Mechanical and Thermal Characterization of Annealed Oriented PAN Nanofibers
Abstract
1. Introduction
2. Materials and Methods
2.1. Materials
2.2. Fabrication of Oriented PAN Nanofibers
2.3. Morphology
2.4. Tensile Test
2.5. Thermal Test
3. Results and Discussion
3.1. Morphology
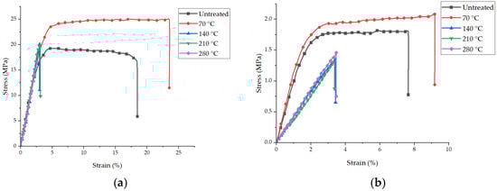
3.2. Mechanical Properties
3.3. Thermal Properties
4. Conclusions
Author Contributions
Funding
Institutional Review Board Statement
Data Availability Statement
Acknowledgments
Conflicts of Interest
References
- Tanioka, A.; Matsumoto, H.; Tsuboi, K. Electrospun Nanofiber Networks for Electronics and Optics. MRS Online Proc. Libr. 2010, 1242, 1004. [Google Scholar] [CrossRef]
- Mao, X.; Simeon, F.; Rutledge, G.C.; Hatton, T.A. Electrospun carbon nanofiber webs with controlled density of states for sensor applications. Adv. Mater. 2013, 25, 1309–1314. [Google Scholar] [CrossRef] [PubMed]
- Lasenko, I.; Grauda, D.; Butkauskas, D.; Sanchaniya, J.V.; Viluma-Gudmona, A.; Lusis, V. Testing the physical and mechanical properties of polyacrylonitrile nanofibers reinforced with succinite and silicon dioxide nanoparticles. Textiles 2022, 2, 162–173. [Google Scholar] [CrossRef]
- Lasenko, I.; Sanchaniya, J.V.; Kanukuntla, S.P.; Ladani, Y.; Viluma-gudmona, A.; Kononova, O.; Lusis, V.; Tipans, I.; Selga, T. The mechanical properties of nanocomposites reinforced with PA6 electrospun nanofibers. Polymers 2023, 15, 673. [Google Scholar] [CrossRef]
- He, W.; Horn, S.W.; Hussain, M.D. Improved bioavailability of orally administered mifepristone from PLGA nanoparticles. Int. J. Pharm. 2007, 334, 173–178. [Google Scholar] [CrossRef]
- Vargas, E.A.T.; do Vale Baracho, N.C.; de Brito, J.; de Queiroz, A.A.A. Hyperbranched polyglycerol electrospun nanofibers for wound dressing applications. Acta Biomater. 2010, 6, 1069–1078. [Google Scholar] [CrossRef]
- Kenawy, E.R.; Bowlin, G.L.; Mansfield, K.; Layman, J.; Simpson, D.G.; Sanders, E.H.; Wnek, G.E. Release of tetracycline hydrochloride from electrospun poly(ethylene-co-vinylacetate), poly(lactic acid), and a blend. J. Control. Release 2002, 81, 57–64. [Google Scholar] [CrossRef]
- Zhang, Y.; Lu, Y.; Xu, Y.; Zhou, Z.; Li, Y.; Ling, W.; Song, W. Bio-Inspired Drug Delivery Systems: From Synthetic Polypeptide Vesicles to Outer Membrane Vesicles. Pharmaceutics 2023, 15, 368. [Google Scholar] [CrossRef]
- Song, W.; Zhang, Y.; Yu, D.G.; Tran, C.H.; Wang, M.; Varyambath, A.; Kim, J.; Kim, I. Efficient Synthesis of Folate-Conjugated Hollow Polymeric Capsules for Accurate Drug Delivery to Cancer Cells. Biomacromolecules 2021, 22, 732–742. [Google Scholar] [CrossRef]
- Kattamuri, N.; Shin, J.H.; Kang, B.; Lee, C.G.; Lee, J.K.; Sung, C. Development and surface characterization of positively charged filters. J. Mater. Sci. 2005, 40, 4531–4539. [Google Scholar] [CrossRef]
- Viluma-Gudmona, A.; Lasenko, I.; Sanchaniya, J.V.; Podgornovs, A. Electro-resistant biotextile development based on fiber reinforcement with nano particles. In Proceedings of the 20th International Scientific Conference Engineering for Rural Development, Jelgava, Latvia, 26–28 May 2021; pp. 804–812. [Google Scholar]
- Viluma-Gudmona, A.; Lasenko, I.; Sanchaniya, J.V.; Abdelhadi, B. The amber nano fibers development prospects to expand the capabilites of textile 3D printing in the general process of fabrication methods. In Proceedings of the Engineering for Rural Development, Jelgava, Latvia, 26–28 May 2021; pp. 248–257. [Google Scholar]
- Grauda, D.; Bumbure, L.; Lyashenko, I.; Katashev, A.; Dekhtyar, Y.; Rashal, I. Amber particles as living plant cell markers in flow cytometry. Proc. Latv. Acad. Sci. Sect. B Nat. Exact Appl. Sci. 2015, 69, 77–81. [Google Scholar] [CrossRef]
- Faccini, M.; Vaquero, C.; Amantia, D. Development of protective clothing against nanoparticle based on electrospun nanofibers. J. Nanomater. 2012, 2012, 892894. [Google Scholar] [CrossRef]
- Sanchaniya, J.-V.; Kanukuntla, S.-P.; Modappathi, P.; Macanovskis, A. Mechanical behaviour numerical investigation of composite structure, consisting of polymeric nanocomposite mat and textile. Eng. Rural. Dev. 2022, 21, 720–726. [Google Scholar] [CrossRef]
- Gaidukovs, S.; Lyashenko, I.; Rombovska, J.; Gaidukova, G. Application of amber filler for production of novel polyamide composite fiber. Text. Res. J. 2016, 86, 2127–2139. [Google Scholar] [CrossRef]
- Scharnagl, N.; Buschatz, H. Polyacrylonitrile (PAN) membranes for ultra- and microfiltration. Desalination 2001, 139, 191–198. [Google Scholar] [CrossRef]
- Musale, D.A.; Kumar, A. Solvent and pH resistance of surface crosslinked chitosan/poly(acrylonitrile) composite nanofiltration membranes. J. Appl. Polym. Sci. 2000, 77, 1782–1793. [Google Scholar] [CrossRef]
- Nataraj, S.K.; Yang, K.S.; Aminabhavi, T.M. Polyacrylonitrile-based nanofibers—A state-of-the-art review. Prog. Polym. Sci. 2012, 37, 487–513. [Google Scholar] [CrossRef]
- Gupta, A.K.; Paliwal, D.K.; Bajaj, P. Melting behavior of acrylonitrile polymers. J. Appl. Polym. Sci. 1998, 70, 2703–2709. [Google Scholar] [CrossRef]
- Feng, L.; Xie, N.; Zhong, J. Carbon nanofibers and their composites: A review of synthesizing, properties and applications. Materials 2014, 7, 3919–3945. [Google Scholar] [CrossRef]
- Zhang, H.; Nie, H.; Yu, D.; Wu, C.; Zhang, Y.; White, C.J.B.; Zhu, L. Surface modification of electrospun polyacrylonitrile nanofiber towards developing an affinity membrane for bromelain adsorption. Desalination 2010, 256, 141–147. [Google Scholar] [CrossRef]
- Zhang, P.; Shao, C.; Zhang, Z.; Zhang, M.; Mu, J.; Guo, Z.; Liu, Y. In situ assembly of well-dispersed Ag nanoparticles (AgNPs) on electrospun carbon nanofibers (CNFs) for catalytic reduction of 4-nitrophenol. Nanoscale 2011, 3, 3357–3363. [Google Scholar] [CrossRef] [PubMed]
- Guo, Z.; Shao, C.; Zhang, M.; Mu, J.; Zhang, Z.; Zhang, P.; Chen, B.; Liu, Y. Dandelion-like Fe3O4@CuTNPc hierarchical nanostructures as a magnetically separable visible-light photocatalyst. J. Mater. Chem. 2011, 21, 12083–12088. [Google Scholar] [CrossRef]
- Zhou, Y.; Liu, Y.; Zhang, M.; Feng, Z.; Yu, D.G.; Wang, K. Electrospun Nanofiber Membranes for Air Filtration: A Review. Nanomaterials 2022, 12, 1077. [Google Scholar] [CrossRef] [PubMed]
- Duan, G.; Liu, S.; Jiang, S.; Hou, H. High-performance polyamide-imide films and electrospun aligned nanofibers from an amide-containing diamine. J. Mater. Sci. 2019, 54, 6719–6727. [Google Scholar] [CrossRef]
- Jamil, T.; Munir, S.; Wali, Q.; Shah, G.J.; Khan, M.E.; Jose, R. Water Purification through a Novel Electrospun Carbon Nanofiber Membrane. ACS Omega 2021, 6, 34744–34751. [Google Scholar] [CrossRef]
- Lee, J.; Yoon, J.; Kim, J.H.; Lee, T.; Byun, H. Electrospun PAN–GO composite nanofibers as water purification membranes. J. Appl. Polym. Sci. 2018, 135, 45858. [Google Scholar] [CrossRef]
- Radu, E.R.; Voicu, S.I.; Thankur, V.K. Polymeric membranes for biomedical applications. Polymers 2023, 15, 619. [Google Scholar] [CrossRef]
- Sanchaniya, J.V.; Kanukuntla, S.-P.; Simon, S.; Gerina-Ancane, A. Analysis of mechanical properties of composite nanofibers constructed on rotating drum and collector plate. Eng. Rural. Dev. 2022, 21, 737–744. [Google Scholar] [CrossRef]
- Sanchaniya, J.V.; Lasenko, I.; Kanukuntla, S.P.; Mannodi, A.; Viluma-gudmona, A.; Gobins, V. Preparation and Characterization of Non-Crimping Laminated Textile Composites Reinforced with Electrospun Nanofibers. Nanomaterials 2023, 13, 1949. [Google Scholar] [CrossRef]
- Backer, S.; Petterson, D.R. Some Principles of Nonwoven Fabrics1. Text. Res. J. 1960, 30, 704–711. [Google Scholar] [CrossRef]
- Huang, Z.M.; Zhang, Y.Z.; Kotaki, M.; Ramakrishna, S. A review on polymer nanofibers by electrospinning and their applications in nanocomposites. Compos. Sci. Technol. 2003, 63, 2223–2253. [Google Scholar] [CrossRef]
- Wang, Z.; Cai, N.; Dai, Q.; Li, C.; Hou, D.; Luo, X.; Xue, Y.; Yu, F. Effect of thermal annealing on mechanical properties of polyelectrolyte complex nanofiber membranes. Fibers Polym. 2014, 15, 1406–1413. [Google Scholar] [CrossRef]
- Song, Z.; Hou, X.; Zhang, L.; Wu, S. Enhancing crystallinity and orientation by hot-stretching to improve the mechanical properties of electrospun partially aligned polyacrylonitrile (PAN) nanocomposites. Materials 2010, 4, 621–632. [Google Scholar] [CrossRef]
- Wang, Z.; Sahadevan, R.; Crandall, C.; Menkhaus, T.J.; Fong, H. Hot-pressed PAN/PVDF hybrid electrospun nanofiber membranes for ultrafiltration. J. Membr. Sci. 2020, 611, 118327. [Google Scholar] [CrossRef]
- Sallakhniknezhad, R.; Khorsi, M.; Niknejad, A.S.; Bazgir, S.; Kargari, A.; Sazegar, M.; Rasouli, M.; Chae, S. Enhancement of physical characteristics of styrene–acrylonitrile nanofiber membranes using various post-treatments for membrane distillation. Membranes 2021, 11, 969. [Google Scholar] [CrossRef]
- Xu, T.C.; Han, D.H.; Zhu, Y.M.; Duan, G.G.; Liu, K.M.; Hou, H.Q. High Strength Electrospun Single Copolyacrylonitrile (coPAN) Nanofibers with Improved Molecular Orientation by Drawing. Chinese J. Polym. Sci. 2020, 39, 174–180. [Google Scholar] [CrossRef]
- Nauman, S.; Lubineau, G.; Alharbi, H.F. Post processing strategies for the enhancement of mechanical properties of enms (Electrospun nanofibrous membranes): A review. Membranes 2021, 11, 39. [Google Scholar] [CrossRef]
- Xiang, C.; Frey, M.W. Increasing mechanical properties of 2-D-structured electrospun nylon 6 non-woven fiber mats. Materials 2016, 9, 270. [Google Scholar] [CrossRef]
- Mondal, J.; An, J.M.; Surwase, S.S.; Chakraborty, K.; Sutradhar, S.C.; Hwang, J.; Lee, J.; Lee, Y.K. Carbon Nanotube and Its Derived Nanomaterials Based High Performance Biosensing Platform. Biosensors 2022, 12, 731. [Google Scholar] [CrossRef]
- Li, A.; Li, F.; Mai, K.; Zhang, Z. Crystallization and Melting Behavior of UHMWPE Composites Filled by Different Carbon Materials. Adv. Polym. Technol. 2022, 2022, 2447418. [Google Scholar] [CrossRef]
- Albetran, H.M. Investigation of the Morphological, Structural, and Vibrational Behaviour of Graphite Nanoplatelets. J. Nanomater. 2021, 2021, 5546509. [Google Scholar] [CrossRef]
- Wijerathne, D.; Gong, Y.; Afroj, S.; Karim, N.; Abeykoon, C. Mechanical and thermal properties of graphene nanoplatelets-reinforced recycled polycarbonate composites. Int. J. Light. Mater. Manuf. 2023, 6, 117–128. [Google Scholar] [CrossRef]
- Lusis, V.; Kononova, O.; Macanovskis, A.; Stonys, R.; Lasenko, I.; Krasnikovs, A. Experimental investigation and modelling of the layered concrete with different concentration of short fibers in the layers. Fibers Spec. Issue Mech. Fiber Reinf. Cem. Compos. 2021, 9, 76. [Google Scholar] [CrossRef]
- Lusis, V.; Annamaneni, K.K.; Kononova, O.; Korjakins, A.; Lasenko, I.; Karunamoorthy, R.K.; Krasnikovs, A. Experimental study and modelling on the structural response of fiber reinforced concrete beams. Appl. Sci. 2022, 12, 9492. [Google Scholar] [CrossRef]
- Habeeb, S.A.; Nadhim, B.A.; Kadhim, B.J.; Ktab, M.S.; Kadhim, A.J.; Murad, F.S. Improving the Physical Properties of Nanofibers Prepared by Electrospinning from Polyvinyl Chloride and Polyacrylonitrile at Low Concentrations. Adv. Polym. Technol. 2023, 2023, 1–12. [Google Scholar] [CrossRef]
- Tan, E.P.S.; Lim, C.T. Effects of annealing on the structural and mechanical properties of electrospun polymeric nanofibres. Nanotechnology 2006, 17, 2649–2654. [Google Scholar] [CrossRef]
- Ramaswamy, S.; Clarke, L.I.; Gorga, R.E. Morphological, mechanical, and electrical properties as a function of thermal bonding in electrospun nanocomposites. Polymer 2011, 52, 3183–3189. [Google Scholar] [CrossRef]
- Es-Saheb, M.; Elzatahry, A. Post-heat treatment and mechanical assessment of polyvinyl alcohol nanofiber sheet fabricated by electrospinning technique. Int. J. Polym. Sci. 2014, 2014, 605938. [Google Scholar] [CrossRef]
- ISO 139:2005; Textiles—Standard Atmospheres for Conditioning and Testing. International Organization for Standardization (ISO): Geneva, Switzerland, 2019. Available online: https://www.iso.org/standard/35179.html (accessed on 30 July 2023).
- Rezakhaniha, R.; Agianniotis, A.; Schrauwen, J.T.C.; Griffa, A.; Sage, D.; Bouten, C.V.C.; Van De Vosse, F.N.; Unser, M.; Stergiopulos, N. Experimental investigation of collagen waviness and orientation in the arterial adventitia using confocal laser scanning microscopy. Biomech. Model. Mechanobiol. 2012, 11, 461–473. [Google Scholar] [CrossRef]
- Püspöki, Z.; Storath, M.; Sage, D.; Unser, M. Transforms and operators for directional bioimage analysis: A survey. Adv. Anat. Embryol. Cell Biol. 2016, 219, 69–93. [Google Scholar] [CrossRef]
- Schneider, C.A.; Rasband, W.S.; Eliceiri, K.W. NIH Image to ImageJ: 25 years of image analysis. Nat. Methods 2012, 9, 671–675. [Google Scholar] [CrossRef]
- Kim, G.H. Electrospun PCL nanofibers with anisotropic mechanical properties as a biomedical scaffold. Biomed. Mater. 2008, 3, 25010. [Google Scholar] [CrossRef]
- Liang, Y.; Cheng, S.; Zhao, J.; Zhang, C.; Sun, S.; Zhou, N.; Qiu, Y.; Zhang, X. Heat treatment of electrospun Polyvinylidene fluoride fibrous membrane separators for rechargeable lithium-ion batteries. J. Power Sources 2013, 240, 204–211. [Google Scholar] [CrossRef]
- Sheng, J.; Li, Y.; Wang, X.; Si, Y.; Yu, J.; Ding, B. Thermal inter-fiber adhesion of the polyacrylonitrile/fluorinated polyurethane nanofibrous membranes with enhanced waterproof-breathable performance. Sep. Purif. Technol. 2016, 158, 53–61. [Google Scholar] [CrossRef]
- Barua, B.; Saha, M.C. Influence of Humidity, Temperature, and Annealing on Microstructure and Tensile Properties of Electrospun Polyacrylonitrile Nanofibers. Polym. Eng. Sci. 2017, 58, 998–1009. [Google Scholar] [CrossRef]
- Pham, L.Q.; Uspenskaya, M.V.; Olekhnovich, R.O.; Baranov, M.A. The mechanical properties of PVC nanofiber mats obtained by electrospinning. Fibers 2021, 9, 1–12. [Google Scholar] [CrossRef]
- Li, W.J.; Mauck, R.L.; Cooper, J.A.; Yuan, X.; Tuan, R.S. Engineering controllable anisotropy in electrospun biodegradable nanofibrous scaffolds for musculoskeletal tissue engineering. J. Biomech. 2007, 40, 1686–1693. [Google Scholar] [CrossRef]
- Arinstein, A.; Burman, M.; Gendelman, O.; Zussman, E. Effect of supramolecular structure on polymer nanofibre elasticity. Nat. Nanotechnol. 2007, 2, 59–62. [Google Scholar] [CrossRef]
- Wong, S.C.; Baji, A.; Leng, S. Effect of fiber diameter on tensile properties of electrospun poly(ε-caprolactone). Polymer 2008, 49, 4713–4722. [Google Scholar] [CrossRef]
- Yao, J.; Bastiaansen, C.W.M.; Peijs, T. High strength and high modulus electrospun nanofibers. Fibers 2014, 2, 158–187. [Google Scholar] [CrossRef]
- Srithep, Y.; Nealey, P.; Turang, L.-S. Effects of Annealing Time and Temperature on the Crystallinity and Heat Resistance Behavior of Injection-Molded Poly(lactic acid). Polym. Eng. Sci. 2013, 53, 580–588. [Google Scholar] [CrossRef]
- Huang, L.; Manickam, S.S.; McCutcheon, J.R. Increasing strength of electrospun nanofiber membranes for water filtration using solvent vapor. J. Memb. Sci. 2013, 436, 213–220. [Google Scholar] [CrossRef]
- Konstantopoulos, G.; Soulis, S.; Dragatogiannis, D.; Charitidis, C. Introduction of a methodology to enhance the stabilization process of pan fibers by modeling and advanced characterization. Materials 2020, 13, 2749. [Google Scholar] [CrossRef] [PubMed]










| Annealed PAN Nanofiber Mats | Thickness, t (µm) | Tensile Strength σ at Break (MPa) | Young’s Modulus, E (MPa) | Elongation at Break, ε at Break (%) | |
|---|---|---|---|---|---|
| Longitudinal | Untreated | 156 ± 7 | 19.1 ± 3 | 610 ± 30 | 18.2 ± 2 |
| 70 °C | 154 ± 5 | 25.2 ± 2 | 650 ± 21 | 23.6 ± 2 | |
| 140 °C | 121 ± 5 | 19.5 ± 1 | 598 ± 26 | 3.1 ± 0.3 | |
| 210 °C | 119 ± 4 | 19.7 ± 1 | 595 ± 24 | 3.1 ± 0.2 | |
| 280 °C | 114 ± 4 | 16.8 ± 1 | 596 ± 23 | 3.0 ± 0.1 | |
| Transverse | Untreated | 153 ± 9 | 1.7 ± 0.1 | 97 ± 6 | 7.6 ± 1 |
| 70 °C | 154 ± 6 | 2.1 ± 0.1 | 115 ± 8 | 9.2 ± 1 | |
| 140 °C | 125 ± 5 | 1.7 ± 0.1 | 44 ± 3 | 3.3 ± 0.2 | |
| 210 °C | 117 ± 4 | 1.3 ± 0.1 | 42 ± 3 | 3.3 ± 0.2 | |
| 280 °C | 113 ± 5 | 1.4 ± 0.1 | 45 ± 2 | 3.4 ± 0.1 |
| Properties | Untreated | Annealed | ||||
|---|---|---|---|---|---|---|
| PAN Powder | Nanofiber Mat | 70 °C | 140 °C | 210 °C | 280 °C | |
| TGA (°C) | 291.6 | 292.2 | 292.6 | 292.7 | 292.8 | 301.8 |
| Heat absorbed during first DSC heating cycle (J/g) | 30.43 | 26.1 | 25.79 | 7.358 | 6.288 | 6.192 |
| Tg during second DSC heating cycle (°C) | 96.8 | 97.0 | 96.7 | 90.1 | 92.3 | 91.0 |
Disclaimer/Publisher’s Note: The statements, opinions and data contained in all publications are solely those of the individual author(s) and contributor(s) and not of MDPI and/or the editor(s). MDPI and/or the editor(s) disclaim responsibility for any injury to people or property resulting from any ideas, methods, instructions or products referred to in the content. |
© 2023 by the authors. Licensee MDPI, Basel, Switzerland. This article is an open access article distributed under the terms and conditions of the Creative Commons Attribution (CC BY) license (https://creativecommons.org/licenses/by/4.0/).
Share and Cite
Sanchaniya, J.V.; Lasenko, I.; Kanukuntala, S.P.; Smogor, H.; Viluma-Gudmona, A.; Krasnikovs, A.; Tipans, I.; Gobins, V. Mechanical and Thermal Characterization of Annealed Oriented PAN Nanofibers. Polymers 2023, 15, 3287. https://doi.org/10.3390/polym15153287
Sanchaniya JV, Lasenko I, Kanukuntala SP, Smogor H, Viluma-Gudmona A, Krasnikovs A, Tipans I, Gobins V. Mechanical and Thermal Characterization of Annealed Oriented PAN Nanofibers. Polymers. 2023; 15(15):3287. https://doi.org/10.3390/polym15153287
Chicago/Turabian StyleSanchaniya, Jaymin Vrajlal, Inga Lasenko, Sai Pavan Kanukuntala, Hilary Smogor, Arta Viluma-Gudmona, Andrejs Krasnikovs, Igors Tipans, and Valters Gobins. 2023. "Mechanical and Thermal Characterization of Annealed Oriented PAN Nanofibers" Polymers 15, no. 15: 3287. https://doi.org/10.3390/polym15153287
APA StyleSanchaniya, J. V., Lasenko, I., Kanukuntala, S. P., Smogor, H., Viluma-Gudmona, A., Krasnikovs, A., Tipans, I., & Gobins, V. (2023). Mechanical and Thermal Characterization of Annealed Oriented PAN Nanofibers. Polymers, 15(15), 3287. https://doi.org/10.3390/polym15153287

