A Thermal Analytical Study of LEGO® Bricks for Investigating Light-Stability of ABS
Abstract
1. Introduction
2. Materials and Methods
2.1. Samples
2.2. Apparatus
2.2.1. Differential Scanning Calorimetry
2.2.2. Thermogravimetric Analysis
2.2.3. Evolved Gas Analysis Coupled with Mass Spectrometry
2.2.4. Double Shot Pyrolysis Coupled with Gas Chromatography and Mass Spectrometry
3. Results and Discussion
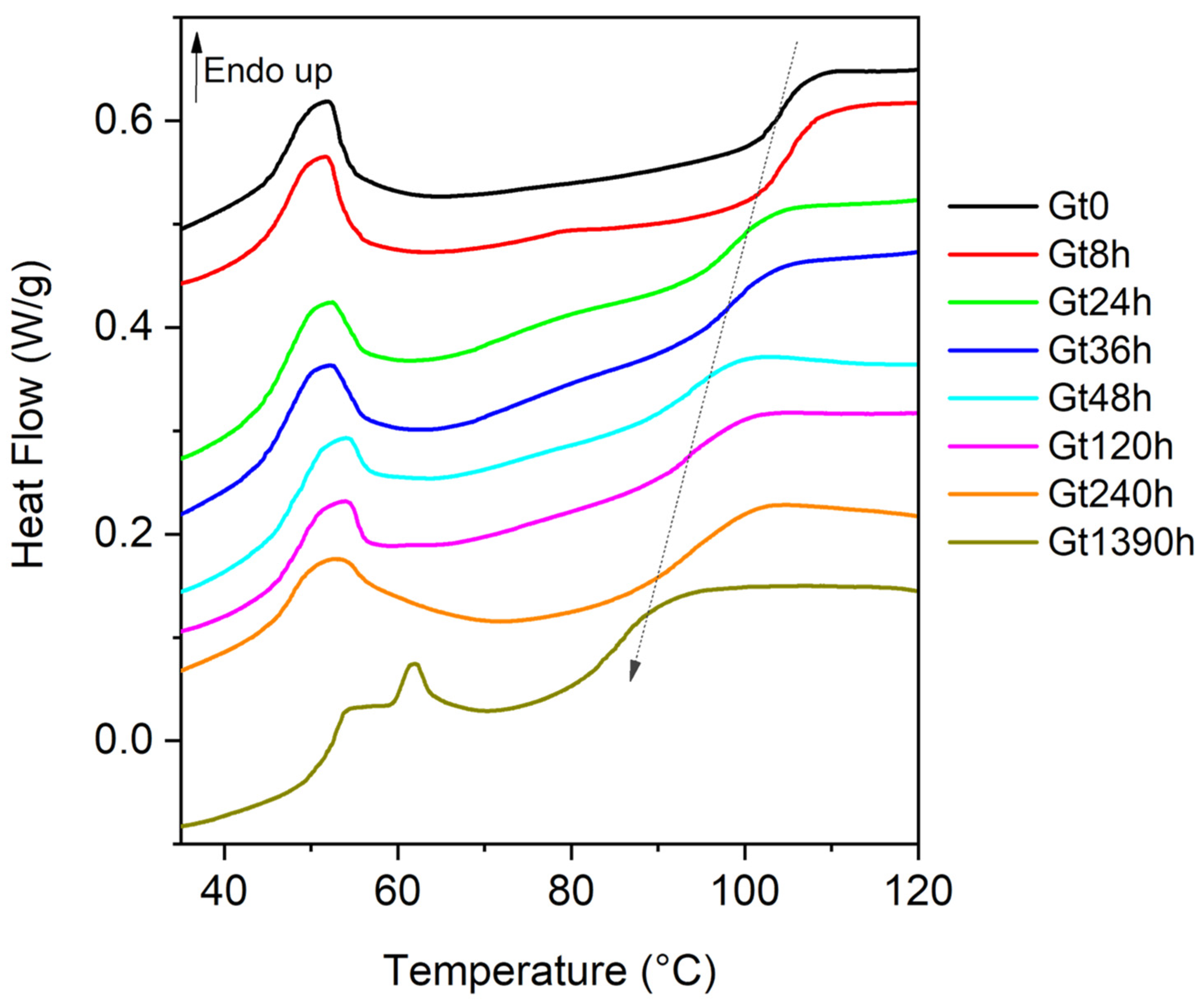
3.1. Differential Scanning Calorimetry
3.2. Thermogravimetric Analysis
3.3. Evolved Gas Analysis Coupled with Mass Spectrometry
3.4. Double Shot Pyrolysis Coupled with Gas Chromatography and Mass Spectrometry
- The first one at lower retention times (2.8–10.7 min), dominated by the monomers of the constituting polymers (butadiene #14, acrylonitrile #15, styrene #1 and α-methylstyrene #2);
- The second zone in an intermediate time interval (11.6–16.2 min) characterized by a styrene dimer (3-butene-1,3-diyldibenzene (SS) #49), acrylonitrile dimer (pentanedinitrile, 2-methylene- (ANAN) #31) and hybrid acrylonitrile and styrene dimers (2-methylene-4-phenylbutanenitrile (ANS) #42, 4-phenylpent-4-enenitrile (SAN’) #44, 4-phenylpentanenitrile (SAN) #45);
- The third one at higher retention times (16.6–19.6 min) featured peaks related to styrene trimers (5-hexene-1,3,5-triyltribenzene (SSS) #58) and hybrid acrylonitrile and styrene trimers (2-methylene-4-phenethylpentanedinitrile (ANANS) #51, 2-methylene-4-phenylheptanedinitrile (ANSAN) #52, 2-(2-phenylallyl)pentanedinitrile (SANAN) #53, 2-methylene-4,6-diphenylhexanenitrile (ANSS) #53, 4,6-diphenylhept-6-enenitrile (SSAN) #55, 2-phenethyl-4-phenylpent-4-enenitrile (SASN) #56, 2-Phenethyl-4-phenylpent-4-enenitrile (SANS) #57).
4. Discussion
5. Conclusions
Supplementary Materials
Author Contributions
Funding
Data Availability Statement
Acknowledgments
Conflicts of Interest
References
- Chiantore, O.; Lazzari, M. Photo-oxidative stability of Paraloid acrylic protective polymers. Polymer 2001, 42, 17–27. [Google Scholar] [CrossRef]
- Cardiano, P.; Sergi, S.; Lazzari, M.; Piraino, P. Epoxy–silica polymers as restoration materials. Polymer 2002, 43, 6635–6640. [Google Scholar] [CrossRef]
- Learner, T. Analysis of Modern Paints. Getty Publications: Los Angeles, CA, USA, 2004. [Google Scholar]
- Shashoua, Y. Conservation of Plastics—Materials Science, Degradation and Preservation; Routledge: Oxford, UK, 2009. [Google Scholar]
- Van Oosten, T.B. Properties of Plastics: A Guide for Conservators; Getty Conservation Institute: Los Angeles, CA, USA, 2022. [Google Scholar]
- Lazzari, M.; Reggio, D. What Fate for Plastics in Artworks? An Overview of Their Identification and Degradative Behaviour. Polymers 2021, 13, 883. [Google Scholar] [CrossRef]
- Rosi, F.; Miliani, C.; Gardner, P.; Chieli, A.; Romani, A.; Ciabatta, M.; Trevisan, R.; Ferriani, B.; Richardson, E.; Cartechini, L. Unveiling the composition of historical plastics through non-invasive reflection FT-IR spectroscopy in the extended near- and mid-Infrared spectral range. Anal. Chim. Acta 2021, 1169, 338602. [Google Scholar] [CrossRef] [PubMed]
- E-RIHS.it (n.d.). Available online: www.e-rihs.it (accessed on 10 February 2022).
- Alfredo Campo, E. Selection of Polymeric Materials: How to Select Design Properties from Different Standards; William Andrew: Norwich, NY, USA, 2008. [Google Scholar]
- Rutkowski, J.V.; Levin, B.C. Acrylonitrile-butadiene-styrene copolymers (ABS): Pyrolysis and combustion products and their toxicity—A review of the literature. Fire Mater. 1986, 10, 93–105. [Google Scholar] [CrossRef]
- Wyzgoski, M.G. Effects of oven aging on ABS, poly(acrylonitrile-butadiene-styrene). Polym. Eng. Sci. 1976, 16, 265–269. [Google Scholar] [CrossRef]
- Streibel, T.; Geißler, R.; Saraji-Bozorgzad, M.; Sklorz, M.; Kaisersberger, E.; Denner, T.; Zimmermann, R. Evolved gas analysis (EGA) in TG and DSC with single photon ionisation mass spectrometry (SPI-MS): Molecular organic signatures from pyrolysis of soft and hard wood, coal, crude oil and ABS polymer. J. Therm. Anal. Calorim. 2009, 96, 795–804. [Google Scholar] [CrossRef]
- Polli, H.; Pontes, L.A.M.; Araujo, A.S.; Barros, J.M.F.; Fernandes, V.J. Degradation behavior and kinetic study of ABS polymer. J. Therm. Anal. Calorim. 2009, 95, 131–134. [Google Scholar] [CrossRef]
- Shapi, M. TG and DSC studies of some thermal properties and stability aspects of poly(acrylonitrile butadiene styrene), polystyrene and poly(acrylonitrile styrene) plastics. Thermochim. Acta 1991, 175, 25–34. [Google Scholar] [CrossRef]
- Yang, M.-H. The thermal degradation of acrylonitrile-butadiene-styrene terpolymer under various gas conditions. Polym. Test. 2000, 19, 105–110. [Google Scholar] [CrossRef]
- di Cortemiglia, M.; Camino, G.; Costa, L.; Guaita, M. Thermal degradation of ABS. Thermochim. Acta 1985, 93, 187–190. [Google Scholar] [CrossRef]
- Fǎtu, D.; Geambaş, G.; Segal, E.; Budrugeac, P.; Ciutacu, S. On the thermal decomposition of the copolymer ABS and of nylon polyamide. Thermochim. Acta 1989, 149, 181–187. [Google Scholar] [CrossRef]
- Wu, X.; Bourbigot, S.; Li, K.; Zou, Y. Co-pyrolysis characteristics and flammability of polylactic acid and acrylonitrile-butadiene-styrene plastic blend using TG, temperature-dependent FTIR, Py-GC/MS and cone calorimeter analyses. Fire Saf. J. 2022, 128, 103543. [Google Scholar] [CrossRef]
- Suzuki, M.; Wilkie, C.A. The thermal degradation of acrylonitrile-butadiene-styrene terploymer grafted with methacrylic acid. Polym. Degrad. Stab. 1995, 47, 223–228. [Google Scholar] [CrossRef]
- Suzuki, M.; Costa, I.L.; Pereira, P.H.; Claro, A.M.; Amaral NC, D.; Barud HD, S.; Ribeiro, R.B.; Mulinari, D.R. 3D-printing pen from valorization of pine cone residues as reinforcement in acrylonitrile butadiene styrene (ABS): Microstructure and thermal properties. J. Thermoplas. Compos. Mater. 2023, 36, 535–554. [Google Scholar] [CrossRef]
- Du, A.-K.; Zhou, Q.; van Kasteren, J.M.; Wang, Y.-Z. Fuel oil from ABS using a tandem PEG-enhanced denitrogenation–pyrolysis method: Thermal degradation of denitrogenated ABS. J. Anal. Appl. Pyrolysis 2011, 92, 267–272. [Google Scholar] [CrossRef]
- Liu, G.; Liao, Y.; Ma, X. Thermal behavior of vehicle plastic blends contained acrylonitrile-butadiene-styrene (ABS) in pyrolysis using TG-FTIR. Waste Manag. 2017, 61, 315–326. [Google Scholar] [CrossRef]
- Herrera, M.; Matuschek, G.; Kettrup, A. Fast identification of polymer additives by pyrolysis-gas chromatography/mass spectrometry. J. Anal. Appl. Pyrolysis 2003, 70, 35–42. [Google Scholar] [CrossRef]
- Blom, H.; Yeh, R.; Wojnarowski, R.; Ling, M. Detection of degradation of ABS materials via DSC. J. Therm. Anal. Calorim. 2006, 83, 113–115. [Google Scholar] [CrossRef]
- Belhaneche-Bensemra, N.; Bedda, A.; Belaabed, B. Study of the properties of rigid and plasticized PVC/PMMA blends. In Macromolecular Symposia; WILEY-VCH Verlag: Weinheim, Germany, 2003. [Google Scholar]
- Duh, Y.-S.; Ho, T.-C.; Chen, J.-R.; Kao, C.-S. Study on Exothermic Oxidation of Acrylonitrile-butadiene-styrene (ABS) Resin Powder with Application to ABS Processing Safety. Polymers 2010, 2, 174–187. [Google Scholar] [CrossRef]
- Bair, H.E.; Boyle, D.J.; Kelleher, P.G. The effects of light and heat on the rubber content and impact strength of acrylonitrile-butadiene-styrene. Polym. Eng. Sci. 1980, 20, 995–1001. [Google Scholar] [CrossRef]
- Tsuge, S.; Ohtani, H.; Watanabe, C. Pyrolysis—GC/MS Data Book of Synthetic Polymers; Elsevier: Amsterdam, The Netherlands, 2011. [Google Scholar]
- La Nasa, J.; Biale, G.; Mattonai, M.; Modugno, F. Microwave-assisted solvent extraction and double-shot analytical pyrolysis for the quali-quantitation of plasticizers and microplastics in beach sand samples. J. Hazard. Mater. 2021, 401, 123287. [Google Scholar] [CrossRef]
- La Nasa, J.; Biale, G.; Ferriani, B.; Colombini, M.P.; Modugno, F. A pyrolysis approach for characterizing and assessing degradation of polyurethane foam in cultural heritage objects. J. Anal. Appl. Pyrolysis 2018, 134, 562–572. [Google Scholar] [CrossRef]
- La Nasa, J.; Biale, G.; Sabatini, F.; Degano, I.; Colombini, M.P.; Modugno, F. Synthetic materials in art: A new comprehensive approach for the characterization of multi-material artworks by analytical pyrolysis. Herit. Sci. 2019, 7, 8. [Google Scholar] [CrossRef]
- Sabatini, F.; Manariti, A.; di Girolamo, F.; Bonaduce, I.; Tozzi, L.; Rava, A.; Colombini, M.P.; Lluveras-Tenorio, A. Painting on polyurethane foam: “Composizione-Superficie Lunare” by Giulio Turcato. Microchem. J. 2020, 156, 104872. [Google Scholar] [CrossRef]
- Micheluz, A.; Angelin, E.M.; Sawitzki, J.; Pamplona, M. Plastics in robots: A degradation study of a humanoid skin mask made of soft urethane elastomer. Herit. Sci. 2022, 10, 4. [Google Scholar] [CrossRef]
- Pintus, V.; Viana, C.; Angelin, E.M.; De Sá, S.F.; Wienland, K.; Sterflinger, K.; Ferreira, J.L. Applicability of single-shot and double-shot Py-GC/MS for the detection of components in vinyl acetate-based emulsions used in modern-contemporary art. J. Anal. Appl. Pyrolysis 2022, 168, 105782. [Google Scholar] [CrossRef]
- Akoueson, F.; Chbib, C.; Monchy, S.; Paul-Pont, I.; Doyen, P.; Dehaut, A.; Duflos, G. Identification and quantification of plastic additives using pyrolysis-GC/MS: A review. Sci. Total. Environ. 2021, 773, 145073. [Google Scholar] [CrossRef]
- Levin, B.C. A summary of the NBS literature reviews on the chemical nature and toxicity of the pyrolysis and combustion products from seven plastics: Acrylonitrile-butadiene-styrenes (ABS), nylons, polyesters, polyethylenes, polystyrenes, poly(vinyl chlorides) and rigid polyurethane foams. Fire Mater. 1987, 11, 143–157. [Google Scholar] [CrossRef]
- Day, M.; Cooney, J.; Touchette-Barrette, C.; Sheehan, S. Pyrolysis of mixed plastics used in the electronics industry. J. Anal. Appl. Pyrolysis 1999, 52, 199–224. [Google Scholar] [CrossRef]
- Szabo, E.; Olah, M.; Ronkay, F.; Miskolczi, N.; Blazso, M. Characterization of the liquid product recovered through pyrolysis of PMMA–ABS waste. J. Anal. Appl. Pyrolysis 2011, 92, 19–24. [Google Scholar] [CrossRef]
- Romanova, N.; Shafigullin, L.; Gabdrakhmanov, A.; Buyatova, S. Thermal properties of products based on ABS/PC. MATEC Web Conf. 2019, 298, 16. [Google Scholar] [CrossRef]
- Andersen, E.; Bertelsen, L.H.; Salomonsen, M.; Kristensen, M.; Kybelund, P.; Sørensen, M.B.; Hinge, M. Accelerating effect of pigments on poly(acrylonitrile butadiene styrene) degradation. Polym. Degrad. Stab. 2020, 178, 109183. [Google Scholar] [CrossRef]
- Yang, S.; Castilleja, J.R.; Barrera, E.; Lozano, K. Thermal analysis of an acrylonitrile–butadiene–styrene/SWNT composite. Polym. Degrad. Stab. 2004, 83, 383–388. [Google Scholar] [CrossRef]
- Duce, C.; Bernazzani, L.; Bramanti, E.; Spepi, A.; Colombini, M.; Tiné, M. Alkyd artists’ paints: Do pigments affect the stability of the resin? A TG and DSC study on fast-drying oil colours. Polym. Degrad. Stab. 2014, 105, 48–58. [Google Scholar] [CrossRef]
- Suzuki, M.; Wilkie, C.A. The thermal degradation of acrylonitrile-butadiene-styrene terpolymer as studied by TGA/FTIR. Polym. Degrad. Stab. 1995, 47, 217–221. [Google Scholar] [CrossRef]
- Martel, B. Charring processes in thermoplastic polymers: Effect of condensed phase oxidation on the formation of chars in pure polymers. J. Appl. Polym. Sci. 1988, 35, 1213–1226. [Google Scholar] [CrossRef]
- Wang, Y.; Chen, M.; Lan, M.; Li, Z.; Lu, S.; Wu, G. GM-Improved Antiaging Effect of Acrylonitrile Butadiene Styrene in Different Thermal Environments. Polymers 2020, 12, 46. [Google Scholar] [CrossRef]
- Zhu, Z.F.; Wen, J.; Zhang, Q.; Yuan, S.; Yin, L. The effect of antioxidant 1010 on the thermo-oxidative aging properties of polycarbonate/acrylonitrile–butadiene–styrene blends. J. Phys. Conf. Ser. 2020, 1605, 12154. [Google Scholar] [CrossRef]
- Piton, M.; Rivaton, A. Photo-oxidation of ABS at long wavelengths (λ > 300 nm). Polym. Degrad. Stab. 1997, 55, 147–157. [Google Scholar] [CrossRef]
- Santos, R.M.; Botelho, G.L.; Machado, A.V. Artificial and natural weathering of ABS. J. Appl. Polym. Sci. 2010, 116, 2005–2014. [Google Scholar] [CrossRef]
- Hase, Y.; Davanzo, C.U.; Kawai, K.; Sala, O. The vibrational spectra of phthalic anhydride. J. Mol. Struct. 1976, 30, 37–44. [Google Scholar] [CrossRef]
- Choi, S.-S.; Han, D.-H. Pyrolysis behaviors of poly(acrylonitrile-co-butadiene) with differing microstructures. J. Anal. Appl. Pyrolysis 2007, 80, 53–60. [Google Scholar] [CrossRef]
- McNeill, I.; Stevenson, W. The effect of 4-vinylcyclohexene on the degradation of polystyrene and on the polymerisation of styrene. Polym. Degrad. Stab. 1985, 10, 211–220. [Google Scholar] [CrossRef]
- Shi, Y.; Yan, C.; Zhou, Y.; Wu, J.; Wang, Y.; Yu, S.; Chen, Y. Polymer materials for additive manufacturing—Powder materials. In Materials for Additive Manufacturing; Shi, Y., Yan, C., Zhou, Y., Wu, J., Wang, Y., Yu, S., Chen, Y., Eds.; Academic Press: Cambridge, MA, USA, 2021; pp. 9–189. [Google Scholar] [CrossRef]
- Saviello, D.; Andena, L.; Gastaldi, D.; Toniolo, L.; Goidanich, S. Multi-analytical approach for the morphological, molecular, and mechanical characterization after photo-oxidation of polymers used in artworks. J. Appl. Polym. Sci. 2018, 135, 46194. [Google Scholar] [CrossRef]
- Tiganis, B.; Burn, L.; Davis, P.; Hill, A. Thermal degradation of acrylonitrile–butadiene–styrene (ABS) blends. Polym. Degrad. Stab. 2002, 76, 425–434. [Google Scholar] [CrossRef]
- Jang, B.N.; Wilkie, C.A. The effects of clay on the thermal degradation behavior of poly(styrene-co-acrylonitirile). Polymer 2005, 46, 9702–9713. [Google Scholar] [CrossRef]






| DSC | TGA | EGA/MS | |
|---|---|---|---|
| Tg (°C) | Tmax (°C) Weight Loss (°C/% w/w) | Tp (°C) | |
| Gt0 | 104 | 424 | 431 |
| 99% | |||
| Gt8h | 104 | 422 | 431 |
| 99% | |||
| Gt24h | 98 | 422 | 430 |
| 100% | |||
| Gt36h | 98 | 422 | 430 |
| 100% | |||
| Gt48h | 94 | 422 | 429 |
| 98% | |||
| Gt120h | 94 | 420 | 429 |
| 97% | |||
| Gt240h | 93 | 419 | 423 |
| 97% | |||
| Gt1390h | 85 | 403 | 413 |
| 92% |
| # | tr (Min) | Compound | |
|---|---|---|---|
| First shot | 1 | 9.5 | Styrene |
| 2 | 10.5 | Benzaldehyde | |
| 3 | 10.7 | Phenol | |
| 4 | 10.7 | α-Methylstyrene | |
| 5 | 11.0 | Succinic anhydride | |
| 6 | 11.5 | Benzene, propoxy | |
| 7 | 12.4 | Benzoic acid | |
| 8 | 13.7 | Phthalic anhydride | |
| 9 | 14.9 | 2,4-Di-tert-butylphenol | |
| 10 | 17.4 | 2-[1-(4-Cyano-1,2,3,4-tetrahydronaphthyl)]propanenitrile | |
| 11 | 17.5 | 3-[1-(4-Cyano-1,2,3,4-tetrahydronaphthyl)]propanenitrile | |
| 12 | 18.9 | m/z = 77, 91, 105, 115, 129, 207 | |
| Second shot | 13 | 2.3 | Carbon dioxide |
| 14 | 2.5 | 1,3-Butadiene | |
| 15 | 2.8 | Acrylonitrile | |
| 16 | 3.5 | Methylacrylonitrile | |
| 17 | 4.2 | Benzene | |
| 18 | 5.0 | 2-Pentenenitrile | |
| 19 | 7.0 | Toluene | |
| 20 | 7.6 | 4-Heptenal, (Z)- | |
| 21 | 8.3 | 2-Cyclopenten-1-one | |
| 22 | 8.5 | 4-vinylcyclohexene | |
| 23 | 8.9 | Ethylbenzene | |
| 24 | 9.2 | Cyclohexen-1-carbonitrile | |
| 1 | 9.4 | Styrene | |
| 25 | 10 | Benzene, (1-methylethyl)- | |
| 26 | 10.3 | Benzene, 2-propenyl- | |
| 27 | 10.4 | Benzene, propyl- | |
| 2 | 10.5 | Benzaldehyde | |
| 4 | 10.7 | α-Methylstyrene | |
| 28 | 11.3 | Benzene, 3-butenyl- | |
| 29 | 11.4 | Benzene, 1-ethynyl-4-methyl- | |
| 30 | 11.5 | Benzene, (1-methylenepropyl)- | |
| 31 | 11.6 | Pentanedinitrile, 2-methylene- (ANAN) | |
| 32 | 11.7 | Acetophenone | |
| 33 | 12.3 | Benzyl nitrile | |
| 34 | 12.3 | Benzofuran, 2,3-dihydro- | |
| 35 | 12.4 | Naphthalene, 1,2-dihydro- | |
| 36 | 12.5 | 2-Phenylpropenal | |
| 37 | 12.6 | 2-Propenenitrile, 3-phenyl-, (E)- | |
| 38 | 12.7 | Naphthalene | |
| 39 | 12.8 | 4-Vinylphenol | |
| 40 | 13.1 | Benzenepropanenitrile | |
| 41 | 13.2 | Benzenepropanenitrile, α-methylene- | |
| 42 | 13.7 | 2-methylene-4-phenylbutanenitrile (ANS) | |
| 43 | 14.0 | Benzene, (1-methyl-3-butenyl)- | |
| 44 | 14.3 | 4-Phenylpent-4-enenitrile (SAN’) | |
| 45 | 14.4 | 4-Phenylpentanenitrile (SAN) | |
| 46 | 15 | Bibenzyl | |
| 47 | 15.2 | Benzene, 1,1′-(1-methyl-1,2-ethanediyl)bis- | |
| 48 | 15.8 | Benzene, 1,1′-(1,3-propanediyl)bis- | |
| 49 | 16.2 | 3-Butene-1,3-diyldibenzene (SS) | |
| 50 | 16.3 | 1,2-Diphenylcyclopropane | |
| 51 | 16.6 | 2-Methylene-4-phenethylpentanedinitrile (ANANS) | |
| 52 | 16.8 | 2-Methylene-4-phenylheptanedinitrile (ANSAN) | |
| 53 | 16.9 | 2-(2-Phenylallyl)pentanedinitrile (SANAN) | |
| 54 | 17.3 | Hex-1-ene,2,5-diphenyl- | |
| 55 | 18.2 | 2-Methylene-4,6-diphenylhexanenitrile (ANSS) | |
| 56 | 18.4 | 4,6-Diphenylhept-6-enenitrile (SSAN) | |
| 57 | 18.5 | 2-Phenethyl-4-phenylpent-4-enenitrile (SANS) | |
| 58 | 19.6 | 5-Hexene-1,3,5-triyltribenzene (SSS) |
Disclaimer/Publisher’s Note: The statements, opinions and data contained in all publications are solely those of the individual author(s) and contributor(s) and not of MDPI and/or the editor(s). MDPI and/or the editor(s) disclaim responsibility for any injury to people or property resulting from any ideas, methods, instructions or products referred to in the content. |
© 2023 by the authors. Licensee MDPI, Basel, Switzerland. This article is an open access article distributed under the terms and conditions of the Creative Commons Attribution (CC BY) license (https://creativecommons.org/licenses/by/4.0/).
Share and Cite
Sabatini, F.; Pizzimenti, S.; Bargagli, I.; Degano, I.; Duce, C.; Cartechini, L.; Modugno, F.; Rosi, F. A Thermal Analytical Study of LEGO® Bricks for Investigating Light-Stability of ABS. Polymers 2023, 15, 3267. https://doi.org/10.3390/polym15153267
Sabatini F, Pizzimenti S, Bargagli I, Degano I, Duce C, Cartechini L, Modugno F, Rosi F. A Thermal Analytical Study of LEGO® Bricks for Investigating Light-Stability of ABS. Polymers. 2023; 15(15):3267. https://doi.org/10.3390/polym15153267
Chicago/Turabian StyleSabatini, Francesca, Silvia Pizzimenti, Irene Bargagli, Ilaria Degano, Celia Duce, Laura Cartechini, Francesca Modugno, and Francesca Rosi. 2023. "A Thermal Analytical Study of LEGO® Bricks for Investigating Light-Stability of ABS" Polymers 15, no. 15: 3267. https://doi.org/10.3390/polym15153267
APA StyleSabatini, F., Pizzimenti, S., Bargagli, I., Degano, I., Duce, C., Cartechini, L., Modugno, F., & Rosi, F. (2023). A Thermal Analytical Study of LEGO® Bricks for Investigating Light-Stability of ABS. Polymers, 15(15), 3267. https://doi.org/10.3390/polym15153267

