; Thiruchitrambalam, M.; Natarajan, U.; Pazhanivel, B. Effect of moisture absorption on the mechanical properties of randomly oriented natural fibers/polyester hybrid composite. Mater. Sci. Eng. A 2009, 517, 344–353. [Google Scholar] [CrossRef]
- Asim, M.; Jawaid, M.; Abdan, K.; Ishak, M.R. Effect of pineapple leaf fibre and kenaf fibre treatment on mechanical performance of phenolic hybrid composites. Fibers Polym. 2017, 18, 940–947. [Google Scholar] [CrossRef]
- Saba, N.; Paridah, M.T.; Abdan, K.; Ibrahim, N.A. Dynamic mechanical properties of oil palm nano filler/kenaf/epoxy hybrid nanocomposites. Constr. Build. Mater. 2016, 124, 133–138. [Google Scholar] [CrossRef]
- Gupta, M.K. Effect of frequencies on dynamic mechanical properties of hybrid jute/sisal fibre reinforced epoxy composite. Adv. Mater. Process. Technol. 2017, 3, 651–664. [Google Scholar] [CrossRef]
- Gupta, M.K.; Srivastava, R.K. Effect of Sisal Fibre Loading on Dynamic Mechanical Analysis and Water Absorption Behaviour of Jute Fibre Epoxy Composite. Mater. Today Proc. 2015, 2, 2909–2917. [Google Scholar] [CrossRef]
- Jawaid, M.; Abdul Khalil, H.P.S.; Alattas, O.S. Woven hybrid biocomposites: Dynamic mechanical and thermal properties. Compos. Part A Appl. Sci. Manuf. 2012, 43, 288–293. [Google Scholar] [CrossRef]
- Cavalcanti, D.K.K.; Banea, M.D.; Neto, J.S.S.; Lima, R.A.A. Comparative analysis of the mechanical and thermal properties of polyester and epoxy natural fibre-reinforced hybrid composites. J. Compos. Mater. 2020, 55, 1683–1692. [Google Scholar] [CrossRef]
- Aisyah, H.A.; Paridah, M.T.; Sapuan, S.M.; Khalina, A.; Berkalp, O.B.; Lee, S.H.; Lee, C.H.; Nurazzi, N.M.; Ramli, N.; Wahab, M.S.; et al. Thermal Properties of Woven Kenaf/Carbon Fibre-Reinforced Epoxy Hybrid Composite Panels. Int. J. Polym. Sci. 2019, 2019, 5258621. [Google Scholar] [CrossRef]
- Braga, R.A.; Magalhaes, P.A.A. Analysis of the mechanical and thermal properties of jute and glass fiber as reinforcement epoxy hybrid composites. Mater. Sci. Eng. C 2015, 56, 269–273. [Google Scholar] [CrossRef]
- Kumar, M.A.; Ramachandra Reddy, G. Mechanical & Thermal Properties of Epoxy Based Hybrid Composites Reinforced with Jute/Sansevieria cylindrica Fibres. Int. Lett. Chem. Phys. Astron. 2014, 38, 191–197. [Google Scholar] [CrossRef]
- Chee, S.S.; Jawaid, M.; Sultan, M.T.H.; Alothman, O.Y.; Abdullah, L.C. Accelerated weathering and soil burial effects on colour, biodegradability and thermal properties of bamboo/kenaf/epoxy hybrid composites. Polym. Test. 2019, 79, 106054. [Google Scholar] [CrossRef]
- Du, S.-l.; Lin, X.-b.; Jian, R.-k.; Deng, C.; Wang, Y.-z. Flame-retardant wrapped ramie fibers towards suppressing “candlewick effect” of polypropylene/ramie fiber composites. Chin. J. Polym. Sci. 2015, 33, 84–94. [Google Scholar] [CrossRef]
- Wang, C.; Cai, L.; Shi, S.Q.; Wang, G.; Cheng, H.; Zhang, S. Thermal and flammable properties of bamboo pulp fiber/high-density polyethylene composites: Influence of preparation technology, nano calcium carbonate and fiber content. Renew. Energy 2019, 134, 436–445. [Google Scholar] [CrossRef]
- Mokhena, T.C.; Sadiku, E.R.; Ray, S.S.; Mochane, M.J.; Matabola, K.P.; Motloung, M. Flame retardancy efficacy of phytic acid: An overview. J. Appl. Polym. Sci. 2022, 139, e52495. [Google Scholar] [CrossRef]
- Mokhena, T.C.; Sadiku, E.R.; Ray, S.S.; Mochane, M.J.; Motaung, T.E. The effect of expanded graphite/clay nanoparticles on thermal, rheological, and fire-retardant properties of poly(butylene succinate). Polym. Compos. 2021, 42, 6370–6382. [Google Scholar] [CrossRef]
- Fang, L.; Lu, X.; Zeng, J.; Chen, Y.; Tang, Q. Investigation of the Flame-Retardant and Mechanical Properties of Bamboo Fiber-Reinforced Polypropylene Composites with Melamine Pyrophosphate and Aluminum Hypophosphite Addition. Materials 2020, 13, 479. [Google Scholar] [CrossRef] [PubMed]
- Kumar, R.; Chauhan, S. Effect of ammonium polyphosphate as synergist with nano silica dioxide on flammability of boron compound pretreated bamboo flour-HDPE composite. Fire Saf. J. 2022, 133, 103647. [Google Scholar] [CrossRef]
- Phiri, G.; Khoathane, M.C.; Sadiku, E.R. Effect of fibre loading on mechanical and thermal properties of sisal and kenaf fibre-reinforced injection moulded composites. J. Reinf. Plast. Compos. 2013, 33, 283–293. [Google Scholar] [CrossRef]
- Yu, T.; Jiang, N.; Li, Y. Functionalized multi-walled carbon nanotube for improving the flame retardancy of ramie/poly(lactic acid) composite. Compos. Sci. Technol. 2014, 104, 26–33. [Google Scholar] [CrossRef]
- Dang, C.-Y.; Shen, X.-J.; Nie, H.-J.; Yang, S.; Shen, J.-X.; Yang, X.-H.; Fu, S.-Y. Enhanced interlaminar shear strength of ramie fiber/polypropylene composites by optimal combination of graphene oxide size and content. Compos. Part B Eng. 2019, 168, 488–495. [Google Scholar] [CrossRef]
- Zhang, K.; Gong, Y.; Niu, P.; Wang, X.; Yang, J. Properties of polypropylene/hemp fibers flame-retardant composites: Effects of different processing methods. J. Reinf. Plast. Compos. 2013, 32, 644–653. [Google Scholar] [CrossRef]
- Nurazzi, N.M.; Asyraf, M.R.M.; Fatimah Athiyah, S.; Shazleen, S.S.; Rafiqah, S.A.; Harussani, M.M.; Kamarudin, S.H.; Razman, M.R.; Rahmah, M.; Zainudin, E.S.; et al. A review on mechanical performance of hybrid natural fiber polymer composites for structural applications. Polymers 2021, 13, 2170. [Google Scholar] [CrossRef]
- Sadrmanesh, V.; Chen, Y. Bast fibres: Structure, processing, properties, and applications. Int. Mater. Rev. 2019, 64, 381–406. [Google Scholar] [CrossRef]
- Todor, M.P.; Kiss, I.; Cioata, V.G. Development of fabric-reinforced polymer matrix composites using bio-based components from post-consumer textile waste. Mater. Today Proc. 2020, 45, 4150–4156. [Google Scholar] [CrossRef]
- Graupner, N.; Lehmann, K.H.; Weber, D.E.; Hilgers, H.W.; Bell, E.G.; Walenta, I.; Berger, L.; Brückner, T.; Kölzig, K.; Randerath, H.; et al. Novel low-twist bast fibre yarns from flax tow for high-performance composite applications. Materials 2021, 14, 105. [Google Scholar] [CrossRef] [PubMed]
- Haris, M.Y.; Laila, D.; Zainudin, E.S.; Mustapha, F.; Zahari, R.; Halim, Z. Preliminary Review of Biocomposites Materials for Aircraft Radome Application. Key Eng. Mater. 2011, 471–472, 563–567. [Google Scholar] [CrossRef]
- Libo Yan, L.; Nawawi Chouw, N.; Jayaraman, K. Flax fibre and its composites—A review. Compos. Part B Eng. 2014, 56, 296–317. [Google Scholar] [CrossRef]
- Fiore, V.; Scalici, T.; Sarasini, F.; Tirilló, J.; Calabrese, L. Salt-fog spray aging of jute-basalt reinforced hybrid structures: Flexural and low velocity impact response. Compos. Part B Eng. 2017, 116, 99–112. [Google Scholar] [CrossRef]
- Fiore, V.; Calabrese, L.; Miranda, R.; Badagliacco, D.; Sanfilippo, C.; Palamara, D.; Valenza, A.; Proverbio, E. Assessment of performance degradation of hybrid flax-glass fiber reinforced epoxy composites during a salt spray fog/dry aging cycle. Compos. Part B Eng. 2022, 238, 109897. [Google Scholar] [CrossRef]












| Exporters | Trade Value in Millions of USD |
|---|---|
| India | 31.5 |
| Tanzania | 14.5 |
| Belgium | 2.35 |
| Netherlands | 0.91 |
| Malaysia | 0.59 |
| Unites States | 0.57 |
| Domican republic | 0.43 |
| European union | 0.24 |
| United Arab Emirates | 0.16 |
| Spain | 0.11 |
| Bamboo | Flax | Hemp | Jute | Kenaf | E-Glass Fibre | Carbon | Kevlar | Basalt | |
|---|---|---|---|---|---|---|---|---|---|
| Cellulose (%) | 55–90 | 60–79 | 65–80 | 59–71 | 45–58 | - | - | - | - |
| Hemicellulose (%) | 4–16 | 16–18 | 12–13 | - | - | - | - | ||
| Lignin (%) | 2–5 | 3.0–4.5 | 3.0–5.0 | 11.8–12.9 | 12.0–13.0 | - | - | - | - |
| Wax (%) | 1.5 | 0.7 | 0.5 | - | - | - | - | ||
| Pectin (%) | 0.8–8 | 1.8–2 | 0.8 | 0.2–4.4 | 3.0–5.0 | - | - | - | - |
| Angle microfibril (°) | 2–12 | 5–10 | 2–6.2 | 8.1 | 9–15 | - | - | - | - |
| Density (g cm−3) | 1.52 | 1.3–1.5 | 1.52 | 13–1.45 | 1.45 | 2.5 | 1.7 | 1.3–1.5 | 2.7–2.8 |
| Tensile modulus (GPa) | 15.4–27.5 | 28–80 | 70 | 13–60 | 14–38 | 70 | 230–240 | 70–160 | 84–87 |
| Tensile strength (MPa) | 270–889 | 345–1500 | 690–920 | 393–860 | 240–930 | 2000–3500 | 4000 | 1240–4100 | 4000–4700 |
| Elongation at break (%) | - | 2.7–3.3 | 0.6–1.7 | 0.6–2.0 | 1.2–1.6 | 2.5 | 1.4–1.8 | 1.5–3.6 | 3.1–3.6 |
| Cost (euro/kg) | - | 1.3–1.4 | 5–10 | 1.2–1.6 | 1–3 | 0.46–2.56 | 26–34 | - | 0.34–3.42 |
| Refs. | [3,12,18,19,20,21,22] | [12,19,20,22] | [12,19,22] | [12,19,21] | [12,19,22] | [12,19,21] | [12,19,22] | [12,19,20,22] | [12,19,21,22] |
| Polymer | Hybrid Fillers | Fibre Treatment | Processing Technique | Content of Fibres (wt.%) | Intended Application | Refs. |
|---|---|---|---|---|---|---|
| PLA | Jute/hemp | Alkali treatment 5% NaOH at 30 °C for 3 h | Compression moulding | 50 | - | [41] |
| Sisal/hemp | - | Extrusion and injection moulding | 30 | Automotive, packaging, electronics, interiors and agricultural applications. | [43] | |
| PCL | Ramie/borassus | Alkali treatment (5% for 4 h at 25 °C) | Melt mixing | 10–30 | Orthotic devices | [45] |
| PP | Kenaf/pineapple leaf | Alkali (5% NaOH for 4 h) followed by silane (3% for 3 h) treatment | Melt mixing | 25–50 | - | [37] |
| Polyethyelene | Kenaf/snail shells | - | Compression moulding | 9–24 | [42] | |
| Epoxy | Jute/palm | - | Hand-layup-compression moulding | 40 | Automotive and aerospace | [46] |
| Epoxy | Flax/carbon/basalt | - | Hand layup-compression moulding | - | Medium structural loading | [47] |
| Epoxy | Hemp/basalt/glass | - | Vacuum infusion | 20.16 | - | [50] |
| Flax/basalt/glass | 21.18 | |||||
| Hemp/basalt/glass | 22.53 | |||||
| Flax/hemp/basalt | 21.18 | |||||
| Epoxy | Flax/Kevlar | - | Hand layup | 32.5 | Automotive | [48] |
| Unsaturated Polyester | Jute/newspaper waste | - | Hand layup-compression moulding | 42% | - | [38] |
| Vinyl ester | Flax/basalt | - | Resin infusion and hand layup | - | Light-to-medium structural loading | [32] |
| Vinyl ester | Flax/basalt | - | Resin infusion and hand layup | - | Higher structural loadings | [32] |
| Vinyl ester | Flax/Carbon | - | Resin infusion and hand layup | - | ||
| Phenolic | Jute/bagasse | Alkali + Oxidation + Furfural grafting | Hand layup and compression | 30 | - | [3] |
| Samples | Moisture Absorption/% | Diffusion Coefficient/m2/s | Reference |
|---|---|---|---|
| G6 | 0.43 | 2.5 × 10−9 | [78] |
| F6 | 3.97 | 1.4 × 10−8 | |
| GF4G | 1.94 | 8.5 × 10−9 | |
| GM | 0.41 | 1.51 × 10−6 | [57] |
| SGH | 4.99 | 6.64 × 10−6 | |
| B7 | 17.9 | 1.2 × 10−5 | [79] |
| S7 | 9.5 | 1.5 × 10−5 | |
| BS7 | 14.4 | 1.6 × 10−5 | |
| 25 | 3.6 | 9.41 × 10−2 | [59] |
| 35 | 4.1 | 1.12 × 10−2 | |
| 45 | 4.3 | 1.15 × 10−2 |
| Material | Tensile Strength (MPa) | Young’s Modulus (GPa) |
|---|---|---|
| Epoxy-OPEFB | ~23 | ~2.2 |
| Epoxy-(OPEFB:jute) (4:1) | ~25 | ~2.6 |
| Epoxy-(OPEFB:jute) (1:1) | ~28 | ~2.9 |
| Epoxy-(OPEFB:jute) (1:4) | ~38 | ~3.3 |
| Epoxy-jute | ~46 | ~3.9 |
| Hybrid System | Comments | Refs. |
|---|---|---|
| PP/ramie phosphorus oxychloride and further 4,4′-diaminodiphenylmethane (DDM) | pHHR and THR reduced by ~23% and ~13% when compared to composite material due to formation of continuous compact char residue on the fibres’ surface that shielded them from fire attack | [103] |
| PP/kenaf/water glass | Water glass treatment resulted in improved flame-retardant properties of the composites | [109] |
Disclaimer/Publisher’s Note: The statements, opinions and data contained in all publications are solely those of the individual author(s) and contributor(s) and not of MDPI and/or the editor(s). MDPI and/or the editor(s) disclaim responsibility for any injury to people or property resulting from any ideas, methods, instructions or products referred to in the content. |
© 2023 by the authors. Licensee MDPI, Basel, Switzerland. This article is an open access article distributed under the terms and conditions of the Creative Commons Attribution (CC BY) license (https://creativecommons.org/licenses/by/4.0/).
Share and Cite
Mokhena, T.C.; Mtibe, A.; Mokhothu, T.H.; Mochane, M.J.; John, M.J. A Review on Bast-Fibre-Reinforced Hybrid Composites and Their Applications. Polymers 2023, 15, 3414. https://doi.org/10.3390/polym15163414
Mokhena TC, Mtibe A, Mokhothu TH, Mochane MJ, John MJ. A Review on Bast-Fibre-Reinforced Hybrid Composites and Their Applications. Polymers. 2023; 15(16):3414. https://doi.org/10.3390/polym15163414
Chicago/Turabian StyleMokhena, Teboho Clement, Asanda Mtibe, Thabang Hendrica Mokhothu, Mokgaotsa Jonas Mochane, and Maya Jacob John. 2023. "A Review on Bast-Fibre-Reinforced Hybrid Composites and Their Applications" Polymers 15, no. 16: 3414. https://doi.org/10.3390/polym15163414
APA StyleMokhena, T. C., Mtibe, A., Mokhothu, T. H., Mochane, M. J., & John, M. J. (2023). A Review on Bast-Fibre-Reinforced Hybrid Composites and Their Applications. Polymers, 15(16), 3414. https://doi.org/10.3390/polym15163414

