Abstract
The solution casting technique is utilized to fabricate blank and CuO-doped polyvinyl alcohol/chitosan (PVA/CS) blends for eco-friendly applications. The structure and surface morphologies of prepared samples were explored by Fourier transform infrared (FT-IR) spectrophotometry and scanning electron microscopy (SEM), respectively. FT-IR analysis reveals the incorporation of CuO particles within the PVA/CS structure. SEM analysis exposes the well-dispersion of CuO particles in the host medium. The linear/nonlinear optical characteristics were found on the basis of UV-visible-NIR measurements. The transmittance of the PVA/CS decreases upon CuO increasing to 20.0 wt%. The optical bandgap (Eg dir./Eg ind.) decreases from 5.38/4.67 eV (blank PVA/CS) to 3.72/3.12 eV (20.0 wt% CuO-PVA/CS). An obvious improvement in the optical constants of the PVA/CS blend is achieved by CuO doping. The Wemple-DiDomenico (WDD) and Sellmeier oscillator models were utilized to examine the CuO role dispersion behavior of the PVA/CS blend. The optical analysis shows clear enrichment of the optical parameters of the PVA/CS host. The novel findings in the current study nominate CuO-doped PVA/CS films for applications in linear/nonlinear optical devices.
1. Introduction
Polymeric composites have received great attention because of their effective role in various applications, including the industrial, biological, medical, shielding and entertainment fields [,,,,]. Polyvinyl alcohol (PVA), polyvinyl pyrrolidone (PVP), chitosan (CS), carboxymethyl cellulose (CMC) and polyethylene glycol (PEG) possess many attractive features over the rest of polymers, such as non-toxicity, water-solubility, bio-compatibility, eco-friendly and degradability [,,]. Polymeric composites (PCs) are mainly produced by doping small amounts of fillers in a host polymeric matrix for such an application while blending two polymers or more is another scientific trend to yield new polymeric hosts with specific characteristics for updated applications. Particularly, PVA and CS polymers could be blended to produce a novel polymeric host for a lot of applications. PVA possesses high transmittance Vis/NIR regions and a broad bandgap (5.40 eV). Moreover, the hydroxyl groups (—OH) attached to its carbon-chain backbone perform as a hydrogen bonding source that enhances the complexation process [], while CS, as chitin’s derivative, is the most available polymer that exists in nature []. CS could play a dominant role in medical issues because of its unique biocompatibility, antifungal and antimicrobial activities []. Mixing PVA and CS produces a PVA/CS polymeric blend to serve as a novel host for various kinds of dopants.
Lots of former works related to PCs are found in the literature. For example, the Heiba research group made great progress using CdS/Mg nanostructures (NPs) on the enhancement of optical characteristics of PVA/CMC. The al-Harthi group proved that the photoluminescent and optical behavior of the PVP/PVA blend could be tailored by incorporating with non-stoichiometric SnS []. The microstructure of the PVA/CMC/graphene oxide blend was modified via doping with Fe3O4 NPs for energy storage issues by Alsulami and Rajeh []. Moreover, the optical constants of the PVA/CS blend were enhanced by filling it with graphene/Fe2O3 for energy storage applications []. The Pashameah group concluded that the electrical performance of PVA/CMC was enhanced by MnO2 incorporation for optoelectronic applications []. The Norouzi research group showed that a PVA/CS blend adapted with TiO2/graphene oxide or carbon quantum dots could improve wound healing []. Similarly, Venkataprasanna et al. concluded that a CuO-filled CS/PVA/graphene oxide blend could be effectively applied for wound healing []. Furthermore, the storage modulus and glass transition temperature of CS were greatly enhanced by Fe2O3 NPs.
This work focuses on the enhancement of microstructure and linear/nonlinear optical performance of PVA/CS via CuO doping for eco-friendly applications. Copper oxide is preferred as a filler in the PVA/CS blend because of its non-toxicity, abundance, low cost, chemical stability and environmental friendliness. Moreover, its biocompatibility and high antibacterial activities qualify CuO PCs for a lot of medical and daily applications. In addition, CuO’s relatively small optical bandgap (1.2 eV) and large optical absorption coefficient could play a potential role as a filler for LEDs, solar cells, energy storage and other optoelectronic applications. For that, different CuO contents doped in PVA/CS blend were prepared with the solution casting method. The modification in PVA/CS blend structure due to CuO doping was examined by a Fourier transforms infrared (FT-IR) spectrophotometer. The surface morphology was investigated using scanning electron microscopy. Linear/nonlinear optical constants have been investigated based on UV/Vis/NIR data. The obtained investigations reveal the suitability of CuO-doped PVA/CS films for various linear/nonlinear optical applications such as LEDs, fast communications and energy storage devices.
2. Methods and Materials
Solution casting technique presented in the literature was carried out to fabricate different contents (0.5, 1.0, 5.0, 10.0 and 20.0 wt%) of CuO-doped PVA/CS polymeric blends. To perform the process, starting sources of PVA (M. W.: 85,000 g∙mol−1), chitosan (CS) in powder form (≥75% deacetylated) and copper oxide (CuO; purity > 99.0%) were obtained from Sigma-Aldrich Co. (St. Louis, MO, USA). First, at 70 °C, 7.5 PVA grams were dissolved in 250 mL of double distilled water (DDW) for 4 h. In parallel, 2.5 CS grams were dissolved in acetic acid/DDW/(1:9) at 25 °C for 24 h. Both solutions were mixed for 4 h until a homogenous PVA/CS blend (3:1) was achieved. Next, certain amounts of CuO powder were blended to prepare CuO-doped PVA/CS blends. Afterward, the different CuO-PVA/CS blends were cast in Petri dishes for one day at 55 °C. Next, the samples were peeled out and marked by C0 (blank blend) to C20.0 (20.0 wt% of CuO-PVA/CS blend). A digital micrometer was used to measure films’ thickness and found 0.18 ± 0.01 mm.
Films’ surface morphology was investigated using a scanning electron microscope (JSE-6390LA, JEOL Ltd., Tokyo, Japan). Absorption bands and structures’ changes were explored at room temperature (RT) using FT-IR (Shimadzu, IRAffinity-1S, Kyoto, Japan) spectrophotometer with the KBr pellets technique. UV-visible-NIR measurements were recorded at RT using a spectrophotometer (JASCO V670, Jasco Corp., Easton, MD, USA). Tauc’s technique was applied to investigate both direct/indirect bandgap (Eg) values as follows [,]:
where []), and d are optical absorption coefficient and films’ thickness, B is constant and m is a parameter that may take 2 and 1/2 values for allowed direct/indirect electronic transitions [,].
Localized states and created defects’ role in host’s bandgap as a result of CuO doping is investigated via the determination of the Urbach energy (Eu) as follows []:
where α0 is a constant.
The refractive index (n), extinction coefficient (K), and optical conductivity (σopt.) in UV/Vis/NIR regions were calculated as
where C is light speed, R is reflectance, and λ is photons/wavelength.
The dielectric permittivity constants (real εr, imaginary εi) and surface/volume energy loss functions (SELF/VELF) were also determined from [,]:
Moreover, Wemple-DiDomenico (WDD) model was followed to examine n dispersion [], whereas Sellmeier oscillator relations were applied to investigate the rest of the optical parameters as infinite refractive index (nꝏ), average oscillator strength (S0), average inter-band oscillator wavelength (λ0), infinite dielectric parameter (εꝏ), lattice dielectric parameter (εL) and free carrier concentration/effective mass (N/m*) as [,]:
where e is free electron charge, and ε0 is space dielectric constant.
The linear first-order susceptibility (χ(1)), nonlinear third-order susceptibility (χ(3)) and nonlinear refractive index (n2) were investigated as [,]
3. Results and Discussion
3.1. Morphological Analysis
Films’ surface morphologies were captured by a scanning electron microscope (SEM). Figure 1a–f illustrates SEM micrograms of the blank and different (0.5 to 20 wt%) CuO-PVA/CS films, respectively. The SEM microgram of the blank film is spot-free with a smooth surface (Figure 1a), whereas distinguishable bright spots related to the CuO granules are clearly noticed in SEM micrographs of 0.5 and 1.0 wt% of CuO-PVA/CS films. These spots become denser, closer and more compact as the CuO concentration is increased to 20 wt%.
Figure 1.
SEM micrograms of (a) blank and (b–f) different (0.5 to 20 wt%) CuO-PVA/CS films.
3.2. FT-IR Analysis
Figure 2a,b depicts FT-IR transmittance spectra of blank and different CuO-PVA/CS films in the 400 to 4000 cm−1 range, as demonstrated by plots, clear variations in intensity and sites of dominant absorption bands of doped samples with respect to the blank one. These changes confirm the interactions between the CuO molecules with the structure of the host PVA/CS matrix. This interaction mainly takes place by replacing the OH groups in the host structure with that of the CuO ones []. Relative to FT-IR spectra of blank PVA/CS film and pure CuO material, the main absorption bands and vibrations are recorded (Table 1). Similar FT-IR performance is noticed in the CuO-PVA/CS films with clear intensity variations and slight location shifts with broadening in the absorption bands. These changes are pronounced in the regions 3900–3600 cm−1 and 1300–400 cm−1 as background shadows in Figure 1a, whereas the absorption bands correspond to the Cu-O bonds may overlap with those of the host matrix at the 1300–400 cm−1 region, as shown in Figure 1b. Our findings reveal the complete incorporation of CuO and the host medium. The same trends are reported in the literature [,,].
Figure 2.
FT-IR spectra (a) full wavelength range and (b) 1300–400 cm−1 of blank and CuO-PVA/CS films.
Table 1.
FT-IR absorption bands and bonds’ vibration.
3.3. UV/Vis/NIR Investigations
The effect of CuO concentration on the optical parameters of the PVA/CS blend has been explored on the basis of the UV/Vis/NIR measurements. The wavelength dependence of the transmittance (T) and absorbance (A) of blank and different CuO contents filled PVA/CS blends are presented in Figure 3a,b, respectively. It is noticed that at any certain λ, T decreases in visible-NIR regions as the CuO content is increased from 0 to 20 wt%. For example, the T of the blank PVA/CS film is more than 80% in the visible region, while it decreases to about 3% for 20 wt% of CuO-PVA/CS film in the same region. Moreover, as the CuO content is increased from 0 to 20 wt%, the UV cut-off edge is red-shifted to longer wavelengths from 225 nm to 358 nm. This valuable result nominates the possible role of CuO-PVA/CS films in UV-shielding applications. In contrast, the absorption increases due to the increase of CuO contents. In addition, clear redshifts in the absorption edges are noticed. Furthermore, two absorption peaks at 211 nm and 258 nm are detected in all absorption spectra that correspond to the PVA electronic π → π* transitions [], whereas the absorption edge detected at 324 nm refers to the electronic n → π* transitions []. The decrease in the optical transmittance and hence increment in the absorption amounts due to CuO doping is attributed to the increase in defects (shown below), which leads to a decrease in the optical band gap of the PVA/CS blend, as discussed in Figure 4.

Figure 3.
(a) Wavelength dependence of the transmittance (T) and (b) absorbance (A) spectra of blank and different CuO-PVA/CS films.
Figure 4.
Tauc’s plots (a) direct and (b) indirect status of CuO-PVA/CS films.
Based on Tauc’s equation (Equation (1)), direct/indirect optical bandgap (Eg dir./Eg ind.) of blank and CuO-PVA/CS films has been obtained from (αhν)2 and (αhν)1/2 curves vs. hν, respectively, as depicted (Figure 4). The x-axis intercepts of extrapolated linear parts of these curves to hν = 0 equal Eg values as listed in Table 2. The obtained Eg dir./Eg ind. values of blank PVA/CS film are 5.38 eV and 4.67 eV. These values are well-consistent with the reported ones [,]. The Eg dir./Eg ind. values of CuO-PVA/CS films decrease to 3.72 eV and 3.12 eV as CuO concentration is upraised to 20 wt%. Moreover, it is clear that both 0.5 wt% and 1.0 wt% CuO-PVA/CS films possess second bandgap values of 4.79 eV and 4.57 eV, respectively, as illustrated in Figure 4a. This finding reveals that the absorption happens as a result of charge transfer between two different energy levels. The first transition occurs between the molecular orbits of the host matrix, while the other electronic transition takes place between the created energy state due to CuO particles and those of the host matrix. Similar findings were recorded in previous works [,]. So, the Eg narrowing mainly results due to localized states and defects created between the highest occupied molecular orbital (HOMO) and lowest unoccupied molecular orbital (LUMO) of the PVA/CS blend due to CuO doping [,]. Similarly, Heiba et al. concluded that 4 wt% of Cd0.9Mg0.1S nanofillers led to a reduction in the Eg of PVA/CMC blend from 5.4 eV to 5.02 eV []. Additionally, the Eg of the PVA/CMC/GO blend was reduced to 3.34 eV using 1.0 wt% of Fe3O4 doping []. Formerly, we modified the optical bandgap of PVA/Gr from 5.38 eV to 4.78 eV by Fe2O3 doping [].
Table 2.
Direct/indirect bandgap, Urbach energy and refractive index of CuO-PVA/CS films.
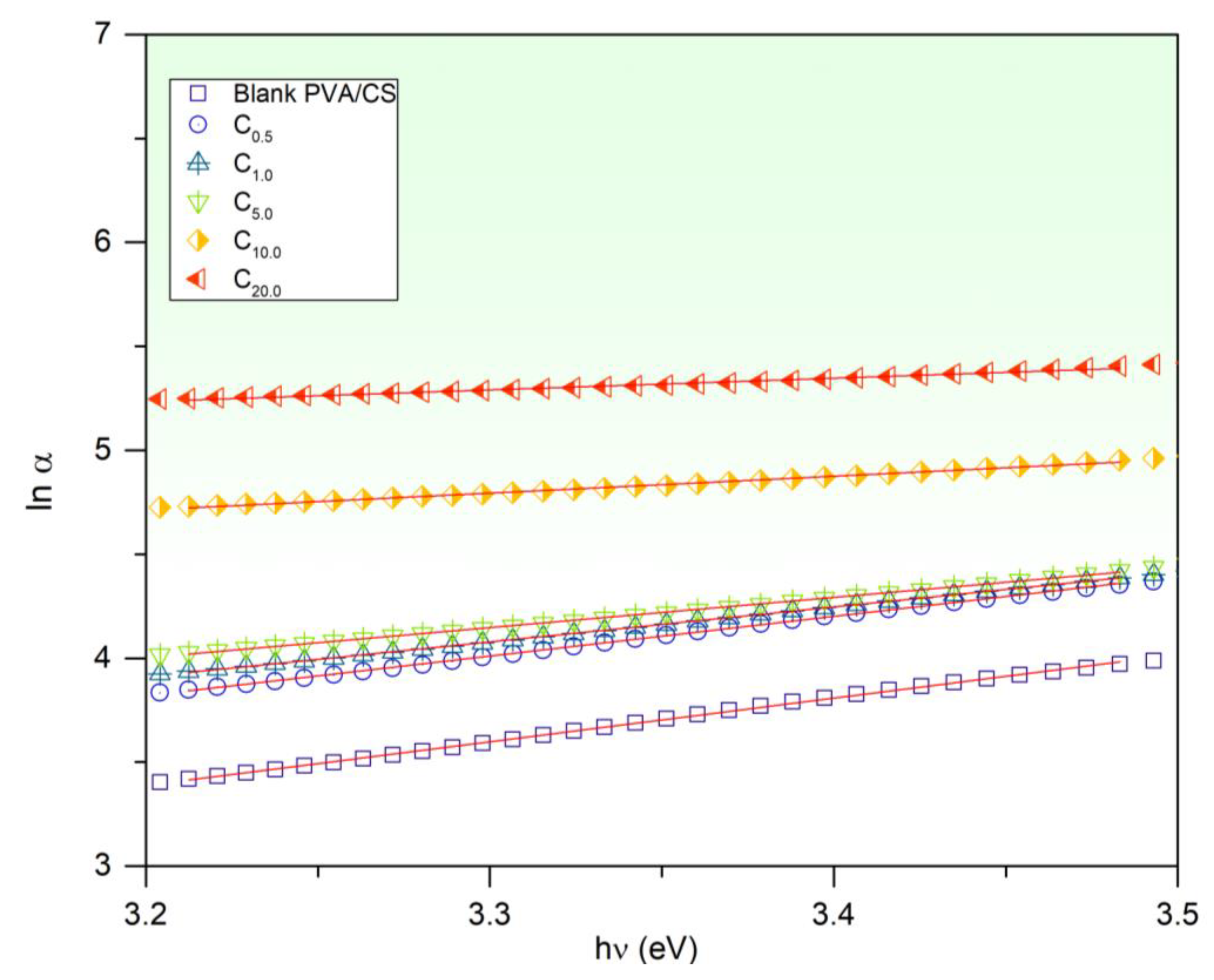
The defects and localized energy states created in CuO-PVA/CS films could be proved by investigating the Urbach energy (Eu) (Equation (2)). It shows the exponential dependence of the absorption coefficient and photons energy (hν). Eu is estimated (Table 2) by plotting lnα vs. hν, as illustrated in Figure 5. It was noticed that Eu grows from 0.48 eV (blank PVA/CS) to 1.79 eV (20 wt% CuO-PVA/CS). The increase in Eu indicates the growth of localized states and defects that works as trapping centers in the forbidden region of the PVA/CS host []. Similar evidence is reported in the literature [,,]. As an original result, the optical bandgap of PVA/CS is tailored by CuO doping for a lot of optical and environmental applications.
Figure 5.
lnα vs. hν of CuO-PVA/CS films.
The optical performance of such material is mainly established by investigating the refractive index (n* = n-iK) to dictate its applications. The real (n) and imaginary (K) parts describe the dispersion behavior of the electromagnetic wave within the material. Both n and K at the swept wavelength (λ) are calculated using Equations (3) and (4), respectively. The wavelength dependence of n and K of blank and CuO-PVA/CS films are illustrated in Figure 6a,b, respectively. According to Figure 6a, it is noted that n follows the absorbance performance (Figure 3b). In other words, n decreases steeply upon raising λ in the UV region, whereas it remains semi-steady in Vis/NIR regions. Moreover, it is seen that the n of PVA/CS is enhanced as a result of CuO doping, which proposes it for updated applications in optical and optoelectronic devices. For instance, n increases from 1.2 (blank PVA/CS) to 2.25 (20 wt% CuO-PVA/CS) at 650 nm. The improvement in the n value refers to the growth in the films’ density and intermolecular bonds due to CuO doping [,,], whereas n remains quasi-steadily in low photons energy due to films’ restricted absorbance in this region, whereas, according to Figure 6b, K declines with increasing λ in the UV region, whereas it increases gradually in visible-NIR regions. Furthermore, K increases as the CuO content is increased. These findings could be understood on the basis of the increment of the dispersion as a result of the reflectance increase due to defects’ growth [].
Figure 6.
(a) n and (b) K vs. wavelength of CuO-PVA/CS films.
Based on the absorption coefficient α and n, σopt. of CuO-PVA/CS samples was determined (Equation (5)) and illustrated in Figure 7. It is observed that σopt. of the films behaves in a similar way to the optical absorbance (Figure 3b). As λ is red-shifted to longer values in the UV region, σopt. decreases steeply, while it behaves steadily in the Vis/NIR regions. In contrast, σopt. increases upon increasing the CuO content in the PVA/CS host. For example, at 650 nm, σopt. enhances from 2.56 × 1010 s−1 (blank PVA/CS) to 9.85 × 1010 s−1 (20 wt CuO-PVA/CS). The σopt. enhancement is understood on the basis of the increment in created electrons as a result of the absorption increase of the incident photons [,]. The increase in absorption is also reinforced by the growth in the defects, as discussed in Eu findings. These findings are very consistent with reported data [,,]. Shamekh et al. proved that σopt. of PVA was pronouncedly enhanced by MgO doping.
Figure 7.
Optical conductivity vs. wavelength of CuO-PVA/CS films.
The dielectric parameters (εr and εi), together with the surface/volume energy loss functions (SELF/VELF) of the blank and CuO-PVA/CS films, have been determined. These constants are investigated to nominate their possible participation in many fields as superconductors and energy storage devices. εr associates with traveling wave dispersions within such material, while εi relates to the dissipated energy rate through their propagation []. εr, εi, SELF and VELF were calculated by Equations (6) to (9) and presented in Figure 8a–d, respectively. According to εr spectra (Figure 8a), it follows the refractive index n performance. εr decreases steeply as λ is red-shifted in the UV region, whereas it remains semi-constant in the visible-NIR regions. Furthermore, εr rises as CuO content is increased to 20 wt%. For example, εr enhanced from 1.43 (blank PVA/CS) to 5.08 (20 wt% CuO-PVA/CS) at λ = 650 nm. The enhancement in εr results due to the increase in the dispersion as a result of a defects increase (Urbach energy findings). On the other hand, the imaginary part εi of the film performs similarly to the extinction coefficient K (Figure 6b). εi decreases greatly as λ increases in the UV region, while it increases slowly in Vis/NIR region for small CuO contents (≤5 wt%) and increases pronouncedly for the high CuO contents (10 and 20 wt%). Moreover, εi increases as the CuO content is raised. This behavior refers to polarization and dipole motion fluctuations [,,]. Similar findings are reported in the literature [,,]. Moreover, it is noticed that SELF and VELF spectra perform in a similar way. Both SELF and VELF values increase noticeably as λ is red-shifted to longer wavelengths in the Vis/NIR regions. Moreover, it is noted that at any λ, the VELF value is larger than the SELF value, which indicates that the energy loss by the traveling electrons within the films due to the doped CuO particles is larger than those traveling on their surfaces. In addition, both SELF and VELF increased upon increasing the CuO contents. This increment in SELF and VELF refers to growth in vacant energy levels generated in the host band gap []. Similar behavior is noticed El-naggar et al. []. They showed SELF and VELF increase of the PVA/PVP upon increasing SnS2/Fe concentration.

Figure 8.
(a) Real, (b) imaginary dielectric constant. (c) SELF and (d) VELF of CuO-PVA/CS films.
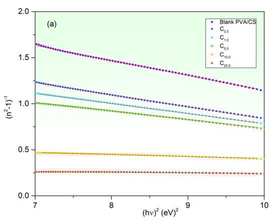
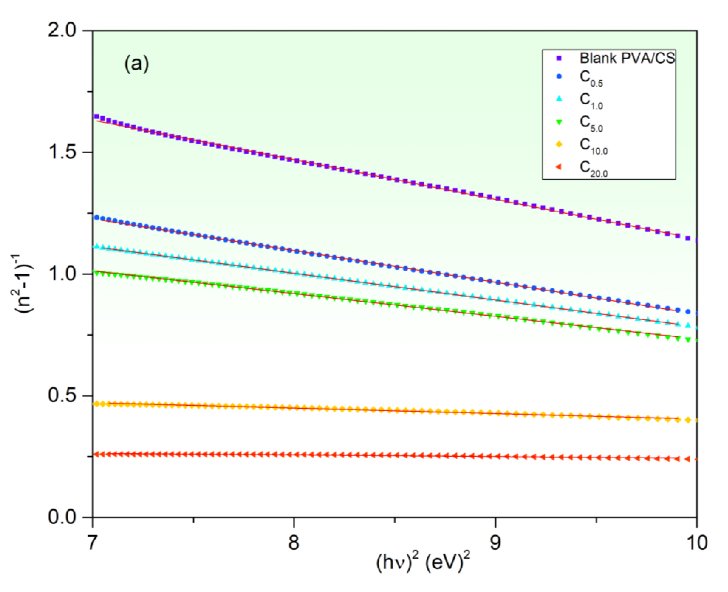
Moreover, the dispersion parameters of the blank and CuO-PVA/CS films are examined by a single oscillator model (WDD model; Equation (10)) in the normal dispersion region. Investigating Eo and Ed are essential parameters to nominate the applications of the prepared films in communication systems and spectra analysis devices []. The values of Eo and Ed are found from (n2 − 1)−1 plots vs. (hν)2 as depicted in Figure 9a, where the slopes equal −1/(E0Ed) and the intersections equal E0/Ed. Table 3 includes Eo and Ed values. Both Eo and Ed values increase upon increasing the CuO content in the host PVA/CS. This increase in the dispersion energies refers to the increase in the optical transition strength of the system bonds [].

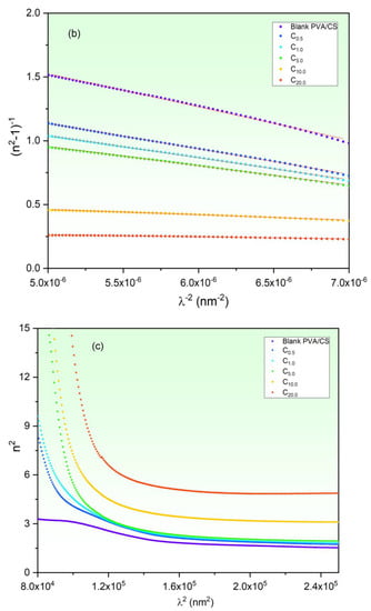
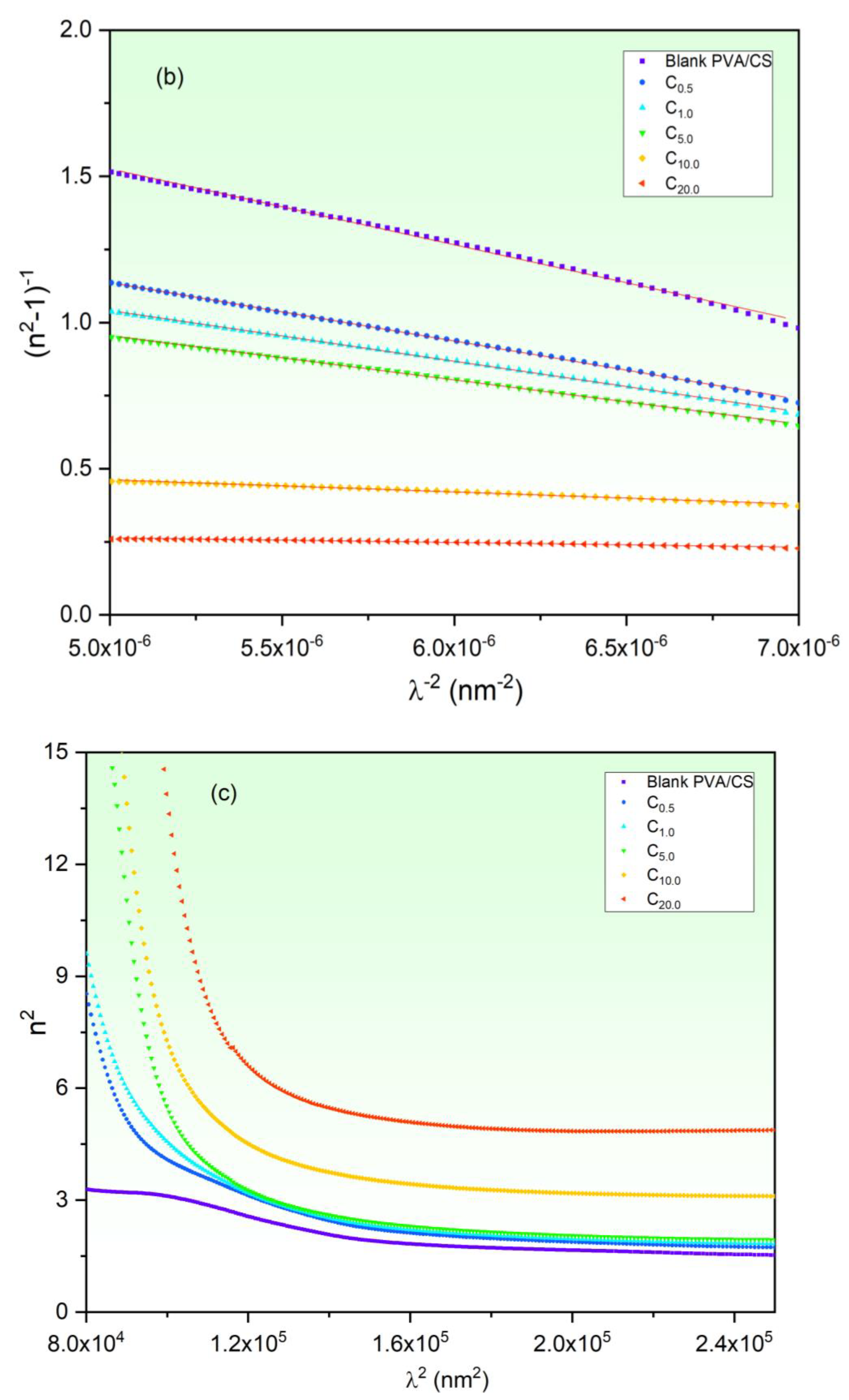
Figure 9.
(a) (n2−1)−1 vs. (hν)2, (b) (n2−1)−1 curves vs. λ−2 and (c) n2 curves vs. λ2 of CuO-PVA/CS films.
Table 3.
Dispersive parameters of CuO-PVA/CS films.
Furthermore, the infinite refractive index (nꝏ), the infinite dielectric constant (εꝏ), and the average oscillator strength (S0)) of the blank and CuO-PVA/CS films are determined on the basis of the Sellmeier oscillator relations (Equations (11) to (15)). By plotting (n2 − 1)−1 vs. λ−2 (Figure 9b) and equating the slopes with 1/S0 and the intersections with , the values of λ0, nꝏ, S0 and εꝏ are obtained and listed in Table 3. While N/m* and εL are obtained by plotting n2 vs. λ2 (Figure 9c), where the slopes and intersections (=εL) as listed in Table 3. It is obvious that all optical behaviors of the PVA/CS blend are altered with CuO doping. For example, εꝏ of the blank PVA/CS film is greatly enhanced from 1.35 to 3.94 (20 wt% CuO-PVA/CS film). The enhancement in εL and εꝏ refers to the dispersion lattice vibrations as a result of CuO particles []. Similar εL and εꝏ findings related to polystyrene filled with manganese (III) chloride were found by Al-Muntaser et al. [], while N/m* of the blank PVA/CS film is duplicated due to 20 wt% of CuO doping. This result is reasonable as a result of the increment of the free carriers due to CuO doping []. Our results are compatible with the literature [,].
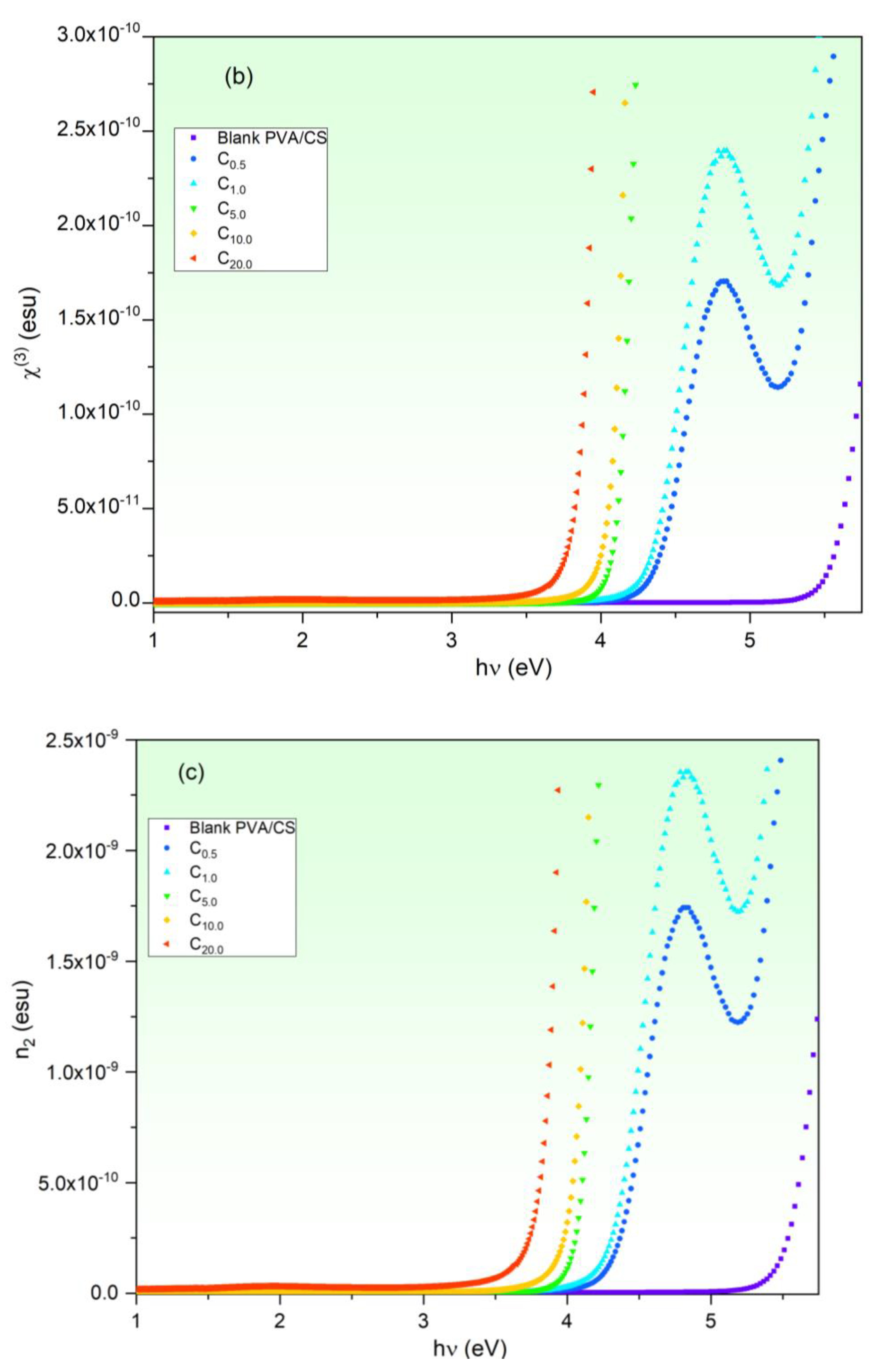
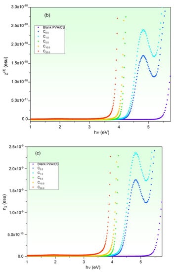
The nonlinear optical behavior of blank and CuO-PVA/CS samples is explored to recommend their probable applications in nonlinear optical devices. Optical materials with the optical nonlinearity character play an effective role in many applications such as ultrafast lasing switching, frequency converters and telecommunications [,]. The nonlinear optical response arises because of the nonlinear polarization that occurs owing to intense electromagnetic wave exposure [,,]. Based on Equations (16) to (18), χ(1), χ(3) and n2 are calculated and presented in Figure 10a–c, respectively. It is noted that χ(1), χ(3) and n2 behave semi-steadily in the Vis/NIR regions, whereas they rise rapidly upon increasing hν in the UV region. In addition, as the CuO content is increased to 20 wt%, χ(1), χ(3) and n2 increase noticeably. For instance, at 4.0 eV, χ(1) of the blank PVA/CS film is enhanced from 0.17 esu to 1.36 esu via 20 wt% CuO doping, while χ(3) and n2 of the blank film are enhanced about by three-order of magnitude at the same incident photons energy. These findings are compatible with previous works [,,]. For example, the Ali group found that the nonlinear optical constant of PVA was enhanced pronouncedly by fullerene doping []. The obtained nonlinear optical findings of the CuO-PVA/CS films in this study nominate their applications in nonlinear optical devices [].

Figure 10.
(a) First-order susceptibility (χ(1)), (b) third-order susceptibility (χ(3)) and (c) nonlinear refractive index (n2) of CuO-PVA/CS films.
4. Conclusions
The solution casting method was followed to fabricate blank and CuO doped in polyvinyl alcohol/chitosan (PVA/CS) blends. The effect of CuO concentrations (0, 0.5, 1.0, 5.0, 10.0 and 20.0 wt%) on PVA/CS structure and linear/nonlinear optical characteristics is discussed in detail. Scanning electron microscope examinations disclose obvious changes in the surface morphologies of PVA/CS film owing to CuO doping. FT-IR measurements prove noticeable modifications in PVA/CS structure due to CuO doping. Noticeable modifications in absorption band’s locations and intensities of CuO-PVA/CS films as compared with the blank one. The linear/nonlinear optical parameters were discussed. The transmittance of the PVA/CS blend reduces as a result of CuO increasing to 20.0 wt%. The optical bandgap (Eg dir./Eg ind.) decreases from 5.38/4.67 eV (blank PVA/CS) to 3.72/3.12 eV (20.0 wt% CuO-PVA/CS). This decrease in the optical bandgap is interpreted in terms of defects and created states, as verified by Urbach energy investigations. The refractive index, optical conductivity and dielectric constants of PVA/CS are clearly enhanced due to CuO doping, which nominates it for updated applications in optoelectronic devices. The CuO doping role in the dispersion performance of PVA/CS has been investigated using a single oscillator and Sellmeier oscillator relations. For instance, the infinite dielectric constant is greatly enhanced from 1.35 (blank PVA/CS) to 3.94 (20 wt% CuO-PVA/CS film), whereas the concentration of free carriers/effective mass of blank PVA/CS film is duplicated. The nonlinear optical parameters of PVA/CS are also enhanced via CuO doping. χ(3) and n2 are improved by about three orders-of-magnitude at 4.0 eV incident photons energy. These novel findings nominate CuO-PVA/CS films for updated optical applications.
Author Contributions
Conceptualization, S.S.A. and A.B.; methodology, S.S.A. and A.B.; software, S.S.A.; writing—original draft preparation, A.B.; writing—review and editing, S.S.A. and A.B.; funding, A.B. All authors have read and agreed to the published version of the manuscript.
Funding
Taif University Researchers Supporting Project number (TURSP-2020/12), Taif University, Taif, Saudi Arabia.
Institutional Review Board Statement
Not applicable.
Data Availability Statement
The data are available on reasonable request from the corresponding author.
Acknowledgments
Authors thank Taif University Researchers Supporting Project number (TURSP-2020/12), Taif University, Taif, Saudi Arabia.
Conflicts of Interest
The authors declare no conflict of interest.
References
- Prabaharan, M. Chitosan-based nanoparticles for tumor-targeted drug delivery. Int. J. Biol. Macromol. 2015, 72, 1313–1322. [Google Scholar] [CrossRef] [PubMed]
- Khairy, Y.; Mohammed, M.I.; Elsaeedy, H.I.; Yahia, I.S. Optical and electrical properties of SnBr2-doped polyvinyl alcohol (PVA) polymeric solid electrolyte for electronic and optoelectronic applications. Optik 2021, 228, 166129. [Google Scholar] [CrossRef]
- Das, M.; Sethy, P.P.; Singh, U.P.; Sundaray, B. Effect of graphene loadings on electrical properties of polyaniline-polystyrene blend film. J. Mater. Sci. Mater. Electron. 2022, 33, 25174–25185. [Google Scholar] [CrossRef]
- El-naggar, A.M.; Alsaggaf, A.; Heiba, Z.K.; Kamal, A.M.; Aldhafiri, A.M.; Fatehmulla, A.; Mohamed, M.B. Exploring the structural, optical and electrical characteristics of PVA/PANi blends. Opt. Mater. 2023, 139, 113771. [Google Scholar] [CrossRef]
- El-Naggar, A.M.; Heiba, Z.K.; Kamal, A.M.; Abd-Elkader, O.H.; Mohamed, M.B. Impact of ZnS/Mn on the Structure, Optical, and Electric Properties of PVC Polymer. Polymers 2023, 15, 2091. [Google Scholar] [CrossRef]
- Badawi, A. Engineering the optical properties of PVA/PVP polymeric blend in situ using tin sulfide for optoelectronics. Appl. Phys. A 2020, 126, 335. [Google Scholar] [CrossRef]
- El-naggar, A.M.; Heiba, Z.K.; Kamal, A.M.; Lakshminarayana, G.; Abd-Elkader, O.H.; Mohamed, M.B. Preparation of PVA/CMC/PVP blended polymer loaded with ZnS1-xCux; investigation of structural and linear/nonlinear optical properties. Opt. Mater. 2022, 133, 113066. [Google Scholar] [CrossRef]
- Zyoud, S.H.; AlAbdulaal, T.H.; Almoadi, A.; Alqahtani, M.S.; Harraz, F.A.; Al-Assiri, M.S.; Yahia, I.S.; Zahran, H.Y.; Mohammed, M.I.; Abdel-wahab, M.S. Linear/Nonlinear Optical Characteristics of ZnO-Doped PVA/PVP Polymeric Films for Electronic and Optical Limiting Applications. Crystals 2023, 13, 608. [Google Scholar] [CrossRef]
- Taha, T.A.; Alzara, M.A.A. Synthesis, thermal and dielectric performance of PVA-SrTiO3 polymer nanocomposites. J. Mol. Struct. 2021, 1238, 130401. [Google Scholar] [CrossRef]
- Rinaudo, M. Chitin and chitosan: Properties and applications. Prog. Polym. Sci. 2006, 31, 603–632. [Google Scholar] [CrossRef]
- Abdelrazek, E.M.; Elashmawi, I.S.; Labeeb, S. Chitosan filler effects on the experimental characterization, spectroscopic investigation and thermal studies of PVA/PVP blend films. Phys. B Condens. Matter 2010, 405, 2021–2027. [Google Scholar] [CrossRef]
- Alharthi, S.S.; Althobaiti, M.G.; Alkathiri, A.A.; Ali, E.E.; Badawi, A. Exploring the functional properties of PVP/PVA blend incorporated with non-stoichiometric SnS for optoelectronic devices. J. Taibah Univ. Sci. 2022, 16, 317–329. [Google Scholar] [CrossRef]
- Alsulami, Q.A.; Rajeh, A. Modification and development in the microstructure of PVA/CMC-GO/Fe3O4 nanocomposites films as an application in energy storage devices and magnetic electronics industry. Ceram. Int. 2023, 49, 14399–14407. [Google Scholar] [CrossRef]
- Rani, P.; Deshmukh, K.; Kadlec, J.; Krishna Karthik, T.V.; Khadheer Pasha, S.K. Dielectric properties of graphene/nano-Fe2O3 filled poly (vinyl alcohol)/Chitosan blends. Mater. Chem. Phys. 2023, 295, 126986. [Google Scholar] [CrossRef]
- Pashameah, R.A.; El-Sharnouby, M.; El-Askary, A.; El-Morsy, M.A.; Ahmed, H.A.; Menazea, A.A. Optical, Structural, Electrical Characterization of (Polyvinyl Alcohol–Carboxymethyl Cellulose-Manganese Dioxide) Nanocomposite Fabricated via Laser Ablation. J. Inorg. Organomet. Polym. Mater. 2022, 32, 2863–2872. [Google Scholar] [CrossRef]
- Norouzi, F.; Pourmadadi, M.; Yazdian, F.; Khoshmaram, K.; Mohammadnejad, J.; Sanati, M.H.; Chogan, F.; Rahdar, A.; Baino, F. PVA-Based Nanofibers Containing Chitosan Modified with Graphene Oxide and Carbon Quantum Dot-Doped TiO2 Enhance Wound Healing in a Rat Model. J. Funct. Biomater. 2022, 13, 300. [Google Scholar] [CrossRef]
- Venkataprasanna, K.S.; Prakash, J.; Vignesh, S.; Bharath, G.; Venkatesan, M.; Banat, F.; Sahabudeen, S.; Ramachandran, S.; Devanand Venkatasubbu, G. Fabrication of Chitosan/PVA/GO/CuO patch for potential wound healing application. Int. J. Biol. Macromol. 2020, 143, 744–762. [Google Scholar] [CrossRef]
- Tauc, J. Amorphous and Liquid Semiconductors; Springer: Boston, MA, USA, 1974. [Google Scholar]
- Badawi, A. Effect of the non-toxic Ag2S quantum dots size on their optical properties for environment-friendly applications. Phys. E Low-Dimens. Syst. Nanostructures 2019, 109, 107–113. [Google Scholar] [CrossRef]
- El-naggar, A.M.; Heiba, Z.K.; Mohamed, M.B.; Kamal, A.M.; Lakshminarayana, G.; Abd-Elkader, O.H. Effect of MnS/ZnS nanocomposite on the structural, linear and nonlinear optical properties of PVA/CMC blended polymer. Opt. Mater. 2022, 128, 112379. [Google Scholar] [CrossRef]
- Shamekh, A.M.A.; Shaalan, N.M.; Hanafy, T.A.; Rashad, M. Linear/nonlinear optical properties of functional inorganic MgO nano-filler in PVA transparent polymer for flexible optoelectronic devices. Phys. B Condens. Matter 2023, 651, 414617. [Google Scholar] [CrossRef]
- Wemple, S.H.; DiDomenico, M. Behavior of the Electronic Dielectric Constant in Covalent and Ionic Materials. Phys. Rev. B 1971, 3, 1338–1351. [Google Scholar] [CrossRef]
- Palik, E.D. Handbook of Optical Constants of Solids; Academic Press Handbook: New York, NY, USA, 1985. [Google Scholar]
- Abdelrazek, E.M.; Ragab, H.M. Spectroscopic and dielectric study of iodine chloride doped PVA/PVP blend. Indian J. Phys. 2015, 89, 577–585. [Google Scholar] [CrossRef]
- Elhosiny Ali, H.; Algarni, H.; Yahia, I.S.; Khairy, Y. Optical absorption and linear/nonlinear parameters of polyvinyl alcohol films doped by fullerene. Chin. J. Phys. 2021, 72, 270–285. [Google Scholar] [CrossRef]
- El-naggar, A.M.; Heiba, Z.K.; Mohamed, M.B.; Kamal, A.M.; Osman, M.M.; Albassam, A.A.; Lakshminarayana, G. Improvement of the optical characteristics of PVA/PVP blend with different concentrations of SnS2/Fe. J. Vinyl Addit. Technol. 2022, 28, 82–93. [Google Scholar] [CrossRef]
- Ismail, M.S.; Elamin, A.A.; Abdel-Wahab, F.; Elbashar, Y.H.; Mahasen, M.M. Improving the refractive index by engineering PbS/PVA nano polymer composite for optoelectronic applications. Opt. Mater. 2022, 131, 112639. [Google Scholar] [CrossRef]
- Soliman, T.S.; Zaki, M.F.; Hessien, M.M.; Elkalashy, S.I. The structure and optical properties of PVA-BaTiO3 nanocomposite films. Opt. Mater. 2021, 111, 110648. [Google Scholar] [CrossRef]
- Elango, M.; Deepa, M.; Subramanian, R.; Musthafa, A.M. Synthesis, Characterization, and Antibacterial Activity of Polyindole/Ag–Cuo Nanocomposites by Reflux Condensation Method. Polym. -Plast. Technol. Eng. 2018, 57, 1440–1451. [Google Scholar] [CrossRef]
- Abdullah, O.G.; Aziz, S.B.; Rasheed, M.A. Structural and optical characterization of PVA:KMnO4 based solid polymer electrolyte. Results Phys. 2016, 6, 1103–1108. [Google Scholar] [CrossRef]
- Alharthi, S.S.; Alzahrani, A.; Razvi, M.A.N.; Badawi, A.; Althobaiti, M.G. Spectroscopic and Electrical Properties of Ag2S/PVA Nanocomposite Films for Visible-Light Optoelectronic Devices. J. Inorg. Organomet. Polym. Mater. 2020, 30, 3878–3885. [Google Scholar] [CrossRef]
- Gu, Y.; Tang, L.; Guo, X.; Xiang, J.; Seng Teng, K.; Ping Lau, S. Preparation and photoelectric properties of cadmium sulfide quantum dots. Chin. Phys. B 2019, 28, 047803. [Google Scholar] [CrossRef]
- Zidan, H.M.; Abdelrazek, E.M.; Abdelghany, A.M.; Tarabiah, A.E. Characterization and some physical studies of PVA/PVP filled with MWCNTs. J. Mater. Res. Technol. 2019, 8, 904–913. [Google Scholar] [CrossRef]
- Al-Hakimi, A.N.; Asnag, G.M.; Alminderej, F.; Alhagri, I.A.; Al-Hazmy, S.M.; Qahtan, T.F. Enhancing the Structural, Optical, Thermal, and Electrical Properties of PVA Filled with Mixed Nanoparticles (TiO2/Cu). Crystals 2023, 13, 135. [Google Scholar] [CrossRef]
- Bdewi, S.F.; Abdullah, O.G.; Aziz, B.K.; Mutar, A.A.R. Synthesis, Structural and Optical Characterization of MgO Nanocrystalline Embedded in PVA Matrix. J. Inorg. Organomet. Polym. Mater. 2016, 26, 326–334. [Google Scholar] [CrossRef]
- Omkaram, I.; Sreekanth Chakradhar, R.P.; Lakshmana Rao, J. EPR, optical, infrared and Raman studies of VO2+ ions in polyvinylalcohol films. Phys. B Condens. Matter 2007, 388, 318–325. [Google Scholar] [CrossRef]
- Al-Muntaser, A.A.; Pashameah, R.A.; Alzahrani, E.; AlSubhi, S.A.; Tarabiah, A.E. Tuning structural, optical, and dispersion functions of polystyrene via addition of meso-tetraphenylporphine manganese (III) chloride towards optoelectronic applications. Opt. Mater. 2023, 135, 113333. [Google Scholar] [CrossRef]
- Singh, P.K.; Kumar, P.; Hussain, M.; Das, A.K.; Nayak, G.C. Synthesis and characterization of CuO nanoparticles using strong base electrolyte through electrochemical discharge process. Bull. Mater. Sci. 2016, 39, 469–478. [Google Scholar] [CrossRef]
- Ponnar, M.; Thangamani, C.; Monisha, P.; Gomathi, S.S.; Pushpanathan, K. Influence of Ce doping on CuO nanoparticles synthesized by microwave irradiation method. Appl. Surf. Sci. 2018, 449, 132–143. [Google Scholar] [CrossRef]
- Kumar, N.; Parui, S.S.; Limbu, S.; Mahato, D.K.; Tiwari, N.; Chauhan, R.N. Structural and optical properties of sol–gel derived CuO and Cu2O nanoparticles. Mater. Today Proc. 2021, 41, 237–241. [Google Scholar] [CrossRef]
- Chang, Y.-N. Fourier Transform Infrared (FTIR) Analysis of Copper Oxide Thin Films Prepared by Metal Organic Chemical Vapor Deposition (MOCVD). MRS Online Proc. Libr. (OPL) 2011, 293, 443. [Google Scholar] [CrossRef]
- Badawi, A.; Alharthi, S.S. Controlling the optical and mechanical properties of polyvinyl alcohol using Ag2S semiconductor for environmentally friendly applications. Mater. Sci. Semicond. Process. 2020, 116, 105139. [Google Scholar] [CrossRef]
- Badawi, A.; Alharthi, S.S. The optical, electrical and mechanical performance of metal oxides incorporated PVA/rGO blend: Effect of metal oxide type. Appl. Phys. A 2022, 128, 328. [Google Scholar] [CrossRef]
- Heiba, Z.K.; Mohamed, M.B.; Badawi, A.; Alhazime, A.A. The role of Cd0.9Mg0.1S nanofillers on the structural, optical, and dielectric properties of PVA/CMC polymeric blend. Chem. Phys. Lett. 2021, 770, 138460. [Google Scholar] [CrossRef]
- Bosigo, R.; Lepodise, L.M.; Kuvarega, A.; Muiva, C. Hydrothermal synthesis of CuO and CeO2/CuO nanostructures: Spectroscopic and temperature dependent electrical properties. J. Mater. Sci. Mater. Electron. 2021, 32, 7136–7152. [Google Scholar] [CrossRef]
- Alhazime, A.A. Effect of Nano CuO Doping on Structural, Thermal and Optical Properties of PVA/PEG Blend. J. Inorg. Organomet. Polym. Mater. 2020, 30, 4459–4467. [Google Scholar] [CrossRef]
- Badawi, A.; Alharthi, S.S.; Althobaiti, M.G.; Alharbi, A.N. The effect of iron oxide content on the structural and optical parameters of polyvinyl alcohol/graphene nanocomposite films. J. Vinyl Addit. Technol. 2022, 28, 235–246. [Google Scholar] [CrossRef]
- Abdullah, O.G.; Aziz, S.B.; Rasheed, M.A. Effect of silicon powder on the optical characterization of Poly(methyl methacrylate) polymer composites. J. Mater. Sci. Mater. Electron. 2017, 28, 4513–4520. [Google Scholar] [CrossRef]
- Aslam, M.; Kalyar, M.A.; Raza, Z.A. Fabrication of nano-CuO-loaded PVA composite films with enhanced optomechanical properties. Polym. Bull. 2021, 78, 1551–1571. [Google Scholar] [CrossRef]
- Mohamed, S.H.; Drese, R. Structural and optical properties of direct current sputtered zinc aluminum oxides with a high Al concentration. Thin Solid Film. 2006, 513, 64–71. [Google Scholar] [CrossRef]
- Dhatarwal, P.; Sengwa, R.J. Investigation on the optical properties of (PVP/PVA)/Al2O3 nanocomposite films for green disposable optoelectronics. Phys. B Condens. Matter 2021, 613, 412989. [Google Scholar] [CrossRef]
- Abdulwahid, R.T.; Abdullah, O.G.; Aziz, S.B.; Hussein, S.A.; Muhammad, F.F.; Yahya, M.Y. The study of structural and optical properties of PVA:PbO2 based solid polymer nanocomposites. J. Mater. Sci. Mater. Electron. 2016, 27, 12112–12118. [Google Scholar] [CrossRef]
- Elhosiny Ali, H.; Khairy, Y. Tailoring structure, nonlinear/linear optical, and dielectric properties of PVA/PVP film by spinel LiMn2O4 nanoparticles. Chin. J. Phys. 2022, 78, 27–43. [Google Scholar] [CrossRef]
- Alharthi, S.S.; Badawi, A. Tailoring the linear and nonlinear optical characteristics of PVA/PVP polymeric blend using Co0.9Cu0.1S nanoparticles for optical and photonic applications. Opt. Mater. 2022, 127, 112255. [Google Scholar] [CrossRef]
- Badawi, A.; Alharthi, S.S.; Assaedi, H.; Alharbi, A.N.; Althobaiti, M.G. Cd0.9Co0.1S nanostructures concentration study on the structural and optical properties of SWCNTs/PVA blend. Chem. Phys. Lett. 2021, 775, 138701. [Google Scholar] [CrossRef]
- Malik, Z.; Khattak, A.; Alahmadi, A.A.; Butt, S.U. Development and Investigation of High Performance PVA/NiO and PVA/CuO Nanocomposites with Improved Physical, Dielectric and Mechanical Properties. Materials 2022, 15, 5154. [Google Scholar] [CrossRef] [PubMed]
- Najm, S.S. Doping effect on the optical properties of(PVA: ZNO) nanocomposites. Mater. Today Proc. 2022, 61, 632–635. [Google Scholar] [CrossRef]
- Darwesh, A.H.A.; Aziz, S.B.; Hussen, S.A. Insights into optical band gap identification in polymer composite films based on PVA with enhanced optical properties: Structural and optical characteristics. Opt. Mater. 2022, 133, 113007. [Google Scholar] [CrossRef]
- El-naggar, A.M.; Heiba, Z.K.; Mohamed, M.B.; Kamal, A.M.; Lakshminarayana, G. PVA/PVP/PEG polymeric blend loaded with nano-Zn0.75−xFexCd0.25S: Effect of iron concentration on the optical characteristics. Appl. Phys. A 2022, 128, 220. [Google Scholar] [CrossRef]
- Alshammari, A.H.; Alshammari, M.; Ibrahim, M.; Alshammari, K.; Taha, T.A.M. New Hybrid PVC/PVP Polymer Blend Modified with Er2O3 Nanoparticles for Optoelectronic Applications. Polymers 2023, 15, 684. [Google Scholar] [CrossRef] [PubMed]
- Alhazime, A.A.; Mohamed, M.B.; Abdel-Kader, M.H. Effect of Zn1−xMgxS Doping on Structural, Thermal and Optical Properties of PVA. J. Inorg. Organomet. Polym. Mater. 2019, 29, 436–443. [Google Scholar] [CrossRef]
- Abouhaswa, A.S.; Taha, T.A. Tailoring the optical and dielectric properties of PVC/CuO nanocomposites. Polym. Bull. 2020, 77, 6005–6016. [Google Scholar] [CrossRef]
- Suresh, B.; Ramachandran, S.; Shanmugam, G. Effect of Cerium dopant on third-order nonlinear optical properties of CdS/PEG self-standing nanocomposite films. Opt. Mater. 2023, 135, 113299. [Google Scholar] [CrossRef]
- Erken, O. Effect of cycle numbers on the structural, linear and nonlinear optical properties in Fe2O3 thin films deposited by SILAR method. Curr. Appl. Phys. 2022, 34, 7–18. [Google Scholar] [CrossRef]
- Elhosiny Ali, H.; Ganesh, V.; Haritha, L.; Aboraia, A.M.; Hegazy, H.H.; Butova, V.; Soldatov, A.V.; Algarni, H.; Guda, A.; Zahran, H.Y.; et al. Kramers-Kronig analysis of the optical linearity and nonlinearity of nanostructured Ga-doped ZnO thin films. Opt. Laser Technol. 2021, 135, 106691. [Google Scholar] [CrossRef]
Disclaimer/Publisher’s Note: The statements, opinions and data contained in all publications are solely those of the individual author(s) and contributor(s) and not of MDPI and/or the editor(s). MDPI and/or the editor(s) disclaim responsibility for any injury to people or property resulting from any ideas, methods, instructions or products referred to in the content. |
© 2023 by the authors. Licensee MDPI, Basel, Switzerland. This article is an open access article distributed under the terms and conditions of the Creative Commons Attribution (CC BY) license (https://creativecommons.org/licenses/by/4.0/).