Epoxidized Soybean-Oils-Based Pressure-Sensitive Adhesives with Di-Hydroxylated Soybean-Oils Copolymerizing and Antioxidant Grafting
Abstract
1. Introduction
2. Materials and Methods
2.1. Chemicals and Materials
2.2. PSA Preparation
2.3. Aging Experiments
2.4. Peel Adhesion Test
2.5. Tack Test
2.6. Shear Adhesion Test
2.7. Fourier-Transform Infrared Spectroscopy Measurement
2.8. Differential Scanning Calorimetry Measurement
2.9. Thermogravimetric Measurement
2.10. Hydrogen Nuclear Magnetic Resonance Spectroscopy Measurement
2.11. Statistics
3. Results and Discussion
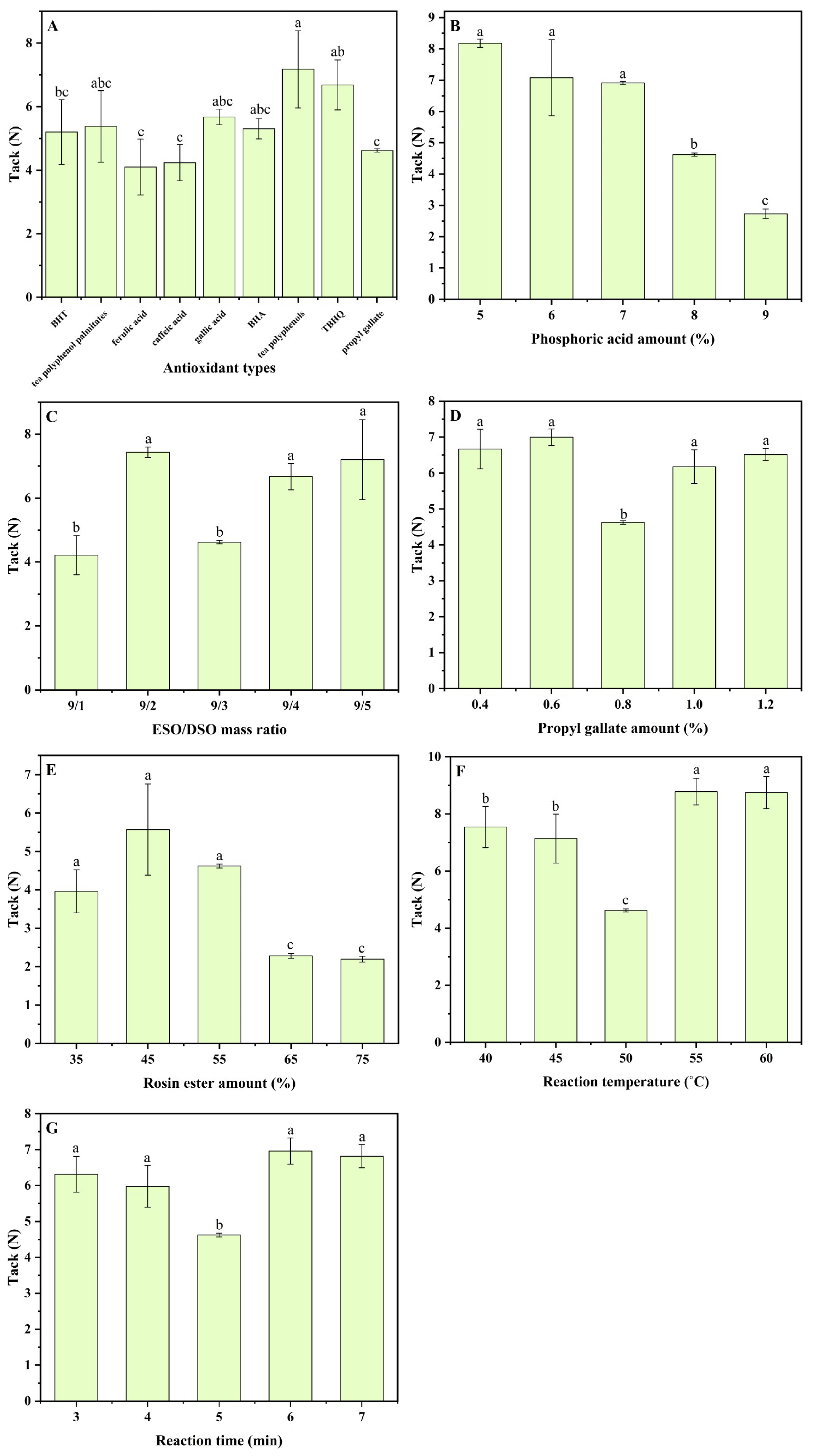
3.1. Effects of Antioxidant Types on Binding Strengths and Aging-Resistant Properties of ESO/DSO-Based PSAs
3.2. Effects of PA Amount on Binding Strengths and Aging-Resistant Properties of ESO/DSO-Based PSAs
3.3. Effects of ESO/DSO Mass Ratio on Binding Strengths and Aging-Resistant Properties of ESO/DSO-Based PSAs
3.4. Effects of PG Amount on Binding Strengths and Aging-Resistant Properties of ESO/DSO-Based PSAs
3.5. Effects of RE Amount on Binding Strengths and Aging-Resistant Properties of ESO/DSO-Based PSAs
3.6. Effects of Reaction Temperature on Binding Strengths and Aging-Resistant Properties of ESO/DSO-Based PSAs
3.7. Effects of Reaction Time on Binding Strengths and Aging-Resistant Properties of ESO/DSO-Based PSAs
3.8. Comparison of Binding Strengths and Aging-Resistant Properties of ESO/DSO-Based PSAs with and without PG Grafting
3.9. Thermal Properties
3.10. FTIR Analysis
3.11. 1H NMR Analysis
4. Conclusions
Author Contributions
Funding
Institutional Review Board Statement
Data Availability Statement
Conflicts of Interest
References
- Berzins, R.; Merijs-Meri, R.; Zicans, J. Research of potential catalysts for two-component silyl-terminated prepolymer/epoxy resin adhesives. Polymers 2023, 15, 2269. [Google Scholar] [CrossRef] [PubMed]
- Li, B.; Li, Y.; Tong, Z.; Yang, H.; Du, S.; Zhang, Z. Thermal decomposition reaction kinetics and storage life prediction of polyacrylate pressure-sensitive adhesive. e-Polymers 2023, 23, 20220089. [Google Scholar] [CrossRef]
- Pradeep, S.V.; Kandasubramanian, B.; Sidharth, S. A review on recent trends in bio-based pressure sensitive adhesives. J. Adhes. 2023, 1–22. [Google Scholar] [CrossRef]
- Niu, H.; Wang, S.; Shen, Y.; Liu, S.; Jiang, S.; Qin, T.; Li, T. Tough structural adhesives with ultra-resistance to both high and cryogenic temperature. Polymers 2023, 15, 2284. [Google Scholar] [CrossRef]
- Gunstone, F.D. Vegetable Oils. In Edible Oil and Fat Products: Chemistry, Properties, and Health Effects; Shahidi, F., Ed.; John Wiley & Sons: Hoboken, NJ, USA, 2005; Volume 1, pp. 213–267. [Google Scholar]
- Dotan, A. Biobased Thermosets. In Handbook of Thermoset Plastics; Dodiuk, H., Goodman, S.H., Eds.; William Andrew: New York, NY, USA, 2014; pp. 577–622. [Google Scholar] [CrossRef]
- Li, Y.; Sun, X.S. Di-hydroxylated soybean oil polyols with varied hydroxyl values and their influence on UV-curable pressure-sensitive adhesives. J. Am. Oil. Chem. Soc. 2014, 91, 1425–1432. [Google Scholar] [CrossRef]
- Li, Y.; Wang, D.; Sun, X.S. Copolymers from epoxidized soybean oil and lactic acid oligomers for pressure-sensitive adhesives. RSC Adv. 2015, 5, 27256–27265. [Google Scholar] [CrossRef]
- Tan, S.G.; Chow, W.S. Biobased epoxidized vegetable oils and its greener epoxy blends: A review. Polym. Plast. Technol. Eng. 2010, 49, 1581–1590. [Google Scholar] [CrossRef]
- Zhao, R.; Zhang, J. Research progress of vegetable oil-based environmental protection resin. Paint. Coat. Ind. 2018, 48, 72–78. (In Chinese) [Google Scholar] [CrossRef]
- Ahn, B.J.K.; Kraft, S.; Sun, X.S. Chemical pathways of epoxidized and hydroxylated fatty acid methyl esters and triglycerides with phosphoric acid. J. Mater. Chem. 2011, 21, 9498–9505. [Google Scholar] [CrossRef]
- Li, A.; Li, K. Development and Characterization of Pressure-Sensitive Adhesives from Dimer Acid and Epoxides. In Green Polymer Chemistry: Biobased Materials and Biocatalysis; Cheng, H.N., Gross, R.A., Smith, P.B., Eds.; ACS Division of Polymer Chemistry, Inc.: Washington, DC, USA, 2015; pp. 411–429. [Google Scholar] [CrossRef]
- Garrido, H.; Garrido, E.M.; Borges, F. Studies on the food additive propyl gallate: Synthesis, structural characterization, and evaluation of the antioxidant activity. J. Chem. Educ. 2012, 89, 130–133. [Google Scholar] [CrossRef]
- Kiokias, S.; Proestos, C.; Oreopoulou, V. Phenolic acids of plant origin—A review on their antioxidant activity in vitro (o/w emulsion systems) along with their in vivo health biochemical properties. Foods 2020, 9, 534. [Google Scholar] [CrossRef] [PubMed]
- Zehiroglu, C.; Sarikaya, S.B.O. The importance of antioxidants and place in today’s scientific and technological studies. J. Food Sci. Tech. 2019, 56, 4757–4774. [Google Scholar] [CrossRef] [PubMed]
- D3611-06; Standard Practice for Accelerated Aging of Pressure-Sensitive Tapes. American Society for Testing and Materials: West Conshohocken, PA, USA, 2019.
- D3330/D3330M-04; Standard Test Method for Peel Adhesion of Pressure-Sensitive Tape. American Society for Testing and Materials: West Conshohocken, PA, USA, 2018.
- D6195-03; Standard Test Methods for Loop Tack. American Society for Testing and Materials: West Conshohocken, PA, USA, 2019.
- D3654/D3654M-06; Standard Test Methods for Shear Adhesion of Pressure-Sensitive Tapes. American Society for Testing and Materials: West Conshohocken, PA, USA, 2019.
- Valério, R.; Torres, C.A.V.; Brazinha, C.; de Silva, M.G.; Coelhoso, I.M.; Crespo, J.G. Purification of ferulic acid from corn fibre alkaline extracts for bio-vanillin production using an adsorption process. Sep. Purif. Technol. 2022, 298, 121570. [Google Scholar] [CrossRef]
- Yim, K.H.; Stambouli, M.; Pareau, D. Solvent and emulsion extractions of gallic acid by tributylphosphate: Mechanisms and parametric study. Solvent Extr. Ion. Exc. 2014, 32, 749–762. [Google Scholar] [CrossRef]
- Borges, F.; Lima, J.L.F.C.; Pinto, I.; Reis, S.; Siquet, C. Application of a potentiometric system with data-analysis computer programs to the quantification of metal-chelating activity of two natural antioxidants: Caffeic acid and ferulic acid. Helv. Chim. Acta 2003, 86, 3081–3087. [Google Scholar] [CrossRef]
- Zhang, Y.; Xie, B.; Sun, Z. Effect of stearoyl chloride modification on the antioxidant properties of lotus proanthocyanidin oligomers in oil systems. Sci. Technol. Food Ind. 2017, 38, 97–101+107. (In Chinese) [Google Scholar] [CrossRef]
- Liu, H.; Qiao, Y.L.; Han, L.; Shen, L. Study on the stripping properties of polyacrylate emulsion pressure-sensitive adhesive. Paint. Coat. Ind. 2016, 46, 19–24. Available online: https://kns.cnki.net/kcms2/article/abstract?v=3uoqIhG8C44YLTlOAiTRKibYlV5Vjs7iAEhECQAQ9aTiC5BjCgn0RgNmoA52oZvHmC53ljYNSmj_X4ukkn8yypLG8-KECV1O&uniplatform=NZKPT (accessed on 15 May 2023). (In Chinese).
- de Espinosa, L.M.; Meier, M.A.R. Plant oils: The perfect renewable resource for polymer science?! Eur. Polym. J. 2011, 47, 837–852. [Google Scholar] [CrossRef]
- Sun, P.; Heng, M.; Sun, S.H.; Chen, J.W. Analysis of liquid and solid products from liquefaction of paulownia in hot-compressed water. Energ. Convers. Manag. 2011, 52, 924–933. [Google Scholar] [CrossRef]
- Miao, S.; Zhang, S.; Su, Z.; Wang, P. Synthesis of bio-based polyurethanes from epoxidized soybean oil and isopropanolamine. J. Appl. Polym. Sci. 2013, 127, 1929–1936. [Google Scholar] [CrossRef]
- Max, J.J.; Chapados, C. Infrared spectroscopy of aqueous carboxylic acids: Comparison between different acids and their salts. J. Phys. Chem. A 2004, 108, 3324–3337. [Google Scholar] [CrossRef]
- Tan, X. Study on Sulfonated Poly (Phthalazinone Ether Nitrile Ketone) Containing Pendant Phenyl Group as Membrane Materials. Master’s Thesis, Dalian University of Technology, Dalian, China, 2021. (In Chinese) [Google Scholar] [CrossRef]
- Wang, S.; Chang, J.; Li, Y.; Li, Y.; Duan, Q. Synthesis of asymmetric axial porphyrin photosensitizers and characterization of their photodynamic properties. J. Changchun Univ. Sci. Technol. 2019, 42, 117–125. (In Chinese) [Google Scholar]
- Bielejewski, M.; Pinto-Salazar, M.; Lindner, L.; Pankiewicz, R.; Buntkowsky, G.; Tritt-Goc, J. Dynamics and proton transport in imidazole-doped nanocrystalline cellulose revealed by high-resolution solid-state nuclear magnetic resonance spectroscopy. J. Phys. Chem. C 2020, 124, 18886–18893. [Google Scholar] [CrossRef]
- Huang, X.J.; Liu, H.; Shang, S.B.; Qi, F. Research progress on the preparation and application of epoxy vegetable fats and oils. Biomass Chem. Eng. 2014, 48, 45–50. (In Chinese) [Google Scholar] [CrossRef]
- Wu, Y.; Li, A.; Li, K. Pressure sensitive adhesives based on oleic acid. J. Am. Oil Chem. Soc. 2015, 92, 111–120. [Google Scholar] [CrossRef]
- Liu, W.; Wang, Z.; Wang, Z.K. Research progress and dynamics of vegetable oil-based pressure-sensitive adhesives. Biomass Chem. Eng. 2022, 56, 47–56. (In Chinese) [Google Scholar] [CrossRef]







| Factors | Peel Adhesion before Aging (N/cm) | Peel Adhesion after Aging (N/cm) | Failure Form after Aging | Peel Adhesion Residue (%) |
|---|---|---|---|---|
| Antioxidant types | ||||
| BHT | 1.038 ± 0.06 cd | 5.463 ± 1.03 a | CF | 426.15 |
| Tea polyphenol palmitates | 1.021 ± 0.00 cd | 4.974 ± 0.01 a | CF | 369.62 |
| Ferulic acid | 0.494 ± 0.15 f | 1.401 ± 0.04 cd | CF | 183.44 |
| Caffeic acid | 0.687 ± 0.19 ef | 1.381 ± 0.41 cd | CF | 101.17 |
| Gallic acid | 0.836 ± 0.14 de | 0.310 ± 0.02 d | CF | 62.97 |
| BHA | 0.680 ± 0.01 ef | 0.622 ± 0.13 d | CF | 8.58 |
| Tea polyphenols | 1.107 ± 0.07 bc | 1.063 ± 0.32 cd | NF | 4.00 |
| TBHQ | 1.299 ± 0.08 b | 2.557 ± 0.71 b | AF | 96.91 |
| Propyl gallate | 1.718 ± 0.07 a | 1.927 ± 0.24 bc | NF | 12.16 |
| Phosphoric acid amount (%) | ||||
| 6.0 | 0.777 ± 0.05 c | 3.437 ± 0.10 b | NF | 342.39 |
| 7.0 | 0.988 ± 0.06 bc | 4.511 ± 0.13 a | AF | 356.54 |
| 8.0 | 1.718 ± 0.07 a | 1.927 ± 0.24 c | NF | 12.16 |
| 9.0 | 1.222 ± 0.13 b | 5.388 ± 0.67 a | CF | 341.01 |
| ESO/DSO mass ratio | ||||
| 9/1 | 1.314 ± 0.09 ab | 4.216 ± 0.24 b | CF | 220.85 |
| 9/2 | 1.021 ± 0.11 bc | 8.576 ± 1.00 a | CF | 739.86 |
| 9/3 | 1.718 ±0.07 a | 1.927 ± 0.24 c | NF | 12.16 |
| 9/4 | 0.983 ± 0.32 bc | 4.992 ± 0.35 b | CF | 407.61 |
| 9/5 | 0.774 ± 0.03 c | 5.066 ± 0.66 b | CF | 554.28 |
| Propyl gallate amount (%) | ||||
| 0.4 | 0.823 ± 0.09 bc | 7.216 ± 0.15 a | CF | 776.61 |
| 0.6 | 0.894 ± 0.02 b | 6.147 ± 0.00 ab | CF | 587.67 |
| 0.8 | 1.718 ± 0.07 a | 1.927 ± 0.24 c | NF | 12.16 |
| 1.0 | 0.882 ± 0.07 b | 6.824 ± 0.15 ab | MF | 673.82 |
| 1.2 | 0.709 ± 0.03 c | 5.377 ± 1.24 b | AF | 658.80 |
| Rosin ester amount (%) | ||||
| 35 | 0.297 ± 0.04 c | 4.633 ± 0.72 a | CF | 1458.30 |
| 45 | 0.784 ± 0.10 b | 3.969 ± 0.05 a | CF | 406.08 |
| 55 | 1.718 ± 0.07 a | 1.927 ± 0.24 b | NF | 12.16 |
| Reaction temperature (°C) | ||||
| 40 | 1.175 ± 0.13 c | 9.174 ± 0.78 a | AF | 681.00 |
| 45 | 1.028 ± 0.04 c | 3.404 ± 0.29 b | AF | 231.16 |
| 50 | 1.718 ± 0.07 a | 1.927 ± 0.24 b | NF | 12.16 |
| 55 | 1.420 ± 0.04 b | 8.562 ± 1.05 a | AF | 503.05 |
| 60 | 1.439 ± 0.05 b | 9.121 ± 0.21 a | AF | 533.99 |
| Reaction time (min) | ||||
| 3 | 0.826 ± 0.07 c | 8.188 ± 0.87 a | AF | 891.10 |
| 4 | 0.786 ± 0.02 c | 8.395 ± 0.77 a | AF | 968.48 |
| 5 | 1.718 ± 0.07 a | 1.927 ± 0.24 b | NF | 12.16 |
| 6 | 1.019 ± 0.08 b | 7.786 ± 0.68 a | AF | 664.30 |
| 7 | 0.902 ± 0.01 bc | 8.662 ± 0.32 a | AF | 859.90 |
| ESO/DSO-Based PSAs | Before Aging | After Aging | Peel Adhesion Residue (%) | ||||
|---|---|---|---|---|---|---|---|
| Peel Adhesion (N/cm) | Tack (N) | Shear Adhesion (h) | Peel Adhesion (N/cm) | Tack (N) | Shear Adhesion (h) | ||
| Control | 0.879 ± 0.18 b | 3.59 ± 0.38 b | 13.88 ± 3.93 b | 5.134 ± 0.58 a | 1.14 ± 0.22 b | >99 | 484.07 |
| Propyl gallate-grafted | 1.718 ± 0.07 a | 4.62 ± 0.05 a | >99 a | 1.927 ± 0.24 b | 2.28 ± 0.06 a | >99 | 12.16 |
| ESO/DSO-Based PSAs | Td,10% (°C) | Td,90% (°C) | Td,max (°C) |
|---|---|---|---|
| Control | 297 | 456 | 327 |
| Propyl gallate-grafted | 303 | 481 | 328 |
Disclaimer/Publisher’s Note: The statements, opinions and data contained in all publications are solely those of the individual author(s) and contributor(s) and not of MDPI and/or the editor(s). MDPI and/or the editor(s) disclaim responsibility for any injury to people or property resulting from any ideas, methods, instructions or products referred to in the content. |
© 2023 by the authors. Licensee MDPI, Basel, Switzerland. This article is an open access article distributed under the terms and conditions of the Creative Commons Attribution (CC BY) license (https://creativecommons.org/licenses/by/4.0/).
Share and Cite
Kuang, Y.; Li, W.; Xie, S.; Gong, W.; Ye, Z.; Wang, Y.; Peng, D.; Li, J. Epoxidized Soybean-Oils-Based Pressure-Sensitive Adhesives with Di-Hydroxylated Soybean-Oils Copolymerizing and Antioxidant Grafting. Polymers 2023, 15, 2709. https://doi.org/10.3390/polym15122709
Kuang Y, Li W, Xie S, Gong W, Ye Z, Wang Y, Peng D, Li J. Epoxidized Soybean-Oils-Based Pressure-Sensitive Adhesives with Di-Hydroxylated Soybean-Oils Copolymerizing and Antioxidant Grafting. Polymers. 2023; 15(12):2709. https://doi.org/10.3390/polym15122709
Chicago/Turabian StyleKuang, Yongyan, Wenlong Li, Shuli Xie, Weijian Gong, Zihan Ye, Yiming Wang, Dan Peng, and Jun Li. 2023. "Epoxidized Soybean-Oils-Based Pressure-Sensitive Adhesives with Di-Hydroxylated Soybean-Oils Copolymerizing and Antioxidant Grafting" Polymers 15, no. 12: 2709. https://doi.org/10.3390/polym15122709
APA StyleKuang, Y., Li, W., Xie, S., Gong, W., Ye, Z., Wang, Y., Peng, D., & Li, J. (2023). Epoxidized Soybean-Oils-Based Pressure-Sensitive Adhesives with Di-Hydroxylated Soybean-Oils Copolymerizing and Antioxidant Grafting. Polymers, 15(12), 2709. https://doi.org/10.3390/polym15122709

