Eco-Friendly Methods for Extraction and Modification of Cellulose: An Overview
Abstract
1. Background
2. Sources of Cellulose
| Lignocellulose Biomass | Cellulose Source | Cellulose (%) | Ref. |
|---|---|---|---|
| Hardwood | Poplar | 35–50.0 | [21,22,23] |
| Oak | 40.4 | [24] | |
| Eucalyptus | 40–45.0 | [25,26,27] | |
| Acacia | 40–45.0 | [28] | |
| Softwood | Pine | 42.0–50.0 | [29,30] |
| Douglas fir | 40.0–50.0 | [31,32] | |
| Spruce | 45.5 | [33] | |
| Agriculture waste | Wheat straw | 35.0–39.0 | [34] |
| Barley hull | 34.0 | [35] | |
| Barley straw | 36.0–43.0 | [36,37] | |
| Rice straw | 29.2–34.7 | [38,39,40] | |
| Rice husks | 28.7–35.6 | [41] | |
| Oat straw | 31.0–35.0 | [42] | |
| Corn cobs | 33.7–41.2 | [43] | |
| Corn stalks | 35.0–39.6 | [44] | |
| Sugarcane bagasse | 25.0–45.0 | [45] | |
| Sorghum straw | 32.0–35.0 | [46] | |
| Grasses | Grasses | 25.0–40.0 | [47] |
| Switchgrass | 35.0–40.0 | [48] |
3. Green Methods for Cellulose Extraction
4. Cellulose Structure
5. Cellulose Reactivity
6. Chemical Modification of Cellulose
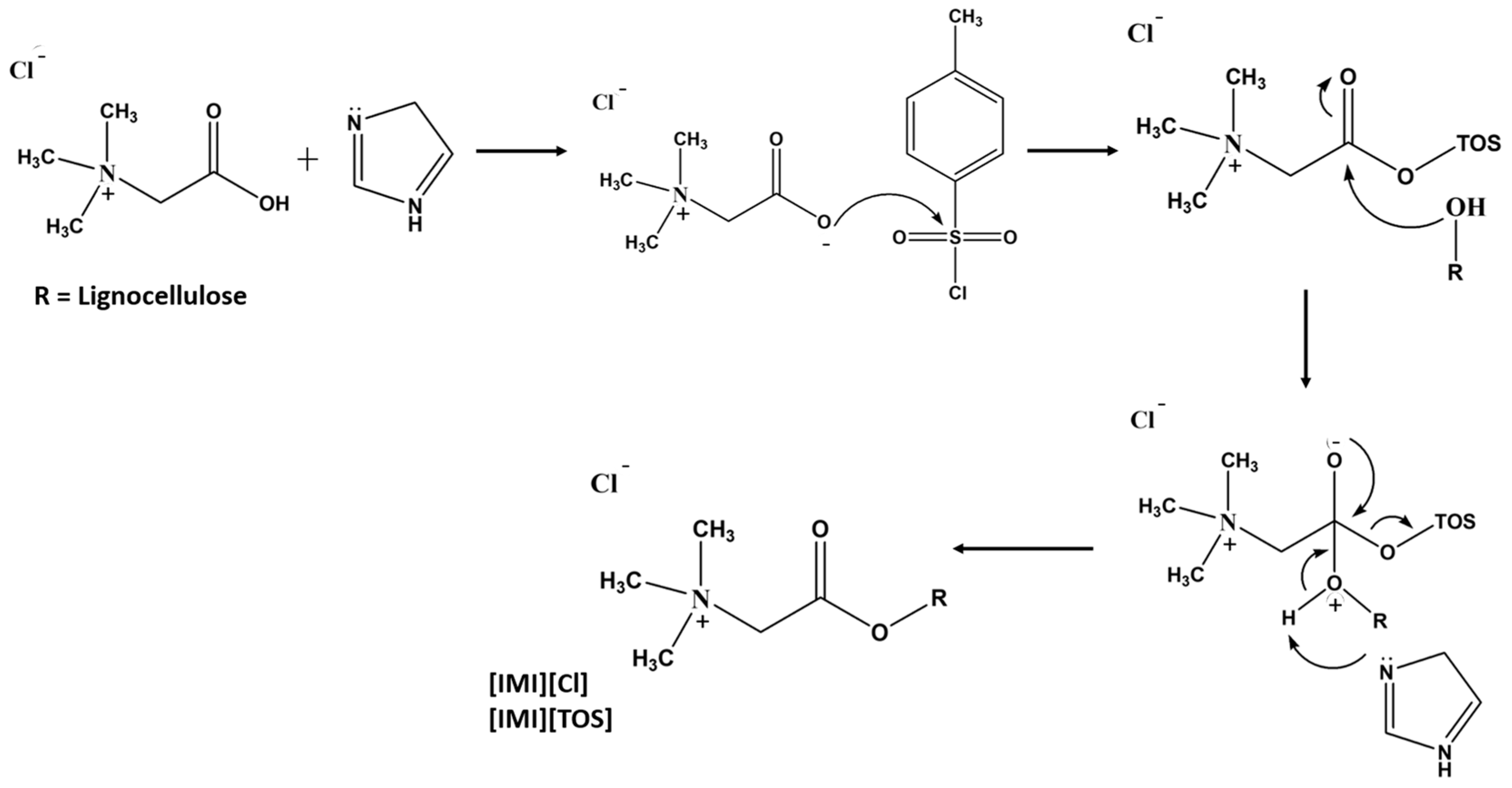
6.1. Cationization
6.2. Anionization
6.3. Hydrophobic Modification
7. Applications of Cellulose Derivatives
| Reference | Molecular Weight/Degree of Polymerization | Type of Derivatization | Degree of Substitution | Application of Cellulose Derivative |
|---|---|---|---|---|
| Tonoli et al. [128] | Not provided | Silane grafting—methacryloxypropyltri-methoxysilane (MPTS) and aminopropyltri-ethoxysilane (APTS) | Not provided | Fiber-cement composite reinforcement |
| Singh et al. [127] | Carboxymethyl cellulose (CMC)—250 kDa; Hydroxyethyl cellulose (HEC)—720 kDa | Cellulose etherification | CMC—0.80–0.85; HEC 2.5 mol/mol cellulose | Edible cellulose-based films for probiotic entrapment |
| Alves et al. [13] | Degree of polymerization of 381 | Oxidation with NaOCl in the presence of catalytic amounts of TEMPO and NaBr | Carboxylic group content: 0.74 mmol/g | Cellulose-based composite films for food packaging or printed electronics |
| Fuller et al. [140] | Not provided | Cellulose cationization with CHPTAC | ca. 700 μmol/g | Cationized cellulosic sorbents for the removal of insensitive munition constituents |
| Chambin et al. [132] | Hydroxypropylmethyl cellulose (HPMC)—low MW; Ethyl cellulose (EC)—230 kDa | Cellulose etherification | HPMC—1.9 methoxy groups per anhydroglucose unit; EC—Ethoxyl content% (w/w)—48–49.5 | Matrices (granules and tablets) for drug release |
| Bianchi et al. [135] | Hydroxypropylmethyl cellulose (HPMC)—medium MW—500 kDa | Cellulose etherification | Methoxy content: 19–24% (w/w); Hydroxypropyl content: 1–7% (w/w) | Hydrogels with wound dressing capability, in association with β-cyclodextrin |
| Suliwarno et al. [136] | Methyl cellulose (MC)—18–27 kDa | Cellulose etherification | DS: 1.4–2.0 | Hydrogel-based material formed by electron beam irradiation crosslinking, with wound dressing capability |
| Niemczyk-Soczynska et al. [137] | Methyl cellulose (MC)—13–16 kDa | Cellulose etherification | DS: 1.8 | Hydrogels based on thermally induced crosslinking to produce scaffolds for tissue engineering |
| Pasqui et al. [138] | Carboxymethyl cellulose (CMC)—700 kDa | Cellulose etherification | Degree of carboxymethylation of 95% | Carboxymethyl cellulose-hydroxyapatite hybrid hydrogels for composite materials for bone tissue engineering applications |
| Dai et al. [139] | Sodium carboxymethyl cellulose (NaCMC)—275 kDa | Cellulose etherification | DS: 0.82 | PEG-carboxy-methylcellulose nanoparticle hydrogels for injectable and thermosensitive drug delivery |
| Grenda et al. [5] | Not provided | Periodate oxidation to form cellulose dialdehyde is followed by anionization with sodium metabisulfite (ADAC) or cationization with Girard’s T reagent (CDAC) | ADAC—Anionicity index (mmol/g): 4.17–4.90; CDAC—cationicity index (mmol/g): 2.84–3.56 | Anionic and cationic pulp-based flocculants for application in effluent treatment from the textile industry |
| Pedrosa et al. [141] | Not provided | Cellulose dialdehyde prepared through periodate oxidation and cationized with Girard’s T reagent (CDAC) or direct cationization of cellulose with CHPTAC | Charge density (mmol/g) of CDAC: 0.23–3.44; Charge density of CHPTAC modified cellulose (mmol/g): 0.46–0.92 | Flocculants for calcium carbonate in papermaking |
| Fu et al. [142] | Not provided | Direct cationization with CHPTAC | Not provided | Environmentally benign method for dyeing textiles as a substitute for reactive dyes |
| Pereira et al. [143] | Not provided | Direct cationization of cellulose with glycidyltrimethylammonium chloride (GTAC) in a water/THF mixture | DS: 0.13–0.33 | Dye fixation and dye exhaustion lead to textiles with enhanced dye uptake |
8. Concluding Remarks
Author Contributions
Funding
Institutional Review Board Statement
Data Availability Statement
Conflicts of Interest
References
- European Pulp Industry Sector Association Aisbl. Forests as Solutions for Global Challenges; European Pulp Industry Sector Association Aisbl: Brussels, Belgium, 2022. [Google Scholar]
- World Resources Institute. Climate Change: Are Forests Carbon Sinks or Carbon Sources? World Resources Institute: Washington, DC, USA, 2021. [Google Scholar]
- Guleria, A.; Kumari, G.; Saravanamurugan, S. Cellulose Valorization to Potential Platform Chemicals. In Biomass, Biofuels, Biochemicals; Elsevier: Amsterdam, The Netherlands, 2020; pp. 433–457. ISBN 978-0-444-64307-0. [Google Scholar]
- Seddiqi, H.; Oliaei, E.; Honarkar, H.; Jin, J.; Geonzon, L.C.; Bacabac, R.G.; Klein-Nulend, J. Cellulose and Its Derivatives: Towards Biomedical Applications. Cellulose 2021, 28, 1893–1931. [Google Scholar] [CrossRef]
- Grenda, K.; Gamelas, J.A.F.; Arnold, J.; Cayre, O.J.; Rasteiro, M.G. Evaluation of Anionic and Cationic Pulp-Based Flocculants With Diverse Lignin Contents for Application in Effluent Treatment From the Textile Industry: Flocculation Monitoring. Front. Chem. 2020, 8, 5. [Google Scholar] [CrossRef]
- Heinze, T.; Liebert, T. Unconventional Methods in Cellulose Functionalization. Prog. Polym. Sci. 2001, 26, 1689–1762. [Google Scholar] [CrossRef]
- Beaumont, M.; Winklehner, S.; Veigel, S.; Mundigler, N.; Gindl-Altmutter, W.; Potthast, A.; Rosenau, T. Wet Esterification of Never-Dried Cellulose: A Simple Process to Surface-Acetylated Cellulose Nanofibers. Green Chem. 2020, 22, 5605–5609. [Google Scholar] [CrossRef]
- Jiang, Z.; Ngai, T. Recent Advances in Chemically Modified Cellulose and Its Derivatives for Food Packaging Applications: A Review. Polymers 2022, 14, 1533. [Google Scholar] [CrossRef]
- Sjahro, N.; Yunus, R.; Abdullah, L.C.; Rashid, S.A.; Asis, A.J.; Akhlisah, Z.N. Recent Advances in the Application of Cellulose Derivatives for Removal of Contaminants from Aquatic Environments. Cellulose 2021, 28, 7521–7557. [Google Scholar] [CrossRef]
- Goodman, R.M. Encyclopedia of Plant and Crop Science, 1st ed.; Routledge: Oxford, UK, 2004; ISBN 978-0-203-75760-4. [Google Scholar]
- He, X.; Lu, W.; Sun, C.; Khalesi, H.; Mata, A.; Andaleeb, R.; Fang, Y. Cellulose and Cellulose Derivatives: Different Colloidal States and Food-Related Applications. Carbohydr. Polym. 2021, 255, 117334. [Google Scholar] [CrossRef]
- Krotscheck, A.W. Pulp Washing. In Handbook of Pulp; John Wiley & Sons Ltd.: Hoboken, NJ, USA, 2006; pp. 511–559. ISBN 978-3-527-61988-7. [Google Scholar]
- Alves, L.; Ramos, A.; Rasteiro, M.G.; Vitorino, C.; Ferraz, E.; Ferreira, P.J.T.; Puertas, M.L.; Gamelas, J.A.F. Composite Films of Nanofibrillated Cellulose with Sepiolite: Effect of Preparation Strategy. Coatings 2022, 12, 303. [Google Scholar] [CrossRef]
- Almeida, R.O.; Ramos, A.; Alves, L.; Potsi, E.; Ferreira, P.J.T.; Carvalho, M.G.V.S.; Rasteiro, M.G.; Gamelas, J.A.F. Production of Nanocellulose Gels and Films from Invasive Tree Species. Int. J. Biol. Macromol. 2021, 188, 1003–1011. [Google Scholar] [CrossRef] [PubMed]
- Przybysz, K.; Małachowska, E.; Martyniak, D.; Boruszewski, P.; Iłowska, J.; Kalinowska, H.; Przybysz, P. Yield of Pulp, Dimensional Properties of Fibers, and Properties of Paper Produced from Fast Growing Trees and Grasses. BioResources 2018, 13, 1372–1387. [Google Scholar] [CrossRef]
- Heinze, T.; El Seoud, O.A.; Koschella, A. Production and Characteristics of Cellulose from Different Sources. In Cellulose Derivatives: Synthesis, Structure, and Properties; Heinze, T., El Seoud, O.A., Koschella, A., Eds.; Springer International Publishing: Cham, Switzerland, 2018; pp. 1–38. ISBN 978-3-319-73168-1. [Google Scholar]
- Medronho, B.; Lindman, B. Brief Overview on Cellulose Dissolution/Regeneration Interactions and Mechanisms. Adv. Colloid Interface Sci. 2015, 222, 502–508. [Google Scholar] [CrossRef] [PubMed]
- Medronho, B.; Lindman, B. Competing Forces during Cellulose Dissolution: From Solvents to Mechanisms. Curr. Opin. Colloid Interface Sci. 2014, 19, 32–40. [Google Scholar] [CrossRef]
- Trache, D.; Hussin, M.H.; Haafiz, M.K.M.; Thakur, V.K. Recent Progress in Cellulose Nanocrystals: Sources and Production. Nanoscale 2017, 9, 1763–1786. [Google Scholar] [CrossRef]
- Magalhães, S.; Filipe, A.; Melro, E.; Fernandes, C.; Vitorino, C.; Alves, L.; Romano, A.; Rasteiro, M.G.; Medronho, B. Lignin Extraction from Waste Pine Sawdust Using a Biomass Derived Binary Solvent System. Polymers 2021, 13, 1090. [Google Scholar] [CrossRef]
- Song, L.; Wang, R.; Jiang, J.; Xu, J.; Gou, J. Stepwise Separation of Poplar Wood in Oxalic Acid/Water and γ-Valerolactone/Water Systems. RSC Adv. 2020, 10, 11188–11199. [Google Scholar] [CrossRef] [PubMed]
- Su, Y.; Huang, C.; Lai, C.; Yong, Q. Green Solvent Pretreatment for Enhanced Production of Sugars and Antioxidative Lignin from Poplar. Bioresour. Technol. 2021, 321, 124471. [Google Scholar] [CrossRef] [PubMed]
- Zborowska, M.; Waliszewska, H.; Waliszewska, B.; Borysiak, S.; Brozdowski, J.; Stachowiak-Wencek, A. Conversion of Carbohydrates in Lignocellulosic Biomass after Chemical Pretreatment. Energies 2021, 15, 254. [Google Scholar] [CrossRef]
- Zborowska, M.; Waliszewska, B.; Prądzyński, W.; Babiński, L. Qualitative Characteristics of Cellulose from Archaeological Oak (Quercus Sp.) Wood. Wood Res. 2007, 52, 33–40. [Google Scholar]
- Pappas, C.; Tarantilis, P.A.; Daliani, I.; Mavromoustakos, T.; Polissiou, M. Comparison of Classical and Ultrasound-Assisted Isolation Procedures of Cellulose from Kenaf (Hibiscus cannabinus L.) and Eucalyptus (Eucalyptus rodustrus Sm.). Ultrason. Sonochemistry 2002, 9, 19–23. [Google Scholar] [CrossRef] [PubMed]
- Romaní, A.; Ruiz, H.A.; Pereira, F.B.; Domingues, L.; Teixeira, J.A. Fractionation of Eucalyptus Globulus Wood by Glycerol–Water Pretreatment: Optimization and Modeling. Ind. Eng. Chem. Res. 2013, 52, 14342–14352. [Google Scholar] [CrossRef]
- Castoldi, R.; Bracht, A.; de Morais, G.R.; Baesso, M.L.; Correa, R.C.G.; Peralta, R.A.; Moreira, R.d.F.P.M.; Polizeli, M.d.L.T.d.M.; de Souza, C.G.M.; Peralta, R.M. Biological Pretreatment of Eucalyptus Grandis Sawdust with White-Rot Fungi: Study of Degradation Patterns and Saccharification Kinetics. Chem. Eng. J. 2014, 258, 240–246. [Google Scholar] [CrossRef]
- Yáñez, R.; Romaní, A.; Garrote, G.; Alonso, J.L.; Parajó, J.C. Experimental Evaluation of Alkaline Treatment as a Method for Enhancing the Enzymatic Digestibility of Autohydrolysed Acacia dealbata. J. Chem. Technol. Biotechnol. 2009, 84, 1070–1077. [Google Scholar] [CrossRef]
- Gong, C.; Huang, J.; Feng, C.; Wang, G.; Tabil, L.; Wang, D. Effects and Mechanism of Ball Milling on Torrefaction of Pine Sawdust. Bioresour. Technol. 2016, 214, 242–247. [Google Scholar] [CrossRef] [PubMed]
- Cavali, M.; Soccol, C.R.; Tavares, D.; Zevallos Torres, L.A.; Oliveira de Andrade Tanobe, V.; Zandoná Filho, A.; Woiciechowski, A.L. Effect of Sequential Acid-Alkaline Treatment on Physical and Chemical Characteristics of Lignin and Cellulose from Pine (Pinus spp.) Residual Sawdust. Bioresour. Technol. 2020, 316, 123884. [Google Scholar] [CrossRef] [PubMed]
- Socha, A.M.; Plummer, S.P.; Stavila, V.; Simmons, B.A.; Singh, S. Comparison of Sugar Content for Ionic Liquid Pretreated Douglas-Fir Woodchips and Forestry Residues. Biotechnol. Biofuels 2013, 6, 61. [Google Scholar] [CrossRef] [PubMed]
- Zhu, R.; Yadama, V. Isolation and Characterization of Cellulose Micro/Nanofibrils from Douglas Fir. J. Polym. Environ. 2018, 26, 1012–1023. [Google Scholar] [CrossRef]
- Le Normand, M.; Moriana, R.; Ek, M. Isolation and Characterization of Cellulose Nanocrystals from Spruce Bark in a Biorefinery Perspective. Carbohydr. Polym. 2014, 111, 979–987. [Google Scholar] [CrossRef]
- Li, H.; Zhang, H.; Xiong, L.; Chen, X.; Wang, C.; Huang, C.; Chen, X. Isolation of Cellulose from Wheat Straw and Its Utilization for the Preparation of Carboxymethyl Cellulose. Fibers Polym. 2019, 20, 975–981. [Google Scholar] [CrossRef]
- Ighwela, K.A.; Ahmad, A.; Abol-Munafi, A. Production of Cellulose from Barley Husks as a Partial Ingredient of Formulated Diet for Tilapia Fingerlings. J. Biol. Agric. Healthc. 2012, 2, 19–24. [Google Scholar]
- Kim, T.H.; Jeon, Y.J.; Oh, K.K.; Kim, T.H. Production of Furfural and Cellulose from Barley Straw Using Acidified Zinc Chloride. Korean J. Chem. Eng. 2013, 30, 1339–1346. [Google Scholar] [CrossRef]
- Sun, J.X.; Xu, F.; Sun, X.F.; Xiao, B.; Sun, R.C. Physico-Chemical and Thermal Characterization of Cellulose from Barley Straw. Polym. Degrad. Stab. 2005, 88, 521–531. [Google Scholar] [CrossRef]
- Reddy, N.; Yang, Y. Properties of High-Quality Long Natural Cellulose Fibers from Rice Straw. J. Agric. Food Chem. 2006, 54, 8077–8081. [Google Scholar] [CrossRef]
- Razali, N.A.M.; Mohd Sohaimi, R.; Othman, R.N.I.R.; Abdullah, N.; Demon, S.Z.N.; Jasmani, L.; Yunus, W.M.Z.W.; Ya’acob, W.M.H.W.; Salleh, E.M.; Norizan, M.N.; et al. Comparative Study on Extraction of Cellulose Fiber from Rice Straw Waste from Chemo-Mechanical and Pulping Method. Polymers 2022, 14, 387. [Google Scholar] [CrossRef] [PubMed]
- Elumalai, S.; Agarwal, B.; Sangwan, R.S. Thermo-Chemical Pretreatment of Rice Straw for Further Processing for Levulinic Acid Production. Bioresour. Technol. 2016, 218, 232–246. [Google Scholar] [CrossRef]
- De Oliveira, J.P.; Bruni, G.P.; Lima, K.O.; El Halal, S.L.M.; DA Rosa, G.S.; Dias, A.R.G.; da Rosa Zavareze, E. Cellulose Fibers Extracted from Rice and Oat Husks and Their Application in Hydrogel. Food Chem. 2017, 221, 153–160. [Google Scholar] [CrossRef]
- Zelenchuk, T.V.; Deykun, I.M.; Barbash, V.A. Obtaining of Peracetic Cellulose from Oat Straw for Paper Manufacturing. Res. Bull. Natl. Technol. Univ. Ukr. Kyiv Politech. Inst. 2017, 0, 123–131. [Google Scholar] [CrossRef]
- Shogren, R.L.; Peterson, S.C.; Evans, K.O.; Kenar, J.A. Preparation and Characterization of Cellulose Gels from Corn Cobs. Carbohydr. Polym. 2011, 86, 1351–1357. [Google Scholar] [CrossRef]
- Ferdous, T. Pulping of Bagasse (Saccrarum officinarum), Kash (Saccharum spontaneum) and Corn Stalks (Zea mays). Curr. Res. Green Sustain. Chem. 2020, 7, 100017. [Google Scholar] [CrossRef]
- Asgher, M.; Ahmad, Z.; Iqbal, H.M.N. Alkali and Enzymatic Delignification of Sugarcane Bagasse to Expose Cellulose Polymers for Saccharification and Bio-Ethanol Production. Ind. Crop. Prod. 2013, 44, 488–495. [Google Scholar] [CrossRef]
- Andrade Alves, J.A.; Lisboa dos Santos, M.D.; Morais, C.C.; Ramirez Ascheri, J.L.; Signini, R.; dos Santos, D.M.; Cavalcante Bastos, S.M.; Ramirez Ascheri, D.P. Sorghum Straw: Pulping and Bleaching Process Optimization and Synthesis of Cellulose Acetate. Int. J. Biol. Macromol. 2019, 135, 877–886. [Google Scholar] [CrossRef]
- Reddy, K.O.; Maheswari, C.U.; Dhlamini, M.S.; Mothudi, B.M.; Kommula, V.P.; Zhang, J.; Zhang, J.; Rajulu, A.V. Extraction and Characterization of Cellulose Single Fibers from Native African Napier Grass. Carbohydr. Polym. 2018, 188, 85–91. [Google Scholar] [CrossRef] [PubMed]
- Reddy, N.; Yang, Y. Natural Cellulose Fibers from Switchgrass with Tensile Properties Similar to Cotton and Linen. Biotechnol. Bioeng. 2007, 97, 1021–1027. [Google Scholar] [CrossRef] [PubMed]
- Shankaran, D.R. Chapter 14—Cellulose Nanocrystals for Health Care Applications. In Applications of Nanomaterials; Mohan Bhagyaraj, S., Oluwafemi, O.S., Kalarikkal, N., Thomas, S., Eds.; Woodhead Publishing: Sawston, UK, 2018; pp. 415–459. ISBN 978-0-08-101971-9. [Google Scholar]
- Fernandes, C.; Melro, E.; Magalhães, S.; Alves, L.; Craveiro, R.; Filipe, A.; Valente, A.J.M.; Martins, G.; Antunes, F.E.; Romano, A.; et al. New Deep Eutectic Solvent Assisted Extraction of Highly Pure Lignin from Maritime Pine Sawdust (Pinus pinaster Ait.). Int. J. Biol. Macromol. 2021, 177, 294–305. [Google Scholar] [CrossRef]
- Li, P.; Yang, C.; Jiang, Z.; Jin, Y.; Wu, W. Lignocellulose Pretreatment by Deep Eutectic Solvents and Related Technologies: A Review. J. Bioresour. Bioprod. 2023, 8, 33–44. [Google Scholar] [CrossRef]
- Verdía Barbará, P.; Abouelela Rafat, A.; Hallett, J.P.; Brandt-Talbot, A. Purifying Cellulose from Major Waste Streams Using Ionic Liquids and Deep Eutectic Solvents. Curr. Opin. Green Sustain. Chem. 2023, 41, 100783. [Google Scholar] [CrossRef]
- Lin, X.; Jiang, K.; Liu, X.; Han, D.; Zhang, Q. Review on Development of Ionic Liquids in Lignocellulosic Biomass Refining. J. Mol. Liq. 2022, 359, 119326. [Google Scholar] [CrossRef]
- Raju, S.; Carbery, M.; Kuttykattil, A.; Senthirajah, K.; Lundmark, A.; Rogers, Z.; Scb, S.; Evans, G.; Palanisami, T. Improved Methodology to Determine the Fate and Transport of Microplastics in a Secondary Wastewater Treatment Plant. Water Res. 2020, 173, 115549. [Google Scholar] [CrossRef]
- Yinghuai, Z.; Tang, K.; Hosmane, N.S. Applications of Ionic Liquids in Lignin Chemistry. In Ionic Liquids—New Aspects for the Future; Kadokawa, J., Ed.; InTech: Houston, TX, USA, 2013; ISBN 978-953-51-0937-2. [Google Scholar]
- Brandt, A.; Gräsvik, J.; Hallett, J.P.; Welton, T. Deconstruction of Lignocellulosic Biomass with Ionic Liquids. Green Chem. 2013, 15, 550. [Google Scholar] [CrossRef]
- Hou, Q.; Ju, M.; Li, W.; Liu, L.; Chen, Y.; Yang, Q. Pretreatment of Lignocellulosic Biomass with Ionic Liquids and Ionic Liquid-Based Solvent Systems. Molecules 2017, 22, 490. [Google Scholar] [CrossRef]
- Hummel, M.; Froschauer, C.; Laus, G.; Röder, T.; Kopacka, H.; Hauru, L.K.J.; Weber, H.K.; Sixta, H.; Schottenberger, H. Dimethyl Phosphorothioate and Phosphoroselenoate Ionic Liquids as Solvent Media for Cellulosic Materials. Green Chem. 2011, 13, 2507. [Google Scholar] [CrossRef]
- Abe, M.; Kuroda, K.; Sato, D.; Kunimura, H.; Ohno, H. Effects of Polarity, Hydrophobicity, and Density of Ionic Liquids on Cellulose Solubility. Phys. Chem. Chem. Phys. 2015, 17, 32276–32282. [Google Scholar] [CrossRef]
- King, A.W.T.; Asikkala, J.; Mutikainen, I.; Järvi, P.; Kilpeläinen, I. Distillable Acid-Base Conjugate Ionic Liquids for Cellulose Dissolution and Processing. Angew. Chem. Int. Ed. 2011, 50, 6301–6305. [Google Scholar] [CrossRef]
- Trache, D.; Hussin, M.H.; Hui Chuin, C.T.; Sabar, S.; Fazita, M.R.N.; Taiwo, O.F.A.; Hassan, T.M.; Haafiz, M.K.M. Microcrystalline Cellulose: Isolation, Characterization and Bio-Composites Application—A Review. Int. J. Biol. Macromol. 2016, 93, 789–804. [Google Scholar] [CrossRef]
- Nechyporchuk, O.; Belgacem, M.N.; Bras, J. Production of Cellulose Nanofibrils: A Review of Recent Advances. Ind. Crop. Prod. 2016, 93, 2–25. [Google Scholar] [CrossRef]
- George, J.; Sabapathi, S.N. Cellulose Nanocrystals: Synthesis, Functional Properties, and Applications. Nanotechnol. Sci. Appl. 2015, 8, 45–54. [Google Scholar] [CrossRef] [PubMed]
- Roy, D.; Semsarilar, M.; Guthrie, J.T.; Perrier, S. Cellulose Modification by Polymer Grafting: A Review. Chem. Soc. Rev. 2009, 38, 2046. [Google Scholar] [CrossRef] [PubMed]
- Francisco, M.; van der Bruinhorst, A.; Kroon, M.C. Low-Transition-Temperature Mixtures (LTTMs): A New Generation of Designer Solvents. Angew. Chem. Int. Ed. 2013, 52, 3074–3085. [Google Scholar] [CrossRef]
- Alves, L.C.H. Cellulose Solutions: Dissolution, Regeneration, Solution Structure and Molecular Interactions. Ph.D. Thesis, Universidade de Coimbra, Coimbra, Portugal, 2015. [Google Scholar]
- Tang, X.; Zuo, M.; Li, Z.; Liu, H.; Xiong, C.; Zeng, X.; Sun, Y.; Hu, L.; Liu, S.; Lei, T.; et al. Green Processing of Lignocellulosic Biomass and Its Derivatives in Deep Eutectic Solvents. ChemSusChem 2017, 10, 2696–2706. [Google Scholar] [CrossRef]
- Xie, H.; King, A.; Kilpelainen, I.; Granstrom, M.; Argyropoulos, D.S. Thorough Chemical Modification of Wood-Based Lignocellulosic Materials in Ionic Liquids. Biomacromolecules 2007, 8, 3740–3748. [Google Scholar] [CrossRef]
- Zhou, M.; Fakayode, O.A.; Ahmed Yagoub, A.E.; Ji, Q.; Zhou, C. Lignin Fractionation from Lignocellulosic Biomass Using Deep Eutectic Solvents and Its Valorization. Renew. Sustain. Energy Rev. 2022, 156, 111986. [Google Scholar] [CrossRef]
- Magalhães, S.; Moreira, A.; Almeida, R.; Cruz, P.F.; Alves, L.; Costa, C.; Mendes, C.; Medronho, B.; Romano, A.; Carvalho, M.d.G.; et al. Acacia Wood Fractionation Using Deep Eutectic Solvents: Extraction, Recovery, and Characterization of the Different Fractions. ACS Omega 2022, 7, 26005–26014. [Google Scholar] [CrossRef] [PubMed]
- Zhou, M.; Fakayode, O.A.; Ren, M.; Li, H.; Liang, J.; Zhou, C. Green and Sustainable Extraction of Lignin by Deep Eutectic Solvent, Its Antioxidant Activity, and Applications in the Food Industry. Crit. Rev. Food Sci. Nutr. 2023, 1–19. [Google Scholar] [CrossRef]
- Loow, Y.-L.; New, E.K.; Yang, G.H.; Ang, L.Y.; Foo, L.Y.W.; Wu, T.Y. Potential Use of Deep Eutectic Solvents to Facilitate Lignocellulosic Biomass Utilization and Conversion. Cellulose 2017, 24, 3591–3618. [Google Scholar] [CrossRef]
- Zhang, S.; Wang, W.-C.; Li, F.-X.; Yu, J.-Y. Swelling and Dissolution of Cellulose in Naoh Aqueous Solvent Systems. Cellul. Chem. Technol. 2013, 47, 671–679. [Google Scholar]
- Jölly, I.; Schlögl, S.; Wolfahrt, M.; Pinter, G.; Fleischmann, M.; Kern, W. Chemical Functionalization of Composite Surfaces for Improved Structural Bonded Repairs. Compos. Part B Eng. 2015, 69, 296–303. [Google Scholar] [CrossRef]
- Dufresne, A. Nanocellulose; De Gruyter: Berlin, Germany, 2012. [Google Scholar] [CrossRef]
- Chen, Y.-F.; Kaur, L.; Singh, J. Chapter 7—Chemical Modification of Starch. In Starch in Food (Second Edition); Sjöö, M., Nilsson, L., Eds.; Woodhead Publishing Series in Food Science, Technology and Nutrition; Woodhead Publishing: Sawston, UK, 2018; pp. 283–321. ISBN 978-0-08-100868-3. [Google Scholar]
- Nagel, M.C.V.; Heinze, T. Esterification of Cellulose with Acyl-1H-Benzotriazole. Polym. Bull. 2010, 65, 873–881. [Google Scholar] [CrossRef]
- Credou, J.; Berthelot, T. Cellulose: From Biocompatible to Bioactive Material. J. Mater. Chem. B 2014, 2, 4767–4788. [Google Scholar] [CrossRef]
- Hiller, L.A. The Reaction of Cellulose with Acetic Acid. J. Polym. Sci. 1954, 14, 555–577. [Google Scholar] [CrossRef]
- Pönni, R.; Kontturi, E.; Vuorinen, T. Accessibility of Cellulose: Structural Changes and Their Reversibility in Aqueous Media. Carbohydr. Polym. 2013, 93, 424–429. [Google Scholar] [CrossRef]
- Larriba, M.; Ayuso, M.; Navarro, P.; Delgado-Mellado, N.; Gonzalez-Miquel, M.; García, J.; Rodríguez, F. Choline Chloride-Based Deep Eutectic Solvents in the Dearomatization of Gasolines. ACS Sustain. Chem. Eng. 2018, 6, 1039–1047. [Google Scholar] [CrossRef]
- Li, B.; Zhou, M.; Huo, W.; Cai, D.; Qin, P.; Cao, H.; Tan, T. Fractionation and Oxypropylation of Corn-Stover Lignin for the Production of Biobased Rigid Polyurethane Foam. Ind. Crop. Prod. 2020, 143, 111887. [Google Scholar] [CrossRef]
- Zhang, X.; Kim, Y.; Elsayed, I.; Taylor, M.; Eberhardt, T.L.; Hassan, E.B.; Shmulsky, R. Rigid Polyurethane Foams Containing Lignin Oxyalkylated with Ethylene Carbonate and Polyethylene Glycol. Ind. Crop. Prod. 2019, 141, 111797. [Google Scholar] [CrossRef]
- Hasan, A.M.A.; Abdel-Raouf, M.E.-S. Cellulose-Based Superabsorbent Hydrogels. In Cellulose-Based Superabsorbent Hydrogels; Mondal, M.d.I.H., Ed.; Polymers and Polymeric Composites: A Reference Series; Springer International Publishing: Cham, Switzerland, 2019; pp. 245–267. ISBN 978-3-319-77829-7. [Google Scholar]
- Hasani, M.; Westman, G.; Potthast, A.; Rosenau, T. Cationization of Cellulose by Using N-Oxiranylmethyl-N-Methylmorpholinium Chloride and 2-Oxiranylpyridine as Etherification Agents. J. Appl. Polym. Sci. 2009, 114, 1449–1456. [Google Scholar] [CrossRef]
- Koshani, R.; Tavakolian, M.; van de Ven, T.G.M. Cellulose-Based Dispersants and Flocculants. J. Mater. Chem. B 2020, 8, 10502–10526. [Google Scholar] [CrossRef]
- Coseri, S.; Biliuta, G.; Simionescu, B.C.; Stana-Kleinschek, K.; Ribitsch, V.; Harabagiu, V. Oxidized Cellulose—Survey of the Most Recent Achievements. Carbohydr. Polym. 2013, 93, 207–215. [Google Scholar] [CrossRef]
- Nikolic, T.; Kostic, M.; Praskalo, J.; Petronijevic, Z.; Skundric, P. Sorption Properties of Periodate Oxidized Cotton. Chem. Ind. Chem. Eng. Q. 2011, 17, 367–374. [Google Scholar] [CrossRef]
- Liimatainen, H.; Sirviö, J.; Pajari, H.; Hormi, O.; Niinimäki, J. Regeneration and Recycling of Aqueous Periodate Solution in Dialdehyde Cellulose Production. J. Wood Chem. Technol. 2013, 33, 258–266. [Google Scholar] [CrossRef]
- Leão, S.; Magalhães, S.; Alves, L.; Gamelas, J.A.F.; Lima, C.; Stein, B.; Rasteiro, M.D.G. Anionic Bio-Flocculants from Sugarcane for Purification of Sucrose: An Application of Circular Bioeconomy. Heliyon 2023, 9, e17134. [Google Scholar] [CrossRef]
- Liu, X.; Wang, L.; Song, X.; Song, H.; Zhao, J.R.; Wang, S. A Kinetic Model for Oxidative Degradation of Bagasse Pulp Fiber by Sodium Periodate. Carbohydr. Polym. 2012, 90, 218–223. [Google Scholar] [CrossRef]
- Rojas, O.J. Cellulose Chemistry and Properties: Fibers, Nanocelluloses and Advanced Materials, 1st ed.; Advances in Polymer Science; Springer: Cham, Switzerland, 2016; ISBN 978-3-319-26013-6. [Google Scholar]
- Ramírez, H.L.; Cao, R.; Fragoso, A.; Torres-Labandeira, J.J.; Dominguez, A.; Schacht, E.H.; Baños, M.; Villalonga, R. Improved Anti-Inflammatory Properties for Naproxen with Cyclodextrin-Grafted Polysaccharides. Macromol. Biosci. 2006, 6, 555–561. [Google Scholar] [CrossRef]
- Grenda, K.; Gamelas, J.A.F.; Hunkeler, D.; Rasteiro, M.G. Environmental Friendly Cellulose-Based Polyelectrolytes in Wastewater Treatment. Water Sci. Technol. 2016, 9, 1490–1499. [Google Scholar]
- Maatar, W.; Boufi, S. Microporous Cationic Nanofibrillar Cellulose Aerogel as Promising Adsorbent of Acid Dyes. Cellulose 2017, 24, 1001–1015. [Google Scholar] [CrossRef]
- Tavakolian, M.; Jafari, S.M.; van de Ven, T.G.M. A Review on Surface-Functionalized Cellulosic Nanostructures as Biocompatible Antibacterial Materials. Nano-Micro Lett. 2020, 12, 73. [Google Scholar] [CrossRef] [PubMed]
- Saini, S.; Yücel Falco, Ç.; Belgacem, M.N.; Bras, J. Surface Cationized Cellulose Nanofibrils for the Production of Contact Active Antimicrobial Surfaces. Carbohydr. Polym. 2016, 135, 239–247. [Google Scholar] [CrossRef] [PubMed]
- Otoni, C.G.; Figueiredo, J.S.L.; Capeletti, L.B.; Cardoso, M.B.; Bernardes, J.S.; Loh, W. Tailoring the Antimicrobial Response of Cationic Nanocellulose-Based Foams through Cryo-Templating. ACS Appl. Bio Mater. 2019, 2, 1975–1986. [Google Scholar] [CrossRef] [PubMed]
- Huang, L.; Ye, Z.; Berry, R. Modification of Cellulose Nanocrystals with Quaternary Ammonium-Containing Hyperbranched Polyethylene Ionomers by Ionic Assembly. ACS Sustain. Chem. Eng. 2016, 4, 4937–4950. [Google Scholar] [CrossRef]
- Hashem, M.M. Development of a One-Stage Process for Pretreatment and Cationisation of Cotton Fabric. Color. Technol. 2006, 122, 135–144. [Google Scholar] [CrossRef]
- Liimatainen, H.; Sirviö, J.; Sundman, O.; Visanko, M.; Hormi, O.; Niinimäki, J. Flocculation Performance of a Cationic Biopolymer Derived from a Cellulosic Source in Mild Aqueous Solution. Bioresour. Technol. 2011, 102, 9626–9632. [Google Scholar] [CrossRef]
- Hoover, M.F. Cationic Quaternary Polyelectrolytes—A Literature Review. J. Macromol. Sci. Part A—Chem. 1970, 4, 1327–1418. [Google Scholar] [CrossRef]
- Gao, F. Onium-Functionalised Polymers in the Design of Non-Leaching Antimicrobial Surfaces. Macromol. Mater. Eng. 2012, 297, 1038–1071. [Google Scholar] [CrossRef]
- Grenda, K.; Gamelas, J.A.F.; Arnold, J.; Cayre, O.J.; Rasteiro, M.G. Cationization of Eucalyptus Wood Waste Pulps with Diverse Lignin Contents for Potential Application in Colored Wastewater Treatment. RSC Adv. 2019, 9, 34814–34826. [Google Scholar] [CrossRef] [PubMed]
- Sirviö, J.; Honka, A.; Liimatainen, H.; Niinimäki, J.; Hormi, O. Synthesis of Highly Cationic Water-Soluble Cellulose Derivative and Its Potential as Novel Biopolymeric Flocculation Agent. Carbohydr. Polym. 2011, 86, 266–270. [Google Scholar] [CrossRef]
- Sirviö, J.A.; Anttila, A.-K.; Pirttilä, A.M.; Liimatainen, H.; Kilpeläinen, I.; Niinimäki, J.; Hormi, O. Cationic Wood Cellulose Films with High Strength and Bacterial Anti-Adhesive Properties. Cellulose 2014, 21, 3573–3583. [Google Scholar] [CrossRef]
- Pedrosa, J.F.S.; Rasteiro, M.G.; Neto, C.P.; Ferreira, P.J.T. Effect of Cationization Pretreatment on the Properties of Cationic Eucalyptus Micro/Nanofibrillated Cellulose. Int. J. Biol. Macromol. 2022, 201, 468–479. [Google Scholar] [CrossRef]
- Sirviö, J.A. Cationization of Lignocellulosic Fibers with Betaine in Deep Eutectic Solvent: Facile Route to Charge Stabilized Cellulose and Wood Nanofibers. Carbohydr. Polym. 2018, 198, 34–40. [Google Scholar] [CrossRef]
- Emam, H.E.; Abdellatif, F.H.H.; Abdelhameed, R.M. Cationization of Celluloisc Fibers in Respect of Liquid Fuel Purification. J. Clean. Prod. 2018, 178, 457–467. [Google Scholar] [CrossRef]
- Rajalaxmi, D.; Jiang, N.; Leslie, G.; Ragauskas, A.J. Synthesis of Novel Water-Soluble Sulfonated Cellulose. Carbohydr. Res. 2010, 345, 284–290. [Google Scholar] [CrossRef]
- Cao, X.; Liu, M.; Bi, W.; Lin, J.; Chen, D.D.Y. Direct Carboxylation of Cellulose in Deep Eutectic Solvent and Its Adsorption Behavior of Methylene Blue. Carbohydr. Polym. Technol. Appl. 2022, 4, 100222. [Google Scholar] [CrossRef]
- Chen, L.; Zhu, J.Y.; Baez, C.; Kitin, P.; Elder, T. Highly Thermal-Stable and Functional Cellulose Nanocrystals and Nanofibrils Produced Using Fully Recyclable Organic Acids. Green Chem. 2016, 18, 3835–3843. [Google Scholar] [CrossRef]
- Pan, Y.; Wang, F.; Wei, T.; Zhang, C.; Xiao, H. Hydrophobic Modification of Bagasse Cellulose Fibers with Cationic Latex: Adsorption Kinetics and Mechanism. Chem. Eng. J. 2016, 302, 33–43. [Google Scholar] [CrossRef]
- Vehviläinen, M.; Kamppuri, T.; Setälä, H.; Grönqvist, S.; Rissanen, M.; Honkanen, M.; Nousiainen, P. Regeneration of Fibres from Alkaline Solution Containing Enzyme-Treated 3-Allyloxy-2-Hydroxypropyl Substituted Cellulose. Cellulose 2015, 22, 2271–2282. [Google Scholar] [CrossRef]
- Shang, Q.; Liu, C.; Hu, Y.; Jia, P.; Hu, L.; Zhou, Y. Bio-Inspired Hydrophobic Modification of Cellulose Nanocrystals with Castor Oil. Carbohydr. Polym. 2018, 191, 168–175. [Google Scholar] [CrossRef]
- Yoo, Y.; Youngblood, J.P. Green One-Pot Synthesis of Surface Hydrophobized Cellulose Nanocrystals in Aqueous Medium. ACS Sustain. Chem. Eng. 2016, 4, 3927–3938. [Google Scholar] [CrossRef]
- Wei, L.; Agarwal, U.P.; Hirth, K.C.; Matuana, L.M.; Sabo, R.C.; Stark, N.M. Chemical Modification of Nanocellulose with Canola Oil Fatty Acid Methyl Ester. Carbohydr. Polym. 2017, 169, 108–116. [Google Scholar] [CrossRef] [PubMed]
- Shang, W.; Huang, J.; Luo, H.; Chang, P.R.; Feng, J.; Xie, G. Hydrophobic Modification of Cellulose Nanocrystal via Covalently Grafting of Castor Oil. Cellulose 2013, 20, 179–190. [Google Scholar] [CrossRef]
- Littunen, K.; Hippi, U.; Johansson, L.-S.; Österberg, M.; Tammelin, T.; Laine, J.; Seppälä, J. Free Radical Graft Copolymerization of Nanofibrillated Cellulose with Acrylic Monomers. Carbohydr. Polym. 2011, 84, 1039–1047. [Google Scholar] [CrossRef]
- Mishra, A.; Srinivasan, R.; Gupta, R.P. Psyllium-g-Polyacrylonitrile: Synthesis and Characterization. Colloid Polym. Sci. 2003, 281, 187–189. [Google Scholar] [CrossRef]
- Magalhães, S.; Alves, L.; Medronho, B.; Fonseca, A.C.; Romano, A.; Coelho, J.F.J.; Norgren, M. Brief Overview on Bio-Based Adhesives and Sealants. Polymers 2019, 11, 1685. [Google Scholar] [CrossRef]
- Petzold, K.; Koschella, A.; Klemm, D.; Heublein, B. Silylation of Cellulose and Starch—Selectivity, Structure Analysis, and Subsequent Reactions. Cellulose 2003, 10, 251–269. [Google Scholar] [CrossRef]
- Carapeto, A.P.; Ferraria, A.M.; Botelho do Rego, A.M. Trimethylsilylcellulose Synthesis Revisited. Polym. Test. 2017, 58, 236–240. [Google Scholar] [CrossRef]
- Stiubianu, G.; Racles, C.; Cazacu, M.; Simionescu, B.C. Silicone-Modified Cellulose. Crosslinking of Cellulose Acetate with Poly[Dimethyl(Methyl-H)Siloxane] by Pt-Catalyzed Dehydrogenative Coupling. J. Mater. Sci. 2010, 45, 4141–4150. [Google Scholar] [CrossRef]
- Aelenei, N.; Bontea, D.; Ioan, C. Synthesis and Characterization of Trimethylsilylcellulose in Solution. J. Macromol. Sci. Part A 1998, 35, 1667–1680. [Google Scholar] [CrossRef]
- Yang, Q.; Fukuzumi, H.; Saito, T.; Isogai, A.; Zhang, L. Transparent Cellulose Films with High Gas Barrier Properties Fabricated from Aqueous Alkali/Urea Solutions. Biomacromolecules 2011, 12, 2766–2771. [Google Scholar] [CrossRef] [PubMed]
- Singh, P.; Magalhães, S.; Alves, L.; Antunes, F.; Miguel, M.; Lindman, B.; Medronho, B. Cellulose-Based Edible Films for Probiotic Entrapment. Food Hydrocoll. 2019, 88, 68–74. [Google Scholar] [CrossRef]
- Tonoli, G.H.D.; Rodrigues Filho, U.P.; Savastano, H.; Bras, J.; Belgacem, M.N.; Rocco Lahr, F.A. Cellulose Modified Fibres in Cement Based Composites. Compos. Part A Appl. Sci. Manuf. 2009, 40, 2046–2053. [Google Scholar] [CrossRef]
- Demitri, C.; Del Sole, R.; Scalera, F.; Sannino, A.; Vasapollo, G.; Maffezzoli, A.; Ambrosio, L.; Nicolais, L. Novel Superabsorbent Cellulose-Based Hydrogels Crosslinked with Citric Acid. J. Appl. Polym. Sci. 2008, 110, 2453–2460. [Google Scholar] [CrossRef]
- Raucci, M.G.; Alvarez-Perez, M.A.; Demitri, C.; Giugliano, D.; De Benedictis, V.; Sannino, A.; Ambrosio, L. Effect of Citric Acid Crosslinking Cellulose-Based Hydrogels on Osteogenic Differentiation. J. Biomed. Mater. Res. Part A 2015, 103, 2045–2056. [Google Scholar] [CrossRef]
- Zhao, D.; Zhu, Y.; Cheng, W.; Chen, W.; Wu, Y.; Yu, H. Cellulose-Based Flexible Functional Materials for Emerging Intelligent Electronics. Adv. Mater. 2021, 33, 2000619. [Google Scholar] [CrossRef]
- Chambin, O.; Champion, D.; Debray, C.; Rochat-Gonthier, M.H.; Le Meste, M.; Pourcelot, Y. Effects of Different Cellulose Derivatives on Drug Release Mechanism Studied at a Preformulation Stage. J. Control. Release 2004, 95, 101–108. [Google Scholar] [CrossRef]
- Luo, H.; Cha, R.; Li, J.; Hao, W.; Zhang, Y.; Zhou, F. Advances in Tissue Engineering of Nanocellulose-Based Scaffolds: A Review. Carbohydr. Polym. 2019, 224, 115144. [Google Scholar] [CrossRef]
- Habibi, Y.; Lucia, L.A.; Rojas, O.J. Cellulose Nanocrystals: Chemistry, Self-Assembly, and Applications. Chem. Rev. 2010, 110, 3479–3500. [Google Scholar] [CrossRef]
- Bianchi, S.E.; Machado, B.E.K.; Da Silva, M.G.C.; Da Silva, M.M.A.; Bosco, L.D.; Marques, M.S.; Horn, A.P.; Persich, L.; Geller, F.C.; Argenta, D.; et al. Coumestrol/Hydroxypropyl-β-Cyclodextrin Association Incorporated in Hydroxypropyl Methylcellulose Hydrogel Exhibits Wound Healing Effect: In Vitro and in Vivo Study. Eur. J. Pharm. Sci. 2018, 119, 179–188. [Google Scholar] [CrossRef] [PubMed]
- Pakulska, M.M.; Vulic, K.; Tam, R.Y.; Shoichet, M.S. Hybrid Crosslinked Methylcellulose Hydrogel: A Predictable and Tunable Platform for Local Drug Delivery. Adv. Mater. 2015, 27, 5002–5008. [Google Scholar] [CrossRef]
- Niemczyk-Soczynska, B.; Gradys, A.; Kolbuk, D.; Krzton-Maziopa, A.; Sajkiewicz, P. Crosslinking Kinetics of Methylcellulose Aqueous Solution and Its Potential as a Scaffold for Tissue Engineering. Polymers 2019, 11, 1772. [Google Scholar] [CrossRef]
- Pasqui, D.; Torricelli, P.; De Cagna, M.; Fini, M.; Barbucci, R. Carboxymethyl Cellulose-Hydroxyapatite Hybrid Hydrogel as a Composite Material for Bone Tissue Engineering Applications: Composite Material for Bone Tissue Engineering Applications. J. Biomed. Mater. Res. 2014, 102, 1568–1579. [Google Scholar] [CrossRef] [PubMed]
- Dai, L.; Liu, R.; Hu, L.-Q.; Wang, J.-H.; Si, C.-L. Self-Assembled PEG–Carboxymethylcellulose Nanoparticles/α-Cyclodextrin Hydrogels for Injectable and Thermosensitive Drug Delivery. RSC Adv. 2017, 7, 2905–2912. [Google Scholar] [CrossRef]
- Fuller, M.E.; Farquharson, E.M.; Hedman, P.C.; Chiu, P. Removal of Munition Constituents in Stormwater Runoff: Screening of Native and Cationized Cellulosic Sorbents for Removal of Insensitive Munition Constituents NTO, DNAN, and NQ, and Legacy Munition Constituents HMX, RDX, TNT, and Perchlorate. J. Hazard. Mater. 2022, 424, 127335. [Google Scholar] [CrossRef] [PubMed]
- Pedrosa, J.F.S.; Alves, L.; Neto, C.P.; Rasteiro, M.G.; Ferreira, P.J.T. Assessment of the Performance of Cationic Cellulose Derivatives as Calcium Carbonate Flocculant for Papermaking. Polymers 2022, 14, 3309. [Google Scholar] [CrossRef]
- Fu, S.; Hinks, D.; Hauser, P.; Ankeny, M. High Efficiency Ultra-Deep Dyeing of Cotton via Mercerization and Cationization. Cellulose 2013, 20, 3101–3110. [Google Scholar] [CrossRef]
- Pereira, B.; Matos, F.S.; Valente, B.F.A.; Von Weymarn, N.; Kamppuri, T.; Freire, C.S.R.; Silvestre, A.J.D.; Vilela, C. From Regenerated Wood Pulp Fibers to Cationic Cellulose: Preparation, Characterization and Dyeing Properties. Polysaccharides 2022, 3, 609–624. [Google Scholar] [CrossRef]















Disclaimer/Publisher’s Note: The statements, opinions and data contained in all publications are solely those of the individual author(s) and contributor(s) and not of MDPI and/or the editor(s). MDPI and/or the editor(s) disclaim responsibility for any injury to people or property resulting from any ideas, methods, instructions or products referred to in the content. |
© 2023 by the authors. Licensee MDPI, Basel, Switzerland. This article is an open access article distributed under the terms and conditions of the Creative Commons Attribution (CC BY) license (https://creativecommons.org/licenses/by/4.0/).
Share and Cite
Magalhães, S.; Fernandes, C.; Pedrosa, J.F.S.; Alves, L.; Medronho, B.; Ferreira, P.J.T.; Rasteiro, M.d.G. Eco-Friendly Methods for Extraction and Modification of Cellulose: An Overview. Polymers 2023, 15, 3138. https://doi.org/10.3390/polym15143138
Magalhães S, Fernandes C, Pedrosa JFS, Alves L, Medronho B, Ferreira PJT, Rasteiro MdG. Eco-Friendly Methods for Extraction and Modification of Cellulose: An Overview. Polymers. 2023; 15(14):3138. https://doi.org/10.3390/polym15143138
Chicago/Turabian StyleMagalhães, Solange, Catarina Fernandes, Jorge F. S. Pedrosa, Luís Alves, Bruno Medronho, Paulo J. T. Ferreira, and Maria da Graça Rasteiro. 2023. "Eco-Friendly Methods for Extraction and Modification of Cellulose: An Overview" Polymers 15, no. 14: 3138. https://doi.org/10.3390/polym15143138
APA StyleMagalhães, S., Fernandes, C., Pedrosa, J. F. S., Alves, L., Medronho, B., Ferreira, P. J. T., & Rasteiro, M. d. G. (2023). Eco-Friendly Methods for Extraction and Modification of Cellulose: An Overview. Polymers, 15(14), 3138. https://doi.org/10.3390/polym15143138

